Номер 3.22, страница 109 - гдз по алгебре 11 класс учебник Арефьева, Пирютко

Алгебра, 11 класс Учебник, авторы: Арефьева Ирина Глебовна, Пирютко Ольга Николаевна, издательство Народная асвета, Минск, 2020, бирюзового цвета

Авторы: Арефьева И. Г., Пирютко О. Н.

Тип: Учебник

Издательство: Народная асвета

Год издания: 2020 - 2026

Цвет обложки: бирюзовый, зелёный с графиком

ISBN: 978-985-03-3165-6

Популярные ГДЗ в 11 классе

Глава 3. Логарифмическая функция. Параграф 7. Свойства логарифмов - номер 3.22, страница 109.

№3.22 (с. 109)
Условие. №3.22 (с. 109)
скриншот условия
Алгебра, 11 класс Учебник, авторы: Арефьева Ирина Глебовна, Пирютко Ольга Николаевна, издательство Народная асвета, Минск, 2020, бирюзового цвета, страница 109, номер 3.22, Условие

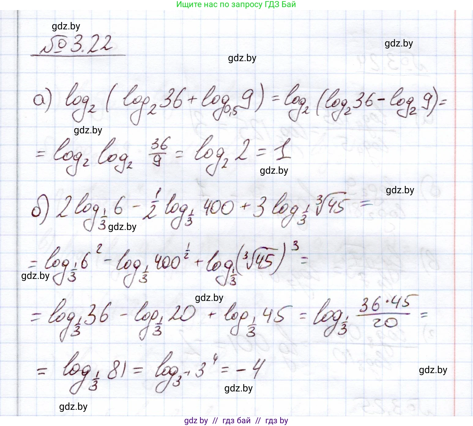
3.22. Вычислите:

a) $\log_2(\log_2 36 + \log_{0,5} 9);$

б) $2\log_{\frac{1}{3}} 6 - \frac{1}{2}\log_{\frac{1}{3}} 400 + 3\log_{\frac{1}{3}} \sqrt[3]{45}.$

Решение. №3.22 (с. 109)
Алгебра, 11 класс Учебник, авторы: Арефьева Ирина Глебовна, Пирютко Ольга Николаевна, издательство Народная асвета, Минск, 2020, бирюзового цвета, страница 109, номер 3.22, Решение
Решение 2. №3.22 (с. 109)

а) $log_2(\log_2 36 + \log_{0,5} 9)$

Сначала упростим выражение в скобках: $\log_2 36 + \log_{0,5} 9$.

Для этого приведем логарифмы к одному основанию. Заметим, что $0,5 = \frac{1}{2} = 2^{-1}$.

Используем свойство логарифма $\log_{a^k} b = \frac{1}{k} \log_a b$:

$\log_{0,5} 9 = \log_{2^{-1}} 9 = \frac{1}{-1} \log_2 9 = -\log_2 9$.

Подставим полученное выражение обратно в скобки:

$\log_2 36 + \log_{0,5} 9 = \log_2 36 - \log_2 9$.

Теперь используем свойство разности логарифмов $\log_a b - \log_a c = \log_a(\frac{b}{c})$:

$\log_2 36 - \log_2 9 = \log_2(\frac{36}{9}) = \log_2 4$.

Вычислим значение $\log_2 4$. Так как $2^2=4$, то $\log_2 4 = 2$.

Теперь подставим результат в исходное выражение:

$\log_2(\log_2 36 + \log_{0,5} 9) = \log_2(2)$.

По определению логарифма, $\log_2 2 = 1$.

Ответ: 1.

б) $2\log_{\frac{1}{3}} 6 - \frac{1}{2}\log_{\frac{1}{3}} 400 + 3\log_{\frac{1}{3}} \sqrt[3]{45}$

Все логарифмы имеют одинаковое основание $\frac{1}{3}$. Воспользуемся свойством $k \log_a b = \log_a(b^k)$ для каждого слагаемого.

1. $2\log_{\frac{1}{3}} 6 = \log_{\frac{1}{3}}(6^2) = \log_{\frac{1}{3}} 36$.

2. $\frac{1}{2}\log_{\frac{1}{3}} 400 = \log_{\frac{1}{3}}(400^{\frac{1}{2}}) = \log_{\frac{1}{3}} \sqrt{400} = \log_{\frac{1}{3}} 20$.

3. $3\log_{\frac{1}{3}} \sqrt[3]{45} = \log_{\frac{1}{3}}((\sqrt[3]{45})^3) = \log_{\frac{1}{3}} 45$.

Подставим полученные выражения в исходное:

$\log_{\frac{1}{3}} 36 - \log_{\frac{1}{3}} 20 + \log_{\frac{1}{3}} 45$.

Используя свойства суммы и разности логарифмов $\log_a b - \log_a c = \log_a(\frac{b}{c})$ и $\log_a b + \log_a c = \log_a(b \cdot c)$, объединим выражение:

$\log_{\frac{1}{3}} (\frac{36}{20} \cdot 45)$.

Упростим выражение в скобках:

$\frac{36 \cdot 45}{20} = \frac{36 \cdot 9 \cdot 5}{4 \cdot 5} = \frac{36 \cdot 9}{4} = 9 \cdot 9 = 81$.

Таким образом, мы получили $\log_{\frac{1}{3}} 81$.

Чтобы вычислить значение этого логарифма, представим основание и аргумент в виде степеней числа 3:

$\frac{1}{3} = 3^{-1}$ и $81 = 3^4$.

$\log_{\frac{1}{3}} 81 = \log_{3^{-1}} (3^4)$.

Используя свойство $\log_{a^k} (b^m) = \frac{m}{k} \log_a b$, получаем:

$\log_{3^{-1}} (3^4) = \frac{4}{-1} \log_3 3 = -4 \cdot 1 = -4$.

Ответ: -4.

Помогло решение? Оставьте отзыв в комментариях ниже.

Присоединяйтесь к Телеграм-группе @gdz_by_belarus

Присоединиться

Мы подготовили для вас ответ c подробным объяснением домашего задания по алгебре за 11 класс, для упражнения номер 3.22 расположенного на странице 109 к учебнику 2020 года издания для учащихся школ и гимназий.

Теперь на нашем сайте ГДЗ.ТОП вы всегда легко и бесплатно найдёте условие с правильным ответом на вопрос «Как решить ДЗ» и «Как сделать» задание по алгебре к упражнению №3.22 (с. 109), авторов: Арефьева (Ирина Глебовна), Пирютко (Ольга Николаевна), учебного пособия издательства Народная асвета.