Номер 92, страница 177 - гдз по алгебре 11 класс учебник Арефьева, Пирютко

Алгебра, 11 класс Учебник, авторы: Арефьева Ирина Глебовна, Пирютко Ольга Николаевна, издательство Народная асвета, Минск, 2020, бирюзового цвета

Авторы: Арефьева И. Г., Пирютко О. Н.

Тип: Учебник

Издательство: Народная асвета

Год издания: 2020 - 2026

Цвет обложки: бирюзовый, зелёный с графиком

ISBN: 978-985-03-3165-6

Популярные ГДЗ в 11 классе

Упражнения для итогового повторения. Числа и вычисления - номер 92, страница 177.

№92 (с. 177)
Условие. №92 (с. 177)
скриншот условия
Алгебра, 11 класс Учебник, авторы: Арефьева Ирина Глебовна, Пирютко Ольга Николаевна, издательство Народная асвета, Минск, 2020, бирюзового цвета, страница 177, номер 92, Условие

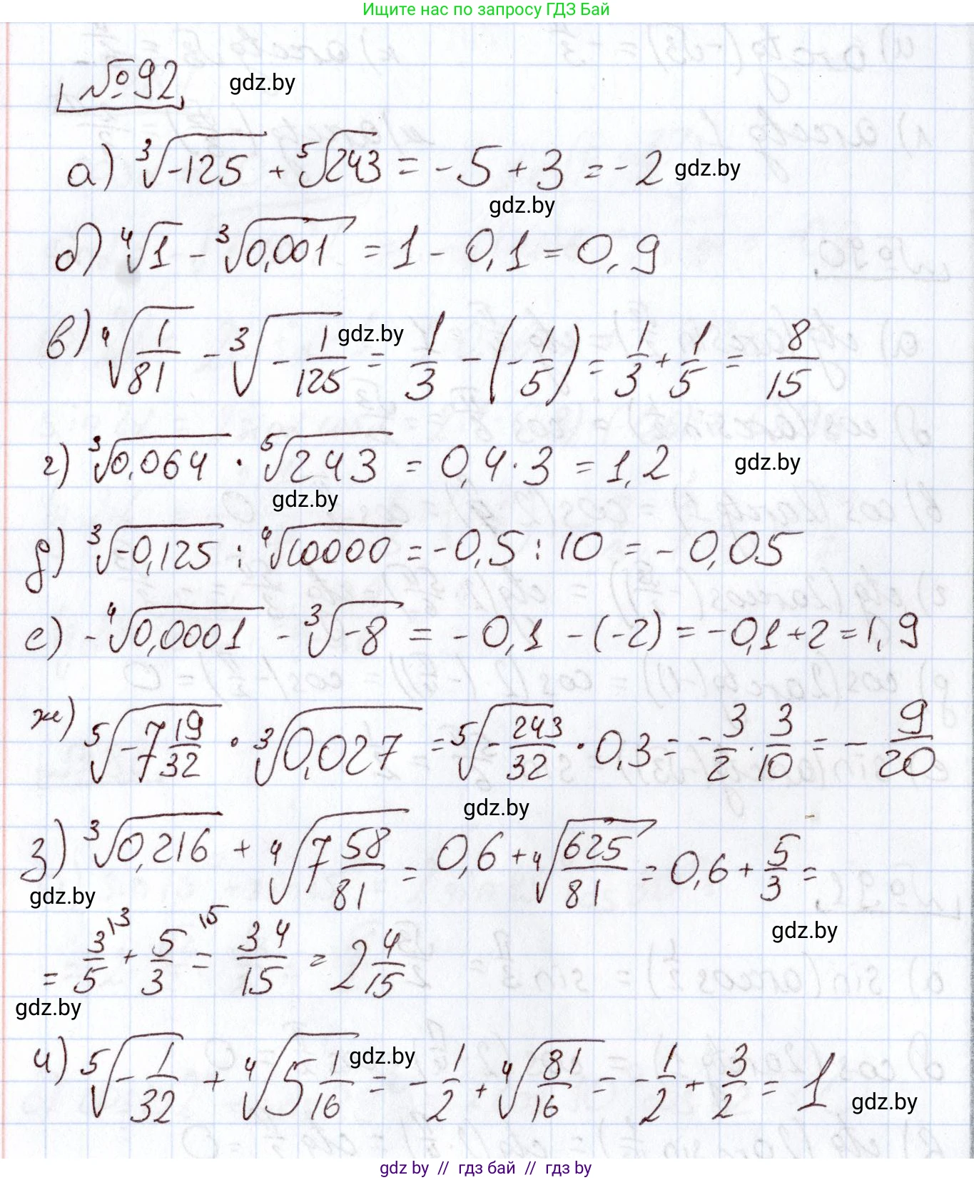
92. Выполните действия:

а) $\sqrt[3]{-125} + \sqrt[5]{243}$;

б) $\sqrt[4]{1} - \sqrt[3]{0,001}$;

в) $\sqrt[4]{\frac{1}{81}} - \sqrt[3]{-\frac{1}{125}}$;

г) $\sqrt[3]{0,064} \cdot \sqrt[5]{243}$;

д) $\sqrt[3]{-0,125} : \sqrt[4]{10000}$;

е) $-\sqrt[4]{0,0001} - \sqrt[3]{-8}$;

ж) $\sqrt[5]{-7\frac{19}{32}} \cdot \sqrt[3]{0,027}$;

з) $\sqrt[3]{0,216} + \sqrt[4]{7\frac{58}{81}}$;

и) $\sqrt[5]{-\frac{1}{32}} + \sqrt[4]{5\frac{1}{16}}$.

Решение. №92 (с. 177)
Алгебра, 11 класс Учебник, авторы: Арефьева Ирина Глебовна, Пирютко Ольга Николаевна, издательство Народная асвета, Минск, 2020, бирюзового цвета, страница 177, номер 92, Решение
Решение 2. №92 (с. 177)

а) $\sqrt[3]{-125} + \sqrt[5]{243} = -5 + 3 = -2$.

Ответ: $-2$.

б) $\sqrt[4]{1} - \sqrt[3]{0,001} = 1 - 0,1 = 0,9$.

Ответ: $0,9$.

в) $\sqrt[4]{\frac{1}{81}} - \sqrt[3]{-\frac{1}{125}} = \frac{1}{3} - (-\frac{1}{5}) = \frac{1}{3} + \frac{1}{5} = \frac{5}{15} + \frac{3}{15} = \frac{8}{15}$.

Ответ: $\frac{8}{15}$.

г) $\sqrt[3]{0,064} \cdot \sqrt[5]{243} = 0,4 \cdot 3 = 1,2$.

Ответ: $1,2$.

д) $\sqrt[3]{-0,125} : \sqrt[4]{10000} = -0,5 : 10 = -0,05$.

Ответ: $-0,05$.

е) $-\sqrt[4]{0,0001} - \sqrt[3]{-8} = -0,1 - (-2) = -0,1 + 2 = 1,9$.

Ответ: $1,9$.

ж) $\sqrt[5]{-7\frac{19}{32}} \cdot \sqrt[3]{0,027} = \sqrt[5]{-\frac{7 \cdot 32 + 19}{32}} \cdot 0,3 = \sqrt[5]{-\frac{243}{32}} \cdot 0,3 = -\frac{3}{2} \cdot 0,3 = -1,5 \cdot 0,3 = -0,45$.

Ответ: $-0,45$.

з) $\sqrt[3]{0,216} + \sqrt[4]{7\frac{58}{81}} = 0,6 + \sqrt[4]{\frac{7 \cdot 81 + 58}{81}} = 0,6 + \sqrt[4]{\frac{625}{81}} = \frac{3}{5} + \frac{5}{3} = \frac{9}{15} + \frac{25}{15} = \frac{34}{15}$.

Ответ: $\frac{34}{15}$.

и) $\sqrt[5]{-\frac{1}{32}} + \sqrt[4]{5\frac{1}{16}} = -\frac{1}{2} + \sqrt[4]{\frac{5 \cdot 16 + 1}{16}} = -\frac{1}{2} + \sqrt[4]{\frac{81}{16}} = -\frac{1}{2} + \frac{3}{2} = \frac{2}{2} = 1$.

Ответ: $1$.

Помогло решение? Оставьте отзыв в комментариях ниже.

Присоединяйтесь к Телеграм-группе @gdz_by_belarus

Присоединиться

Мы подготовили для вас ответ c подробным объяснением домашего задания по алгебре за 11 класс, для упражнения номер 92 расположенного на странице 177 к учебнику 2020 года издания для учащихся школ и гимназий.

Теперь на нашем сайте ГДЗ.ТОП вы всегда легко и бесплатно найдёте условие с правильным ответом на вопрос «Как решить ДЗ» и «Как сделать» задание по алгебре к упражнению №92 (с. 177), авторов: Арефьева (Ирина Глебовна), Пирютко (Ольга Николаевна), учебного пособия издательства Народная асвета.