Номер 3.38, страница 110 - гдз по алгебре 11 класс учебник Арефьева, Пирютко

Алгебра, 11 класс Учебник, авторы: Арефьева Ирина Глебовна, Пирютко Ольга Николаевна, издательство Народная асвета, Минск, 2020, бирюзового цвета

Авторы: Арефьева И. Г., Пирютко О. Н.

Тип: Учебник

Издательство: Народная асвета

Год издания: 2020 - 2026

Цвет обложки: бирюзовый, зелёный с графиком

ISBN: 978-985-03-3165-6

Популярные ГДЗ в 11 классе

Глава 3. Логарифмическая функция. Параграф 7. Свойства логарифмов - номер 3.38, страница 110.

№3.38 (с. 110)
Условие. №3.38 (с. 110)
скриншот условия
Алгебра, 11 класс Учебник, авторы: Арефьева Ирина Глебовна, Пирютко Ольга Николаевна, издательство Народная асвета, Минск, 2020, бирюзового цвета, страница 110, номер 3.38, Условие

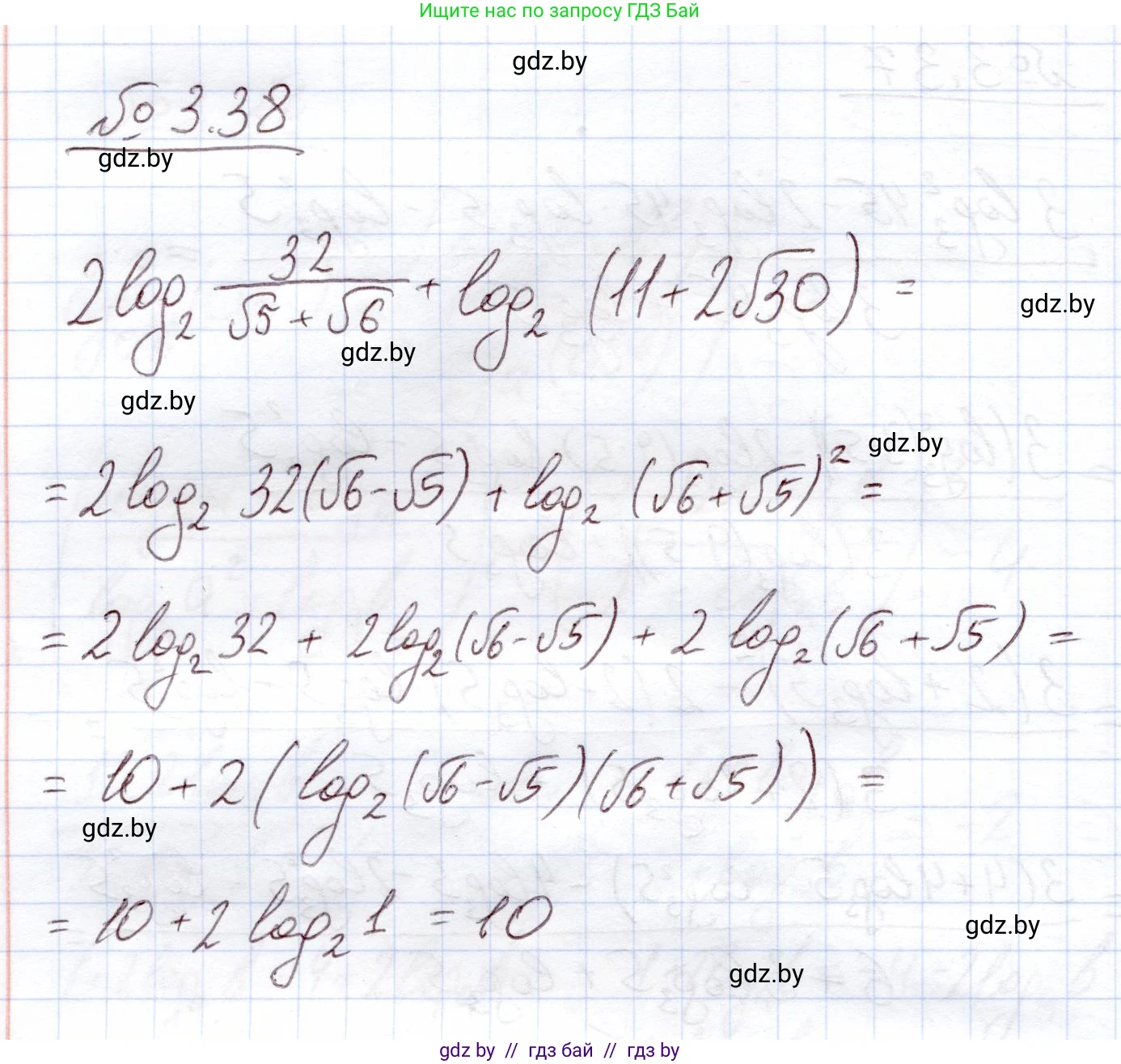
3.38*. Вычислите: $2\log_2 \frac{32}{\sqrt{5}+\sqrt{6}}+\log_2(11+2\sqrt{30})$

Решение. №3.38 (с. 110)
Алгебра, 11 класс Учебник, авторы: Арефьева Ирина Глебовна, Пирютко Ольга Николаевна, издательство Народная асвета, Минск, 2020, бирюзового цвета, страница 110, номер 3.38, Решение
Решение 2. №3.38 (с. 110)

Для вычисления значения данного выражения воспользуемся свойствами логарифмов.

$2\log_{2}\frac{32}{\sqrt{5}+\sqrt{6}} + \log_{2}(11+2\sqrt{30})$

1. Преобразуем первое слагаемое, используя свойство степени логарифма $n \log_a b = \log_a (b^n)$:$2\log_{2}\frac{32}{\sqrt{5}+\sqrt{6}} = \log_{2}\left(\left(\frac{32}{\sqrt{5}+\sqrt{6}}\right)^2\right) = \log_{2}\left(\frac{32^2}{(\sqrt{5}+\sqrt{6})^2}\right)$

2. Упростим выражение в скобках. Возведем в квадрат числитель и знаменатель:

В числителе: $32^2 = 1024$.

В знаменателе, используя формулу квадрата суммы $(a+b)^2=a^2+2ab+b^2$:$(\sqrt{5}+\sqrt{6})^2 = (\sqrt{5})^2 + 2\cdot\sqrt{5}\cdot\sqrt{6} + (\sqrt{6})^2 = 5 + 2\sqrt{30} + 6 = 11 + 2\sqrt{30}$.

Таким образом, первое слагаемое равно:$\log_{2}\left(\frac{1024}{11 + 2\sqrt{30}}\right)$.

3. Подставим полученный результат в исходное выражение:$\log_{2}\left(\frac{1024}{11 + 2\sqrt{30}}\right) + \log_{2}(11+2\sqrt{30})$.

4. Применим свойство суммы логарифмов $\log_a b + \log_a c = \log_a (b \cdot c)$:$\log_{2}\left(\frac{1024}{11 + 2\sqrt{30}} \cdot (11+2\sqrt{30})\right)$.

5. Сократим множитель $(11+2\sqrt{30})$ в аргументе логарифма:$\log_{2}(1024)$.

6. Вычислим значение логарифма. Так как $2^{10} = 1024$, то:$\log_{2}(1024) = 10$.

Ответ: 10

Помогло решение? Оставьте отзыв в комментариях ниже.

Присоединяйтесь к Телеграм-группе @gdz_by_belarus

Присоединиться

Мы подготовили для вас ответ c подробным объяснением домашего задания по алгебре за 11 класс, для упражнения номер 3.38 расположенного на странице 110 к учебнику 2020 года издания для учащихся школ и гимназий.

Теперь на нашем сайте ГДЗ.ТОП вы всегда легко и бесплатно найдёте условие с правильным ответом на вопрос «Как решить ДЗ» и «Как сделать» задание по алгебре к упражнению №3.38 (с. 110), авторов: Арефьева (Ирина Глебовна), Пирютко (Ольга Николаевна), учебного пособия издательства Народная асвета.