Номер 320, страница 206 - гдз по алгебре 11 класс учебник Арефьева, Пирютко

Алгебра, 11 класс Учебник, авторы: Арефьева Ирина Глебовна, Пирютко Ольга Николаевна, издательство Народная асвета, Минск, 2020, бирюзового цвета

Авторы: Арефьева И. Г., Пирютко О. Н.

Тип: Учебник

Издательство: Народная асвета

Год издания: 2020 - 2026

Цвет обложки: бирюзовый, зелёный с графиком

ISBN: 978-985-03-3165-6

Популярные ГДЗ в 11 классе

Упражнения для итогового повторения. Выражения и их преобразования - номер 320, страница 206.

№320 (с. 206)
Условие. №320 (с. 206)
скриншот условия
Алгебра, 11 класс Учебник, авторы: Арефьева Ирина Глебовна, Пирютко Ольга Николаевна, издательство Народная асвета, Минск, 2020, бирюзового цвета, страница 206, номер 320, Условие

320. Решите уравнение, используя метод замены переменной:

а) $\lg^2 x - 2\lg x - 3 = 0;$

б) $\log^2_3 x - 4\log_3 x + 3 = 0;$

в) $3\log^2_{27} x + 5\log_{27} x - 2 = 0;$

г) $\lg^2 x + 10\lg x - 11 = 0.$

Решение. №320 (с. 206)
Алгебра, 11 класс Учебник, авторы: Арефьева Ирина Глебовна, Пирютко Ольга Николаевна, издательство Народная асвета, Минск, 2020, бирюзового цвета, страница 206, номер 320, Решение Алгебра, 11 класс Учебник, авторы: Арефьева Ирина Глебовна, Пирютко Ольга Николаевна, издательство Народная асвета, Минск, 2020, бирюзового цвета, страница 206, номер 320, Решение (продолжение 2)
Решение 2. №320 (с. 206)

а) Исходное уравнение: $\lg^2 x - 2\lg x - 3 = 0$.

Область допустимых значений (ОДЗ): $x > 0$.

Введем замену переменной. Пусть $t = \lg x$. Тогда уравнение примет вид квадратного уравнения:

$t^2 - 2t - 3 = 0$

Найдем корни этого уравнения с помощью дискриминанта:

$D = b^2 - 4ac = (-2)^2 - 4 \cdot 1 \cdot (-3) = 4 + 12 = 16$.

$t_1 = \frac{-b + \sqrt{D}}{2a} = \frac{2 + \sqrt{16}}{2} = \frac{2 + 4}{2} = 3$.

$t_2 = \frac{-b - \sqrt{D}}{2a} = \frac{2 - \sqrt{16}}{2} = \frac{2 - 4}{2} = -1$.

Теперь выполним обратную замену:

1) $\lg x = 3 \Rightarrow x = 10^3 = 1000$.

2) $\lg x = -1 \Rightarrow x = 10^{-1} = 0.1$.

Оба корня удовлетворяют ОДЗ ($x > 0$).

Ответ: $0.1; 1000$.

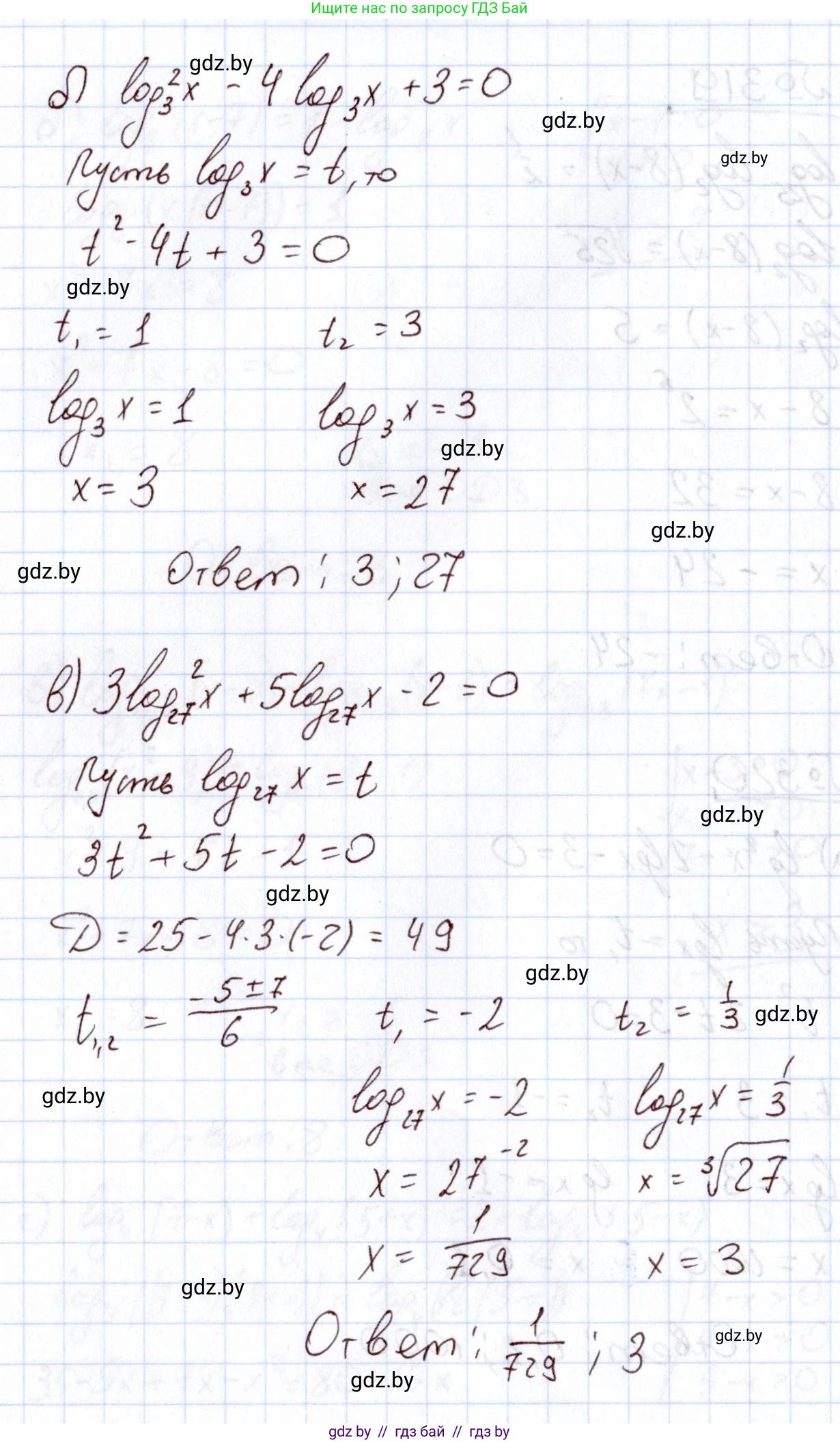
б) Исходное уравнение: $\log_3^2 x - 4\log_3 x + 3 = 0$.

ОДЗ: $x > 0$.

Пусть $t = \log_3 x$. Уравнение сводится к квадратному:

$t^2 - 4t + 3 = 0$

По теореме Виета, корни уравнения:

$t_1 = 1$, $t_2 = 3$.

Выполним обратную замену:

1) $\log_3 x = 1 \Rightarrow x = 3^1 = 3$.

2) $\log_3 x = 3 \Rightarrow x = 3^3 = 27$.

Оба корня удовлетворяют ОДЗ.

Ответ: $3; 27$.

в) Исходное уравнение: $3\log_{27}^2 x + 5\log_{27} x - 2 = 0$.

ОДЗ: $x > 0$.

Пусть $t = \log_{27} x$. Получаем квадратное уравнение:

$3t^2 + 5t - 2 = 0$

Найдем корни через дискриминант:

$D = 5^2 - 4 \cdot 3 \cdot (-2) = 25 + 24 = 49$.

$t_1 = \frac{-5 + \sqrt{49}}{2 \cdot 3} = \frac{-5 + 7}{6} = \frac{2}{6} = \frac{1}{3}$.

$t_2 = \frac{-5 - \sqrt{49}}{2 \cdot 3} = \frac{-5 - 7}{6} = \frac{-12}{6} = -2$.

Выполним обратную замену:

1) $\log_{27} x = \frac{1}{3} \Rightarrow x = 27^{1/3} = \sqrt[3]{27} = 3$.

2) $\log_{27} x = -2 \Rightarrow x = 27^{-2} = \frac{1}{27^2} = \frac{1}{729}$.

Оба корня удовлетворяют ОДЗ.

Ответ: $\frac{1}{729}; 3$.

г) Исходное уравнение: $\lg^2 x + 10\lg x - 11 = 0$.

ОДЗ: $x > 0$.

Пусть $t = \lg x$. Уравнение примет вид:

$t^2 + 10t - 11 = 0$

По теореме Виета, корни уравнения:

$t_1 = 1$, $t_2 = -11$.

Выполним обратную замену:

1) $\lg x = 1 \Rightarrow x = 10^1 = 10$.

2) $\lg x = -11 \Rightarrow x = 10^{-11}$.

Оба корня удовлетворяют ОДЗ.

Ответ: $10^{-11}; 10$.

Помогло решение? Оставьте отзыв в комментариях ниже.

Присоединяйтесь к Телеграм-группе @gdz_by_belarus

Присоединиться

Мы подготовили для вас ответ c подробным объяснением домашего задания по алгебре за 11 класс, для упражнения номер 320 расположенного на странице 206 к учебнику 2020 года издания для учащихся школ и гимназий.

Теперь на нашем сайте ГДЗ.ТОП вы всегда легко и бесплатно найдёте условие с правильным ответом на вопрос «Как решить ДЗ» и «Как сделать» задание по алгебре к упражнению №320 (с. 206), авторов: Арефьева (Ирина Глебовна), Пирютко (Ольга Николаевна), учебного пособия издательства Народная асвета.