Номер 136, страница 182 - гдз по алгебре 11 класс учебник Арефьева, Пирютко

Алгебра, 11 класс Учебник, авторы: Арефьева Ирина Глебовна, Пирютко Ольга Николаевна, издательство Народная асвета, Минск, 2020, бирюзового цвета

Авторы: Арефьева И. Г., Пирютко О. Н.

Тип: Учебник

Издательство: Народная асвета

Год издания: 2020 - 2026

Цвет обложки: бирюзовый, зелёный с графиком

ISBN: 978-985-03-3165-6

Популярные ГДЗ в 11 классе

Упражнения для итогового повторения. Выражения и их преобразования - номер 136, страница 182.

№136 (с. 182)
Условие. №136 (с. 182)
скриншот условия
Алгебра, 11 класс Учебник, авторы: Арефьева Ирина Глебовна, Пирютко Ольга Николаевна, издательство Народная асвета, Минск, 2020, бирюзового цвета, страница 182, номер 136, Условие

136. С помощью формул сложения упростите выражение:

а) $\sin \left(\alpha + \frac{\pi}{4}\right) + \sin \left(\alpha - \frac{\pi}{4}\right);$

б) $\cos(60^\circ - \alpha) + \cos(60^\circ + \alpha);$

в) $\sqrt{2}\sin(\alpha - 45^\circ) - \sin\alpha + \cos\alpha;$

г) $\sqrt{3}\sin\alpha + \cos\alpha - 2\cos\left(\frac{\pi}{3} - \alpha\right).$

Решение. №136 (с. 182)
Алгебра, 11 класс Учебник, авторы: Арефьева Ирина Глебовна, Пирютко Ольга Николаевна, издательство Народная асвета, Минск, 2020, бирюзового цвета, страница 182, номер 136, Решение
Решение 2. №136 (с. 182)

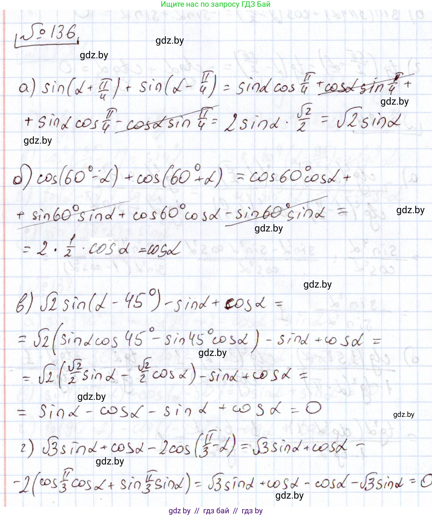
а) Для упрощения выражения $ \sin(\alpha + \frac{\pi}{4}) + \sin(\alpha - \frac{\pi}{4}) $ воспользуемся формулами сложения для синуса:
$ \sin(x+y) = \sin x \cos y + \cos x \sin y $
$ \sin(x-y) = \sin x \cos y - \cos x \sin y $
Применим эти формулы к нашему выражению, раскрыв каждое слагаемое:
$ \sin(\alpha + \frac{\pi}{4}) = \sin\alpha \cos\frac{\pi}{4} + \cos\alpha \sin\frac{\pi}{4} $
$ \sin(\alpha - \frac{\pi}{4}) = \sin\alpha \cos\frac{\pi}{4} - \cos\alpha \sin\frac{\pi}{4} $
Теперь сложим полученные выражения:
$ (\sin\alpha \cos\frac{\pi}{4} + \cos\alpha \sin\frac{\pi}{4}) + (\sin\alpha \cos\frac{\pi}{4} - \cos\alpha \sin\frac{\pi}{4}) = 2\sin\alpha \cos\frac{\pi}{4} $
Мы знаем, что $ \cos\frac{\pi}{4} = \frac{\sqrt{2}}{2} $. Подставим это значение:
$ 2\sin\alpha \cdot \frac{\sqrt{2}}{2} = \sqrt{2}\sin\alpha $
Ответ: $ \sqrt{2}\sin\alpha $

б) Для упрощения выражения $ \cos(60^\circ - \alpha) + \cos(60^\circ + \alpha) $ воспользуемся формулами сложения для косинуса:
$ \cos(x-y) = \cos x \cos y + \sin x \sin y $
$ \cos(x+y) = \cos x \cos y - \sin x \sin y $
Раскроем каждое слагаемое:
$ \cos(60^\circ - \alpha) = \cos 60^\circ \cos\alpha + \sin 60^\circ \sin\alpha $
$ \cos(60^\circ + \alpha) = \cos 60^\circ \cos\alpha - \sin 60^\circ \sin\alpha $
Сложим полученные выражения:
$ (\cos 60^\circ \cos\alpha + \sin 60^\circ \sin\alpha) + (\cos 60^\circ \cos\alpha - \sin 60^\circ \sin\alpha) = 2\cos 60^\circ \cos\alpha $
Мы знаем, что $ \cos 60^\circ = \frac{1}{2} $. Подставим это значение:
$ 2 \cdot \frac{1}{2} \cos\alpha = \cos\alpha $
Ответ: $ \cos\alpha $

в) Упростим выражение $ \sqrt{2}\sin(\alpha - 45^\circ) - \sin\alpha + \cos\alpha $.
Сначала раскроем $ \sin(\alpha - 45^\circ) $ по формуле синуса разности:
$ \sin(\alpha - 45^\circ) = \sin\alpha \cos 45^\circ - \cos\alpha \sin 45^\circ $
Так как $ \cos 45^\circ = \frac{\sqrt{2}}{2} $ и $ \sin 45^\circ = \frac{\sqrt{2}}{2} $, получаем:
$ \sin(\alpha - 45^\circ) = \sin\alpha \cdot \frac{\sqrt{2}}{2} - \cos\alpha \cdot \frac{\sqrt{2}}{2} = \frac{\sqrt{2}}{2}(\sin\alpha - \cos\alpha) $
Теперь подставим это в исходное выражение:
$ \sqrt{2} \cdot \left(\frac{\sqrt{2}}{2}(\sin\alpha - \cos\alpha)\right) - \sin\alpha + \cos\alpha $
$ = \frac{2}{2}(\sin\alpha - \cos\alpha) - \sin\alpha + \cos\alpha $
$ = 1 \cdot (\sin\alpha - \cos\alpha) - \sin\alpha + \cos\alpha $
$ = \sin\alpha - \cos\alpha - \sin\alpha + \cos\alpha = 0 $
Ответ: $ 0 $

г) Упростим выражение $ \sqrt{3}\sin\alpha + \cos\alpha - 2\cos(\frac{\pi}{3} - \alpha) $.
Раскроем $ \cos(\frac{\pi}{3} - \alpha) $ по формуле косинуса разности:
$ \cos(\frac{\pi}{3} - \alpha) = \cos\frac{\pi}{3} \cos\alpha + \sin\frac{\pi}{3} \sin\alpha $
Мы знаем, что $ \cos\frac{\pi}{3} = \frac{1}{2} $ и $ \sin\frac{\pi}{3} = \frac{\sqrt{3}}{2} $.
$ \cos(\frac{\pi}{3} - \alpha) = \frac{1}{2}\cos\alpha + \frac{\sqrt{3}}{2}\sin\alpha $
Подставим это в исходное выражение:
$ \sqrt{3}\sin\alpha + \cos\alpha - 2\left(\frac{1}{2}\cos\alpha + \frac{\sqrt{3}}{2}\sin\alpha\right) $
Раскроем скобки, умножив на -2:
$ \sqrt{3}\sin\alpha + \cos\alpha - 2 \cdot \frac{1}{2}\cos\alpha - 2 \cdot \frac{\sqrt{3}}{2}\sin\alpha $
$ = \sqrt{3}\sin\alpha + \cos\alpha - \cos\alpha - \sqrt{3}\sin\alpha $
Приведем подобные слагаемые:
$ (\sqrt{3}\sin\alpha - \sqrt{3}\sin\alpha) + (\cos\alpha - \cos\alpha) = 0 + 0 = 0 $
Ответ: $ 0 $

Помогло решение? Оставьте отзыв в комментариях ниже.

Присоединяйтесь к Телеграм-группе @gdz_by_belarus

Присоединиться

Мы подготовили для вас ответ c подробным объяснением домашего задания по алгебре за 11 класс, для упражнения номер 136 расположенного на странице 182 к учебнику 2020 года издания для учащихся школ и гимназий.

Теперь на нашем сайте ГДЗ.ТОП вы всегда легко и бесплатно найдёте условие с правильным ответом на вопрос «Как решить ДЗ» и «Как сделать» задание по алгебре к упражнению №136 (с. 182), авторов: Арефьева (Ирина Глебовна), Пирютко (Ольга Николаевна), учебного пособия издательства Народная асвета.