Номер 207, страница 191 - гдз по алгебре 11 класс учебник Арефьева, Пирютко
Авторы: Арефьева И. Г., Пирютко О. Н.
Тип: Учебник
Издательство: Народная асвета
Год издания: 2020 - 2026
Цвет обложки: бирюзовый, зелёный с графиком
ISBN: 978-985-03-3165-6
Популярные ГДЗ в 11 классе
Упражнения для итогового повторения. Выражения и их преобразования - номер 207, страница 191.
№207 (с. 191)
Условие. №207 (с. 191)
скриншот условия
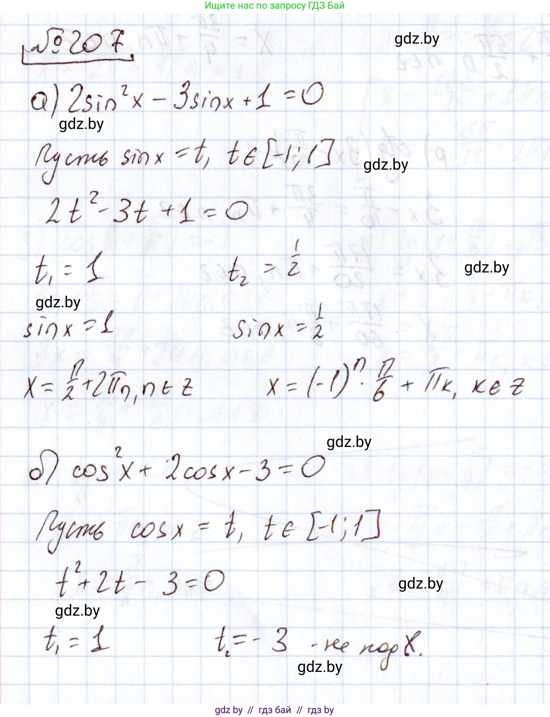
207. Решите уравнение, выполнив замену переменной:
а) $2\sin^2 x - 3\sin x + 1 = 0;$
б) $\cos^2 x + 2\cos x - 3 = 0;$
в) $3\mathrm{tg}^2 x - 4\mathrm{tg}x + 1 = 0;$
г) $\mathrm{ctg}^2 x - 4\mathrm{ctg}x + 3 = 0.$
Решение. №207 (с. 191)
Решение 2. №207 (с. 191)
а) $2\sin^2 x - 3\sin x + 1 = 0$
Введем замену переменной: пусть $t = \sin x$. Поскольку область значений синуса $[-1, 1]$, то для переменной $t$ должно выполняться условие $-1 \le t \le 1$.
После замены уравнение примет вид квадратного уравнения:
$2t^2 - 3t + 1 = 0$
Найдем его корни, вычислив дискриминант:
$D = b^2 - 4ac = (-3)^2 - 4 \cdot 2 \cdot 1 = 9 - 8 = 1$.
Корни уравнения:
$t_1 = \frac{-b + \sqrt{D}}{2a} = \frac{3 + \sqrt{1}}{2 \cdot 2} = \frac{4}{4} = 1$.
$t_2 = \frac{-b - \sqrt{D}}{2a} = \frac{3 - \sqrt{1}}{2 \cdot 2} = \frac{2}{4} = \frac{1}{2}$.
Оба корня $t_1=1$ и $t_2=\frac{1}{2}$ удовлетворяют условию $-1 \le t \le 1$.
Выполним обратную замену для каждого корня.
1) Если $\sin x = 1$, то $x = \frac{\pi}{2} + 2\pi k$, где $k \in \mathbb{Z}$.
2) Если $\sin x = \frac{1}{2}$, то $x = (-1)^n \arcsin(\frac{1}{2}) + \pi n = (-1)^n \frac{\pi}{6} + \pi n$, где $n \in \mathbb{Z}$.
Ответ: $x = \frac{\pi}{2} + 2\pi k, k \in \mathbb{Z}$; $x = (-1)^n \frac{\pi}{6} + \pi n, n \in \mathbb{Z}$.
б) $\cos^2 x + 2\cos x - 3 = 0$
Введем замену переменной: пусть $t = \cos x$. Так как область значений косинуса $[-1, 1]$, то $-1 \le t \le 1$.
Получим квадратное уравнение относительно $t$:
$t^2 + 2t - 3 = 0$
Решим его, например, по теореме Виета. Сумма корней $t_1 + t_2 = -2$, а их произведение $t_1 \cdot t_2 = -3$.
Подбором находим корни: $t_1 = 1$ и $t_2 = -3$.
Теперь проверим, удовлетворяют ли корни условию $-1 \le t \le 1$.
$t_1 = 1$ - удовлетворяет условию.
$t_2 = -3$ - не удовлетворяет условию, так как $-3 < -1$. Это посторонний корень.
Выполним обратную замену для единственного подходящего корня:
$\cos x = 1$
$x = 2\pi k$, где $k \in \mathbb{Z}$.
Ответ: $x = 2\pi k, k \in \mathbb{Z}$.
в) $3\tan^2 x - 4\tan x + 1 = 0$
Выполним замену переменной: пусть $t = \tan x$. Область значений тангенса - все действительные числа $(-\infty, +\infty)$, поэтому на переменную $t$ ограничений нет. При этом нужно учесть область определения тангенса: $x \neq \frac{\pi}{2} + \pi k, k \in \mathbb{Z}$.
Получаем квадратное уравнение:
$3t^2 - 4t + 1 = 0$
Найдем его корни. Сумма коэффициентов $3 + (-4) + 1 = 0$, следовательно, один из корней равен 1.
$t_1 = 1$.
Второй корень по теореме Виета: $t_1 \cdot t_2 = \frac{c}{a} \implies 1 \cdot t_2 = \frac{1}{3} \implies t_2 = \frac{1}{3}$.
Оба корня подходят. Вернемся к переменной $x$.
1) Если $\tan x = 1$, то $x = \arctan(1) + \pi k = \frac{\pi}{4} + \pi k$, где $k \in \mathbb{Z}$.
2) Если $\tan x = \frac{1}{3}$, то $x = \arctan(\frac{1}{3}) + \pi n$, где $n \in \mathbb{Z}$.
Найденные серии корней не попадают в ограничения области определения тангенса.
Ответ: $x = \frac{\pi}{4} + \pi k, k \in \mathbb{Z}$; $x = \arctan(\frac{1}{3}) + \pi n, n \in \mathbb{Z}$.
г) $\cot^2 x - 4\cot x + 3 = 0$
Введем замену переменной: пусть $t = \cot x$. Область значений котангенса $(-\infty, +\infty)$, поэтому на $t$ ограничений нет. Область определения котангенса: $x \neq \pi k, k \in \mathbb{Z}$.
Получаем квадратное уравнение:
$t^2 - 4t + 3 = 0$
Решим его по теореме Виета: $t_1 + t_2 = 4$, $t_1 \cdot t_2 = 3$.
Корни $t_1 = 1$ и $t_2 = 3$.
Оба корня подходят. Выполним обратную замену.
1) Если $\cot x = 1$, то $x = \text{arccot}(1) + \pi k = \frac{\pi}{4} + \pi k$, где $k \in \mathbb{Z}$.
2) Если $\cot x = 3$, то $x = \text{arccot}(3) + \pi n$, где $n \in \mathbb{Z}$.
Найденные серии корней не попадают в ограничения области определения котангенса.
Ответ: $x = \frac{\pi}{4} + \pi k, k \in \mathbb{Z}$; $x = \text{arccot}(3) + \pi n, n \in \mathbb{Z}$.
Другие задания:
Помогло решение? Оставьте отзыв в комментариях ниже.
Присоединяйтесь к Телеграм-группе @gdz_by_belarus
ПрисоединитьсяМы подготовили для вас ответ c подробным объяснением домашего задания по алгебре за 11 класс, для упражнения номер 207 расположенного на странице 191 к учебнику 2020 года издания для учащихся школ и гимназий.
Теперь на нашем сайте ГДЗ.ТОП вы всегда легко и бесплатно найдёте условие с правильным ответом на вопрос «Как решить ДЗ» и «Как сделать» задание по алгебре к упражнению №207 (с. 191), авторов: Арефьева (Ирина Глебовна), Пирютко (Ольга Николаевна), учебного пособия издательства Народная асвета.