Номер 424, страница 223 - гдз по алгебре 11 класс учебник Арефьева, Пирютко

Алгебра, 11 класс Учебник, авторы: Арефьева Ирина Глебовна, Пирютко Ольга Николаевна, издательство Народная асвета, Минск, 2020, бирюзового цвета

Авторы: Арефьева И. Г., Пирютко О. Н.

Тип: Учебник

Издательство: Народная асвета

Год издания: 2020 - 2026

Цвет обложки: бирюзовый, зелёный с графиком

ISBN: 978-985-03-3165-6

Популярные ГДЗ в 11 классе

Упражнения для итогового повторения. Функции и их свойства - номер 424, страница 223.

№424 (с. 223)
Условие. №424 (с. 223)
скриншот условия
Алгебра, 11 класс Учебник, авторы: Арефьева Ирина Глебовна, Пирютко Ольга Николаевна, издательство Народная асвета, Минск, 2020, бирюзового цвета, страница 223, номер 424, Условие Алгебра, 11 класс Учебник, авторы: Арефьева Ирина Глебовна, Пирютко Ольга Николаевна, издательство Народная асвета, Минск, 2020, бирюзового цвета, страница 223, номер 424, Условие (продолжение 2)

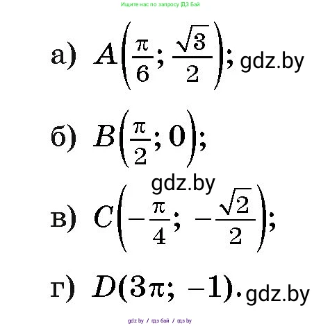
424. Определите, какие из данных точек принадлежат графику функции $y = \cos x$:

а) $A\left(\frac{\pi}{6}; \frac{\sqrt{3}}{2}\right)$;

б) $B\left(\frac{\pi}{2}; 0\right)$;

в) $C\left(-\frac{\pi}{4}; -\frac{\sqrt{2}}{2}\right)$;

г) $D(3\pi; -1)$.

Решение. №424 (с. 223)
Алгебра, 11 класс Учебник, авторы: Арефьева Ирина Глебовна, Пирютко Ольга Николаевна, издательство Народная асвета, Минск, 2020, бирюзового цвета, страница 223, номер 424, Решение
Решение 2. №424 (с. 223)

Чтобы определить, принадлежит ли точка графику функции $y = \cos x$, необходимо подставить координаты $x$ и $y$ каждой точки в уравнение функции и проверить, выполняется ли равенство.

а) Для точки $A(\frac{\pi}{6}; \frac{\sqrt{3}}{2})$ имеем $x = \frac{\pi}{6}$ и $y = \frac{\sqrt{3}}{2}$.

Подставляем эти значения в уравнение функции:

$y = \cos(x)$

$\frac{\sqrt{3}}{2} = \cos(\frac{\pi}{6})$

Мы знаем, что значение косинуса для угла $\frac{\pi}{6}$ (или 30°) равно $\frac{\sqrt{3}}{2}$.

$\cos(\frac{\pi}{6}) = \frac{\sqrt{3}}{2}$

Поскольку равенство $\frac{\sqrt{3}}{2} = \frac{\sqrt{3}}{2}$ является верным, точка A принадлежит графику функции.

Ответ: принадлежит.

б) Для точки $B(\frac{\pi}{2}; 0)$ имеем $x = \frac{\pi}{2}$ и $y = 0$.

Подставляем значения в уравнение:

$0 = \cos(\frac{\pi}{2})$

Значение косинуса для угла $\frac{\pi}{2}$ (или 90°) равно 0.

$\cos(\frac{\pi}{2}) = 0$

Равенство $0 = 0$ является верным, следовательно, точка B принадлежит графику функции.

Ответ: принадлежит.

в) Для точки $C(-\frac{\pi}{4}; -\frac{\sqrt{2}}{2})$ имеем $x = -\frac{\pi}{4}$ и $y = -\frac{\sqrt{2}}{2}$.

Подставляем значения в уравнение:

$-\frac{\sqrt{2}}{2} = \cos(-\frac{\pi}{4})$

Функция косинуса является четной, то есть $\cos(-x) = \cos(x)$. Поэтому:

$\cos(-\frac{\pi}{4}) = \cos(\frac{\pi}{4}) = \frac{\sqrt{2}}{2}$

Получаем равенство $-\frac{\sqrt{2}}{2} = \frac{\sqrt{2}}{2}$, которое неверно.

Следовательно, точка C не принадлежит графику функции.

Ответ: не принадлежит.

г) Для точки $D(3\pi; -1)$ имеем $x = 3\pi$ и $y = -1$.

Подставляем значения в уравнение:

$-1 = \cos(3\pi)$

Функция косинуса имеет период $2\pi$, что означает $\cos(x) = \cos(x + 2\pi k)$ для любого целого $k$.

$\cos(3\pi) = \cos(\pi + 2\pi) = \cos(\pi)$

Значение косинуса для угла $\pi$ (или 180°) равно -1.

$\cos(\pi) = -1$

Равенство $-1 = -1$ является верным, следовательно, точка D принадлежит графику функции.

Ответ: принадлежит.

Помогло решение? Оставьте отзыв в комментариях ниже.

Присоединяйтесь к Телеграм-группе @gdz_by_belarus

Присоединиться

Мы подготовили для вас ответ c подробным объяснением домашего задания по алгебре за 11 класс, для упражнения номер 424 расположенного на странице 223 к учебнику 2020 года издания для учащихся школ и гимназий.

Теперь на нашем сайте ГДЗ.ТОП вы всегда легко и бесплатно найдёте условие с правильным ответом на вопрос «Как решить ДЗ» и «Как сделать» задание по алгебре к упражнению №424 (с. 223), авторов: Арефьева (Ирина Глебовна), Пирютко (Ольга Николаевна), учебного пособия издательства Народная асвета.