Номер 191, страница 188 - гдз по алгебре 11 класс учебник Арефьева, Пирютко

Алгебра, 11 класс Учебник, авторы: Арефьева Ирина Глебовна, Пирютко Ольга Николаевна, издательство Народная асвета, Минск, 2020, бирюзового цвета

Авторы: Арефьева И. Г., Пирютко О. Н.

Тип: Учебник

Издательство: Народная асвета

Год издания: 2020 - 2026

Цвет обложки: бирюзовый, зелёный с графиком

ISBN: 978-985-03-3165-6

Популярные ГДЗ в 11 классе

Упражнения для итогового повторения. Выражения и их преобразования - номер 191, страница 188.

№191 (с. 188)
Условие. №191 (с. 188)
скриншот условия
Алгебра, 11 класс Учебник, авторы: Арефьева Ирина Глебовна, Пирютко Ольга Николаевна, издательство Народная асвета, Минск, 2020, бирюзового цвета, страница 188, номер 191, Условие

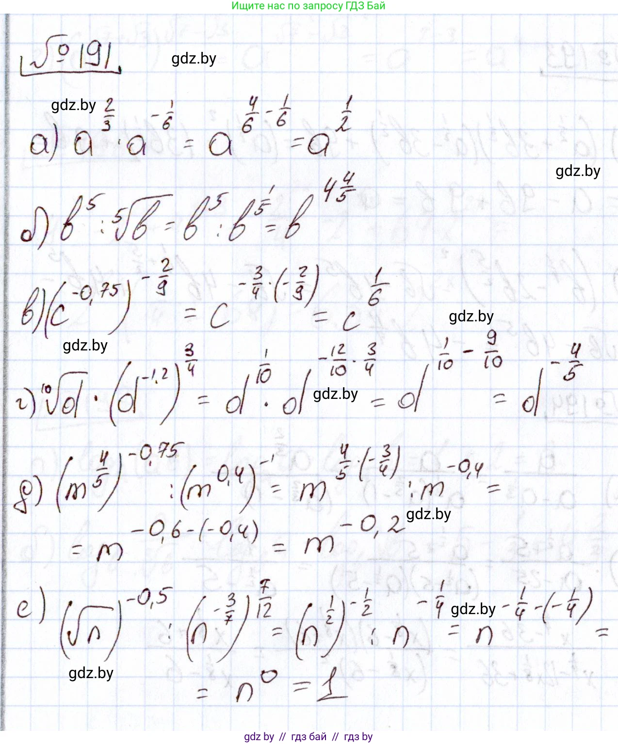
191. Воспользуйтесь свойствами степени с рациональным показателем и упростите выражение:

а) $a^{2/3} \cdot a^{-1/6}$;

б) $b^5 : \sqrt[5]{b}$;

в) $(c^{-0,75})^{2/9}$;

г) $\sqrt[10]{d} \cdot (d^{-1,2})^{3/4}$;

д) $(m^{4/5})^{-0,75} : (m^{0,4})^{-1}$;

е) $(\sqrt{n})^{-0,5} : (n^{-3/7})^{7/12}$.

Решение. №191 (с. 188)
Алгебра, 11 класс Учебник, авторы: Арефьева Ирина Глебовна, Пирютко Ольга Николаевна, издательство Народная асвета, Минск, 2020, бирюзового цвета, страница 188, номер 191, Решение
Решение 2. №191 (с. 188)

а) Для упрощения выражения $a^{\frac{2}{3}} \cdot a^{-\frac{1}{6}}$ воспользуемся свойством умножения степеней с одинаковым основанием: $x^m \cdot x^n = x^{m+n}$.
Применяя это свойство, складываем показатели степеней:
$a^{\frac{2}{3}} \cdot a^{-\frac{1}{6}} = a^{\frac{2}{3} + (-\frac{1}{6})} = a^{\frac{2}{3} - \frac{1}{6}}$
Чтобы вычесть дроби, приведем их к общему знаменателю 6:
$\frac{2}{3} - \frac{1}{6} = \frac{2 \cdot 2}{3 \cdot 2} - \frac{1}{6} = \frac{4}{6} - \frac{1}{6} = \frac{3}{6} = \frac{1}{2}$
Таким образом, получаем:
$a^{\frac{1}{2}}$
Ответ: $a^{\frac{1}{2}}$

б) Для упрощения выражения $b^5 : \sqrt[5]{b}$ сначала представим корень в виде степени с рациональным показателем: $\sqrt[n]{x} = x^{\frac{1}{n}}$.
$\sqrt[5]{b} = b^{\frac{1}{5}}$
Теперь выражение имеет вид: $b^5 : b^{\frac{1}{5}}$.
Воспользуемся свойством деления степеней с одинаковым основанием: $x^m : x^n = x^{m-n}$.
$b^5 : b^{\frac{1}{5}} = b^{5 - \frac{1}{5}}$
Выполним вычитание в показателе степени:
$5 - \frac{1}{5} = \frac{25}{5} - \frac{1}{5} = \frac{24}{5}$
Таким образом, получаем:
$b^{\frac{24}{5}}$
Ответ: $b^{\frac{24}{5}}$

в) Для упрощения выражения $(c^{-0,75})^{-\frac{2}{9}}$ воспользуемся свойством возведения степени в степень: $(x^m)^n = x^{m \cdot n}$.
Сначала преобразуем десятичную дробь в обыкновенную:
$-0,75 = -\frac{75}{100} = -\frac{3}{4}$
Теперь перемножим показатели степеней:
$(c^{-\frac{3}{4}})^{-\frac{2}{9}} = c^{(-\frac{3}{4}) \cdot (-\frac{2}{9})} = c^{\frac{3 \cdot 2}{4 \cdot 9}} = c^{\frac{6}{36}}$
Сократим дробь в показателе:
$\frac{6}{36} = \frac{1}{6}$
Таким образом, получаем:
$c^{\frac{1}{6}}$
Ответ: $c^{\frac{1}{6}}$

г) Для упрощения выражения $\sqrt[10]{d} \cdot (d^{-1,2})^{\frac{3}{4}}$ представим все его части в виде степеней с рациональными показателями.
$\sqrt[10]{d} = d^{\frac{1}{10}}$
$-1,2 = -\frac{12}{10} = -\frac{6}{5}$
Выражение принимает вид: $d^{\frac{1}{10}} \cdot (d^{-\frac{6}{5}})^{\frac{3}{4}}$.
Сначала упростим вторую часть, используя свойство $(x^m)^n = x^{m \cdot n}$:
$(d^{-\frac{6}{5}})^{\frac{3}{4}} = d^{-\frac{6}{5} \cdot \frac{3}{4}} = d^{-\frac{18}{20}} = d^{-\frac{9}{10}}$
Теперь воспользуемся свойством $x^m \cdot x^n = x^{m+n}$:
$d^{\frac{1}{10}} \cdot d^{-\frac{9}{10}} = d^{\frac{1}{10} - \frac{9}{10}} = d^{-\frac{8}{10}} = d^{-\frac{4}{5}}$
Ответ: $d^{-\frac{4}{5}}$

д) Для упрощения выражения $(m^{\frac{4}{5}})^{-0,75} : (m^{0,4})^{-1}$ упростим делимое и делитель по отдельности.
Преобразуем десятичные дроби в обыкновенные:
$-0,75 = -\frac{3}{4}$
$0,4 = \frac{4}{10} = \frac{2}{5}$
Упростим делимое, используя свойство $(x^m)^n = x^{m \cdot n}$:
$(m^{\frac{4}{5}})^{-0,75} = (m^{\frac{4}{5}})^{-\frac{3}{4}} = m^{\frac{4}{5} \cdot (-\frac{3}{4})} = m^{-\frac{3}{5}}$
Упростим делитель:
$(m^{0,4})^{-1} = (m^{\frac{2}{5}})^{-1} = m^{\frac{2}{5} \cdot (-1)} = m^{-\frac{2}{5}}$
Теперь выполним деление, используя свойство $x^m : x^n = x^{m-n}$:
$m^{-\frac{3}{5}} : m^{-\frac{2}{5}} = m^{-\frac{3}{5} - (-\frac{2}{5})} = m^{-\frac{3}{5} + \frac{2}{5}} = m^{-\frac{1}{5}}$
Ответ: $m^{-\frac{1}{5}}$

е) Для упрощения выражения $(\sqrt{n})^{-0,5} : (n^{-\frac{3}{7}})^{\frac{7}{12}}$ упростим каждую часть выражения.
Преобразуем корень и десятичную дробь в степени с рациональным показателем:
$\sqrt{n} = n^{\frac{1}{2}}$
$-0,5 = -\frac{1}{2}$
Упростим делимое, используя свойство $(x^m)^n = x^{m \cdot n}$:
$(\sqrt{n})^{-0,5} = (n^{\frac{1}{2}})^{-\frac{1}{2}} = n^{\frac{1}{2} \cdot (-\frac{1}{2})} = n^{-\frac{1}{4}}$
Упростим делитель:
$(n^{-\frac{3}{7}})^{\frac{7}{12}} = n^{-\frac{3}{7} \cdot \frac{7}{12}} = n^{-\frac{3 \cdot 7}{7 \cdot 12}} = n^{-\frac{3}{12}} = n^{-\frac{1}{4}}$
Теперь выполним деление:
$n^{-\frac{1}{4}} : n^{-\frac{1}{4}}$
Так как мы делим выражение само на себя, результат равен 1 (при $n \neq 0$). Используя свойство $x^m : x^n = x^{m-n}$:
$n^{-\frac{1}{4} - (-\frac{1}{4})} = n^{-\frac{1}{4} + \frac{1}{4}} = n^0 = 1$
Ответ: 1

Помогло решение? Оставьте отзыв в комментариях ниже.

Присоединяйтесь к Телеграм-группе @gdz_by_belarus

Присоединиться

Мы подготовили для вас ответ c подробным объяснением домашего задания по алгебре за 11 класс, для упражнения номер 191 расположенного на странице 188 к учебнику 2020 года издания для учащихся школ и гимназий.

Теперь на нашем сайте ГДЗ.ТОП вы всегда легко и бесплатно найдёте условие с правильным ответом на вопрос «Как решить ДЗ» и «Как сделать» задание по алгебре к упражнению №191 (с. 188), авторов: Арефьева (Ирина Глебовна), Пирютко (Ольга Николаевна), учебного пособия издательства Народная асвета.