Номер 3.275, страница 162 - гдз по алгебре 11 класс учебник Арефьева, Пирютко

Алгебра, 11 класс Учебник, авторы: Арефьева Ирина Глебовна, Пирютко Ольга Николаевна, издательство Народная асвета, Минск, 2020, бирюзового цвета

Авторы: Арефьева И. Г., Пирютко О. Н.

Тип: Учебник

Издательство: Народная асвета

Год издания: 2020 - 2026

Цвет обложки: бирюзовый, зелёный с графиком

ISBN: 978-985-03-3165-6

Популярные ГДЗ в 11 классе

Глава 3. Логарифмическая функция. Параграф 10. Логарифмические неравенства - номер 3.275, страница 162.

№3.275 (с. 162)
Условие. №3.275 (с. 162)
скриншот условия
Алгебра, 11 класс Учебник, авторы: Арефьева Ирина Глебовна, Пирютко Ольга Николаевна, издательство Народная асвета, Минск, 2020, бирюзового цвета, страница 162, номер 3.275, Условие

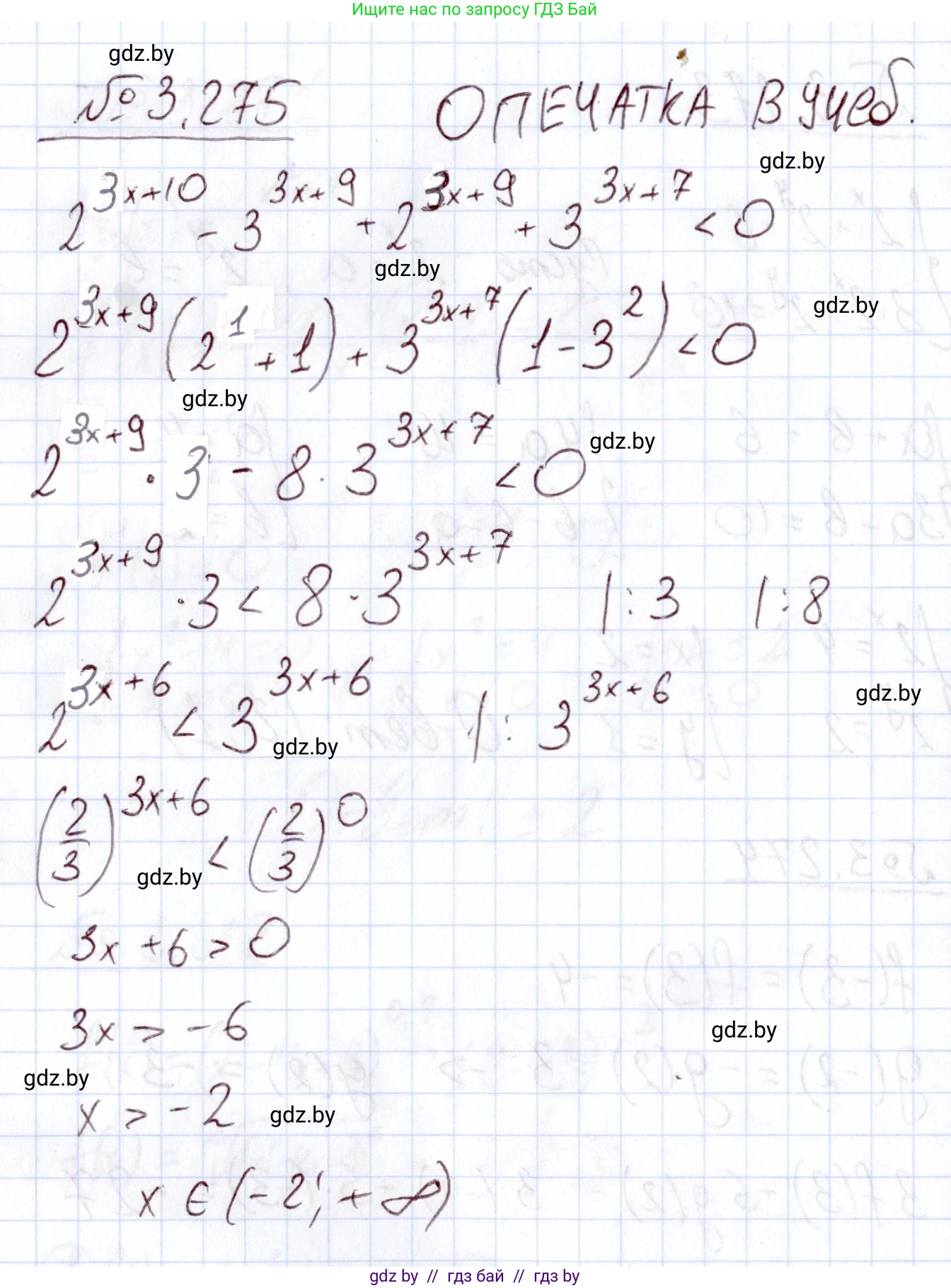
3.275. Решите неравенство $2^{3x+10} - 3^{3x+9} + 2^{2x+9} + 3^{3x+7} < 0$.

Решение. №3.275 (с. 162)
Алгебра, 11 класс Учебник, авторы: Арефьева Ирина Глебовна, Пирютко Ольга Николаевна, издательство Народная асвета, Минск, 2020, бирюзового цвета, страница 162, номер 3.275, Решение
Решение 2. №3.275 (с. 162)

Решим данное показательное неравенство:

$$2^{3x+10} - 3^{3x+9} + 2^{3x+9} + 3^{3x+7} < 0$$

Сгруппируем слагаемые с одинаковыми основаниями:

$$(2^{3x+10} + 2^{3x+9}) + (-3^{3x+9} + 3^{3x+7}) < 0$$

Вынесем за скобки общий множитель в каждой группе. В первой группе вынесем $2^{3x+9}$, а во второй, для удобства, вынесем $-3^{3x+7}$:

$$2^{3x+9}(2^{10-9} + 1) - 3^{3x+7}(3^{9-7} - 1) < 0$$

Упростим выражения в скобках:

$$2^{3x+9}(2^1 + 1) - 3^{3x+7}(3^2 - 1) < 0$$

$$2^{3x+9} \cdot 3 - 3^{3x+7} \cdot (9 - 1) < 0$$

$$3 \cdot 2^{3x+9} - 8 \cdot 3^{3x+7} < 0$$

Перенесем второе слагаемое в правую часть неравенства:

$$3 \cdot 2^{3x+9} < 8 \cdot 3^{3x+7}$$

Представим число $8$ как $2^3$:

$$3 \cdot 2^{3x+9} < 2^3 \cdot 3^{3x+7}$$

Теперь разделим обе части неравенства так, чтобы с одной стороны собрать степени с основанием 2, а с другой — с основанием 3. Разделим обе части на $3$ и на $2^3$. Так как оба эти числа положительные, знак неравенства не изменится.

$$\frac{2^{3x+9}}{2^3} < \frac{3^{3x+7}}{3^1}$$

Применим свойство частного степеней с одинаковым основанием $(\frac{a^m}{a^n} = a^{m-n})$:

$$2^{3x+9-3} < 3^{3x+7-1}$$

$$2^{3x+6} < 3^{3x+6}$$

Мы получили неравенство с одинаковыми показателями. Разделим обе части на $3^{3x+6}$. Так как показательная функция $y = a^z$ всегда положительна при $a > 0$, то $3^{3x+6} > 0$ для любого значения $x$. Поэтому знак неравенства при делении не меняется.

$$\frac{2^{3x+6}}{3^{3x+6}} < 1$$

Используя свойство степени частного $((\frac{a}{b})^n = \frac{a^n}{b^n})$, получим:

$$(\frac{2}{3})^{3x+6} < 1$$

Представим число $1$ в виде степени с основанием $\frac{2}{3}$:

$$(\frac{2}{3})^{3x+6} < (\frac{2}{3})^0$$

Теперь мы можем сравнить показатели степеней. Так как основание степени $\frac{2}{3}$ находится в интервале $(0; 1)$, показательная функция $y = (\frac{2}{3})^t$ является убывающей. Это означает, что большему значению функции соответствует меньшее значение аргумента. Поэтому при переходе к неравенству для показателей мы должны изменить знак неравенства на противоположный:

$$3x + 6 > 0$$

Решим полученное линейное неравенство:

$$3x > -6$$

$$x > -2$$

Таким образом, решением исходного неравенства является множество всех чисел, больших $-2$.

Ответ: $x \in (-2; +\infty)$.

Помогло решение? Оставьте отзыв в комментариях ниже.

Присоединяйтесь к Телеграм-группе @gdz_by_belarus

Присоединиться

Мы подготовили для вас ответ c подробным объяснением домашего задания по алгебре за 11 класс, для упражнения номер 3.275 расположенного на странице 162 к учебнику 2020 года издания для учащихся школ и гимназий.

Теперь на нашем сайте ГДЗ.ТОП вы всегда легко и бесплатно найдёте условие с правильным ответом на вопрос «Как решить ДЗ» и «Как сделать» задание по алгебре к упражнению №3.275 (с. 162), авторов: Арефьева (Ирина Глебовна), Пирютко (Ольга Николаевна), учебного пособия издательства Народная асвета.