Номер 3.151, страница 140 - гдз по алгебре 11 класс учебник Арефьева, Пирютко

Алгебра, 11 класс Учебник, авторы: Арефьева Ирина Глебовна, Пирютко Ольга Николаевна, издательство Народная асвета, Минск, 2020, бирюзового цвета

Авторы: Арефьева И. Г., Пирютко О. Н.

Тип: Учебник

Издательство: Народная асвета

Год издания: 2020 - 2026

Цвет обложки: бирюзовый, зелёный с графиком

ISBN: 978-985-03-3165-6

Популярные ГДЗ в 11 классе

Глава 3. Логарифмическая функция. Параграф 9. Логарифмические уравнения - номер 3.151, страница 140.

№3.151 (с. 140)
Условие. №3.151 (с. 140)
скриншот условия
Алгебра, 11 класс Учебник, авторы: Арефьева Ирина Глебовна, Пирютко Ольга Николаевна, издательство Народная асвета, Минск, 2020, бирюзового цвета, страница 140, номер 3.151, Условие

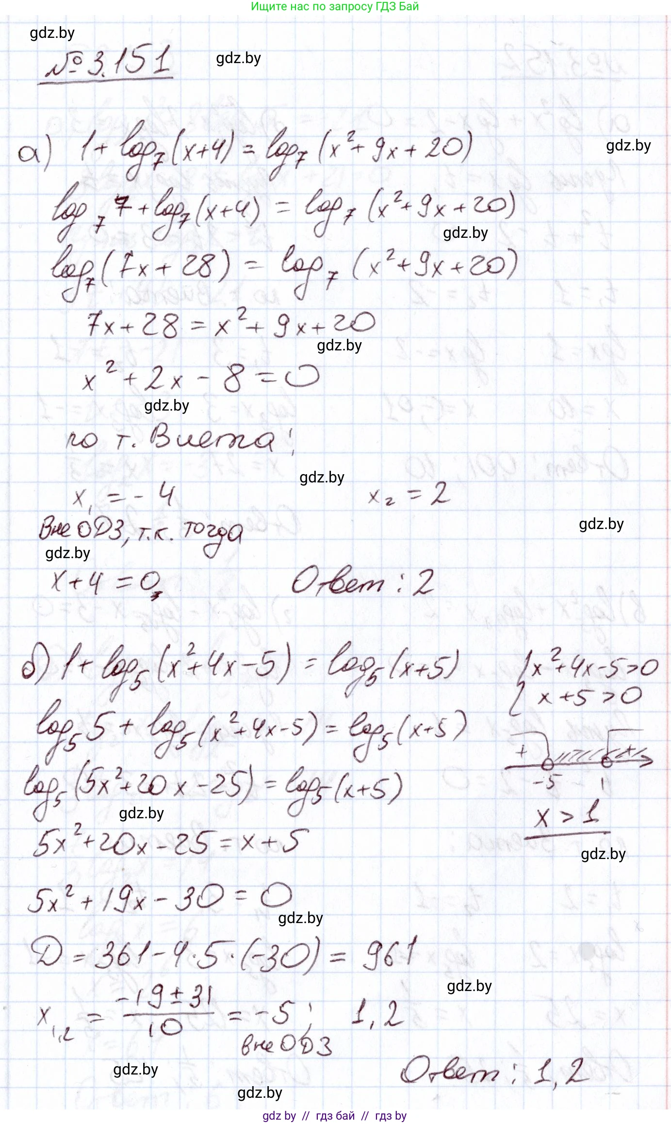
3.151. Решите уравнение:

a) $1 + \log_7(x + 4) = \log_7(x^2 + 9x + 20)$;

б) $1 + \log_5(x^2 + 4x - 5) = \log_5(x + 5)$.

Решение. №3.151 (с. 140)
Алгебра, 11 класс Учебник, авторы: Арефьева Ирина Глебовна, Пирютко Ольга Николаевна, издательство Народная асвета, Минск, 2020, бирюзового цвета, страница 140, номер 3.151, Решение
Решение 2. №3.151 (с. 140)

а) $1 + \log_7(x+4) = \log_7(x^2 + 9x + 20)$

Найдем область допустимых значений (ОДЗ). Аргументы логарифмов должны быть строго положительными:

$\begin{cases} x+4 > 0 \\ x^2 + 9x + 20 > 0 \end{cases}$

Решим систему неравенств:

1. Из первого неравенства получаем $x > -4$.

2. Для второго неравенства $x^2 + 9x + 20 > 0$ найдем корни соответствующего квадратного уравнения $x^2 + 9x + 20 = 0$. По теореме Виета, корни $x_1 = -5$ и $x_2 = -4$. Графиком функции является парабола с ветвями вверх, поэтому неравенство выполняется при $x \in (-\infty; -5) \cup (-4; +\infty)$.

Общим решением системы является пересечение множеств $x > -4$ и $x \in (-\infty; -5) \cup (-4; +\infty)$, что дает нам ОДЗ: $x > -4$.

Теперь приступим к решению уравнения. Представим $1$ в виде логарифма по основанию 7: $1 = \log_7(7)$.

$\log_7(7) + \log_7(x+4) = \log_7(x^2 + 9x + 20)$

Используя свойство суммы логарифмов $\log_a(b) + \log_a(c) = \log_a(bc)$, преобразуем левую часть:

$\log_7(7(x+4)) = \log_7(x^2 + 9x + 20)$

Так как основания логарифмов одинаковы, мы можем приравнять их аргументы:

$7(x+4) = x^2 + 9x + 20$

$7x + 28 = x^2 + 9x + 20$

Перенесем все члены в правую часть, чтобы получить стандартное квадратное уравнение:

$x^2 + 9x - 7x + 20 - 28 = 0$

$x^2 + 2x - 8 = 0$

Решим это уравнение. По теореме Виета, сумма корней равна -2, а произведение -8. Корнями являются $x_1 = -4$ и $x_2 = 2$.

Проверим найденные корни на соответствие ОДЗ ($x > -4$):

  • Корень $x_1 = -4$ не входит в ОДЗ, так как неравенство $x > -4$ строгое. Следовательно, это посторонний корень.
  • Корень $x_2 = 2$ удовлетворяет ОДЗ, так как $2 > -4$.

Таким образом, у уравнения есть единственный корень.

Ответ: 2.

б) $1 + \log_5(x^2 + 4x - 5) = \log_5(x+5)$

Найдем область допустимых значений (ОДЗ):

$\begin{cases} x^2 + 4x - 5 > 0 \\ x+5 > 0 \end{cases}$

Решим систему неравенств:

1. Для $x^2 + 4x - 5 > 0$, найдем корни уравнения $x^2 + 4x - 5 = 0$. По теореме Виета, корни $x_1 = -5$ и $x_2 = 1$. Парабола с ветвями вверх, значит, неравенство верно для $x \in (-\infty; -5) \cup (1; +\infty)$.

2. Из $x+5 > 0$ следует, что $x > -5$.

Пересечение решений $x \in (-\infty; -5) \cup (1; +\infty)$ и $x > -5$ дает нам ОДЗ: $x > 1$.

Теперь решим уравнение. Представим $1$ как $\log_5(5)$:

$\log_5(5) + \log_5(x^2 + 4x - 5) = \log_5(x+5)$

Воспользуемся свойством суммы логарифмов:

$\log_5(5(x^2 + 4x - 5)) = \log_5(x+5)$

Приравниваем аргументы логарифмов:

$5(x^2 + 4x - 5) = x+5$

$5x^2 + 20x - 25 = x+5$

Приведем к стандартному виду квадратного уравнения:

$5x^2 + 19x - 30 = 0$

Решим его с помощью дискриминанта:

$D = b^2 - 4ac = 19^2 - 4 \cdot 5 \cdot (-30) = 361 + 600 = 961 = 31^2$

Найдем корни:

$x_{1,2} = \frac{-b \pm \sqrt{D}}{2a} = \frac{-19 \pm 31}{2 \cdot 5} = \frac{-19 \pm 31}{10}$

$x_1 = \frac{-19 - 31}{10} = \frac{-50}{10} = -5$

$x_2 = \frac{-19 + 31}{10} = \frac{12}{10} = \frac{6}{5} = 1.2$

Проверим корни на соответствие ОДЗ ($x > 1$):

  • Корень $x_1 = -5$ не удовлетворяет ОДЗ, так как $-5 \ngtr 1$. Это посторонний корень.
  • Корень $x_2 = 1.2$ удовлетворяет ОДЗ, так как $1.2 > 1$.

Уравнение имеет единственный корень.

Ответ: $\frac{6}{5}$.

Помогло решение? Оставьте отзыв в комментариях ниже.

Присоединяйтесь к Телеграм-группе @gdz_by_belarus

Присоединиться

Мы подготовили для вас ответ c подробным объяснением домашего задания по алгебре за 11 класс, для упражнения номер 3.151 расположенного на странице 140 к учебнику 2020 года издания для учащихся школ и гимназий.

Теперь на нашем сайте ГДЗ.ТОП вы всегда легко и бесплатно найдёте условие с правильным ответом на вопрос «Как решить ДЗ» и «Как сделать» задание по алгебре к упражнению №3.151 (с. 140), авторов: Арефьева (Ирина Глебовна), Пирютко (Ольга Николаевна), учебного пособия издательства Народная асвета.