Номер 3.50, страница 111 - гдз по алгебре 11 класс учебник Арефьева, Пирютко

Алгебра, 11 класс Учебник, авторы: Арефьева Ирина Глебовна, Пирютко Ольга Николаевна, издательство Народная асвета, Минск, 2020, бирюзового цвета

Авторы: Арефьева И. Г., Пирютко О. Н.

Тип: Учебник

Издательство: Народная асвета

Год издания: 2020 - 2026

Цвет обложки: бирюзовый, зелёный с графиком

ISBN: 978-985-03-3165-6

Популярные ГДЗ в 11 классе

Глава 3. Логарифмическая функция. Параграф 7. Свойства логарифмов - номер 3.50, страница 111.

№3.50 (с. 111)
Условие. №3.50 (с. 111)
скриншот условия
Алгебра, 11 класс Учебник, авторы: Арефьева Ирина Глебовна, Пирютко Ольга Николаевна, издательство Народная асвета, Минск, 2020, бирюзового цвета, страница 111, номер 3.50, Условие

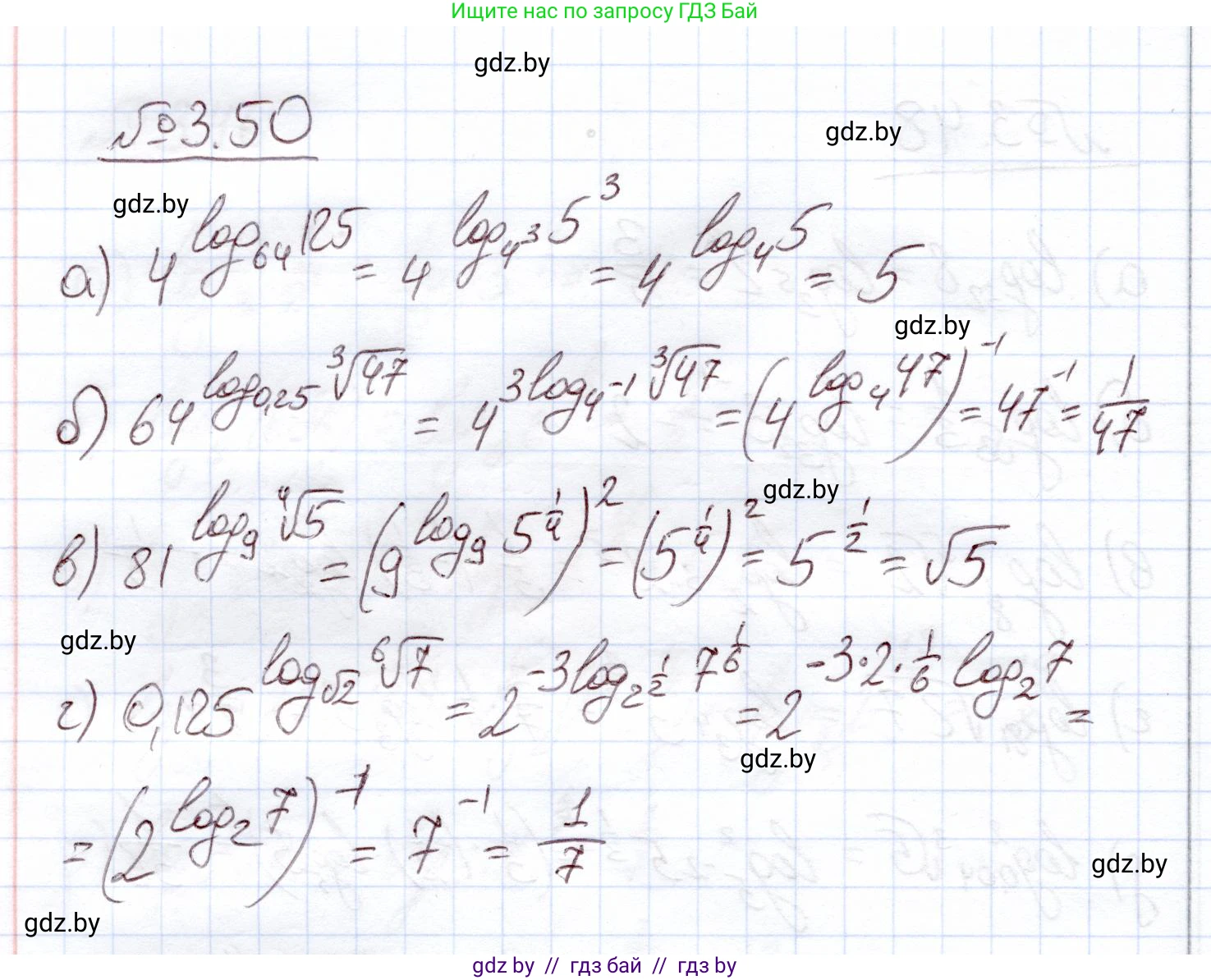
3.50. Вычислите:

а) $4^{\log_{64} 125}$;

б) $64^{\log_{0,25} \sqrt[3]{47}}$;

в) $81^{\log_9 \sqrt[4]{5}}$;

г) $0,125^{\log_{\sqrt{2}} \sqrt[6]{7}}$.

Решение. №3.50 (с. 111)
Алгебра, 11 класс Учебник, авторы: Арефьева Ирина Глебовна, Пирютко Ольга Николаевна, издательство Народная асвета, Минск, 2020, бирюзового цвета, страница 111, номер 3.50, Решение
Решение 2. №3.50 (с. 111)

а) Для вычисления значения выражения $4^{\log_{64} 125}$ приведем основание степени к основанию логарифма. Заметим, что $4 = \sqrt[3]{64} = 64^{\frac{1}{3}}$.
Подставим это в исходное выражение:
$4^{\log_{64} 125} = (64^{\frac{1}{3}})^{\log_{64} 125} = 64^{\frac{1}{3} \cdot \log_{64} 125}$.
Используя свойство логарифма $c \log_a b = \log_a b^c$, получаем:
$64^{\log_{64} (125^{\frac{1}{3}})}$.
По основному логарифмическому тождеству $a^{\log_a b}=b$, выражение равно:
$125^{\frac{1}{3}} = \sqrt[3]{125} = 5$.
Ответ: 5

б) Для вычисления выражения $64^{\log_{0.25} \sqrt[3]{47}}$ приведем основание степени к основанию логарифма.
Заметим, что $0.25 = \frac{1}{4}$, а $64 = 4^3 = ((\frac{1}{4})^{-1})^3 = (0.25)^{-3}$.
Подставим в исходное выражение:
$64^{\log_{0.25} \sqrt[3]{47}} = ((0.25)^{-3})^{\log_{0.25} \sqrt[3]{47}} = (0.25)^{-3 \cdot \log_{0.25} \sqrt[3]{47}}$.
Используя свойство $c \log_a b = \log_a b^c$:
$(0.25)^{\log_{0.25} ((\sqrt[3]{47})^{-3})} = (0.25)^{\log_{0.25} (47^{\frac{1}{3}})^{-3}} = (0.25)^{\log_{0.25} 47^{-1}}$.
По основному логарифмическому тождеству, результат равен:
$47^{-1} = \frac{1}{47}$.
Ответ: $\frac{1}{47}$

в) Для вычисления выражения $81^{\log_9 \sqrt[4]{5}}$ приведем основание степени к основанию логарифма.
Так как $81 = 9^2$, получаем:
$81^{\log_9 \sqrt[4]{5}} = (9^2)^{\log_9 \sqrt[4]{5}} = 9^{2 \cdot \log_9 \sqrt[4]{5}} = 9^{\log_9 ((\sqrt[4]{5})^2)}$.
По основному логарифмическому тождеству, выражение равно:
$(\sqrt[4]{5})^2 = (5^{\frac{1}{4}})^2 = 5^{\frac{2}{4}} = 5^{\frac{1}{2}} = \sqrt{5}$.
Ответ: $\sqrt{5}$

г) Для вычисления выражения $0,125^{\log_{\sqrt{2}} \sqrt[6]{7}}$ приведем основание степени к основанию логарифма.
Основание логарифма равно $\sqrt{2}$. Преобразуем основание степени: $0.125 = \frac{1}{8} = 2^{-3} = ((\sqrt{2})^2)^{-3} = (\sqrt{2})^{-6}$.
Подставим в исходное выражение:
$0.125^{\log_{\sqrt{2}} \sqrt[6]{7}} = ((\sqrt{2})^{-6})^{\log_{\sqrt{2}} \sqrt[6]{7}} = (\sqrt{2})^{-6 \cdot \log_{\sqrt{2}} \sqrt[6]{7}} = (\sqrt{2})^{\log_{\sqrt{2}} ((\sqrt[6]{7})^{-6})}$.
По основному логарифмическому тождеству, выражение равно:
$(\sqrt[6]{7})^{-6} = (7^{\frac{1}{6}})^{-6} = 7^{-1} = \frac{1}{7}$.
Ответ: $\frac{1}{7}$

Помогло решение? Оставьте отзыв в комментариях ниже.

Присоединяйтесь к Телеграм-группе @gdz_by_belarus

Присоединиться

Мы подготовили для вас ответ c подробным объяснением домашего задания по алгебре за 11 класс, для упражнения номер 3.50 расположенного на странице 111 к учебнику 2020 года издания для учащихся школ и гимназий.

Теперь на нашем сайте ГДЗ.ТОП вы всегда легко и бесплатно найдёте условие с правильным ответом на вопрос «Как решить ДЗ» и «Как сделать» задание по алгебре к упражнению №3.50 (с. 111), авторов: Арефьева (Ирина Глебовна), Пирютко (Ольга Николаевна), учебного пособия издательства Народная асвета.