Номер 372, страница 215 - гдз по алгебре 11 класс учебник Арефьева, Пирютко

Алгебра, 11 класс Учебник, авторы: Арефьева Ирина Глебовна, Пирютко Ольга Николаевна, издательство Народная асвета, Минск, 2020, бирюзового цвета

Авторы: Арефьева И. Г., Пирютко О. Н.

Тип: Учебник

Издательство: Народная асвета

Год издания: 2020 - 2026

Цвет обложки: бирюзовый, зелёный с графиком

ISBN: 978-985-03-3165-6

Популярные ГДЗ в 11 классе

Упражнения для итогового повторения. Функции и их свойства - номер 372, страница 215.

№372 (с. 215)
Условие. №372 (с. 215)
скриншот условия
Алгебра, 11 класс Учебник, авторы: Арефьева Ирина Глебовна, Пирютко Ольга Николаевна, издательство Народная асвета, Минск, 2020, бирюзового цвета, страница 215, номер 372, Условие

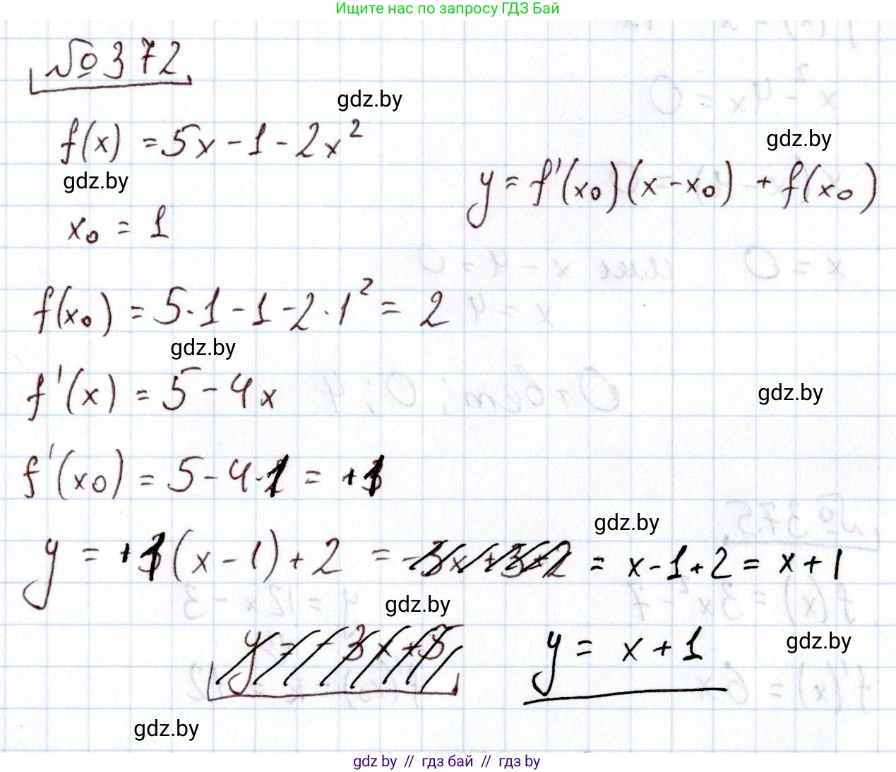
372. Запишите уравнение касательной к графику функции $f(x) = 5x - 1 - 2x^2$ в точке с абсциссой $x_0 = 1$.

Решение. №372 (с. 215)
Алгебра, 11 класс Учебник, авторы: Арефьева Ирина Глебовна, Пирютко Ольга Николаевна, издательство Народная асвета, Минск, 2020, бирюзового цвета, страница 215, номер 372, Решение
Решение 2. №372 (с. 215)

Уравнение касательной к графику функции $y = f(x)$ в точке с абсциссой $x_0$ имеет вид:

$y = f(x_0) + f'(x_0)(x - x_0)$

В нашей задаче дана функция $f(x) = 5x - 1 - 2x^2$ и точка касания $x_0 = 1$.

1. Найдем значение функции в точке $x_0$:

$f(x_0) = f(1) = 5 \cdot 1 - 1 - 2 \cdot 1^2 = 5 - 1 - 2 = 2$

Таким образом, точка касания имеет координаты $(1; 2)$.

2. Найдем производную функции $f(x)$:

$f'(x) = (5x - 1 - 2x^2)' = 5 - 4x$

3. Найдем значение производной в точке $x_0$. Это значение является угловым коэффициентом касательной.

$f'(x_0) = f'(1) = 5 - 4 \cdot 1 = 1$

4. Подставим найденные значения $f(x_0) = 2$, $f'(x_0) = 1$ и $x_0 = 1$ в общее уравнение касательной:

$y = 2 + 1 \cdot (x - 1)$

5. Упростим полученное выражение, чтобы получить итоговое уравнение:

$y = 2 + x - 1$

$y = x + 1$

Ответ: $y = x + 1$

Помогло решение? Оставьте отзыв в комментариях ниже.

Присоединяйтесь к Телеграм-группе @gdz_by_belarus

Присоединиться

Мы подготовили для вас ответ c подробным объяснением домашего задания по алгебре за 11 класс, для упражнения номер 372 расположенного на странице 215 к учебнику 2020 года издания для учащихся школ и гимназий.

Теперь на нашем сайте ГДЗ.ТОП вы всегда легко и бесплатно найдёте условие с правильным ответом на вопрос «Как решить ДЗ» и «Как сделать» задание по алгебре к упражнению №372 (с. 215), авторов: Арефьева (Ирина Глебовна), Пирютко (Ольга Николаевна), учебного пособия издательства Народная асвета.