Номер 5, страница 248 - гдз по алгебре 11 класс учебник Арефьева, Пирютко

Алгебра, 11 класс Учебник, авторы: Арефьева Ирина Глебовна, Пирютко Ольга Николаевна, издательство Народная асвета, Минск, 2020, бирюзового цвета

Авторы: Арефьева И. Г., Пирютко О. Н.

Тип: Учебник

Издательство: Народная асвета

Год издания: 2020 - 2026

Цвет обложки: бирюзовый, зелёный с графиком

ISBN: 978-985-03-3165-6

Популярные ГДЗ в 11 классе

Тематические тесты. Тест 7. Применение свойств показательной функции. Показательные уравнения - номер 5, страница 248.

№5 (с. 248)
Условие. №5 (с. 248)
скриншот условия
Алгебра, 11 класс Учебник, авторы: Арефьева Ирина Глебовна, Пирютко Ольга Николаевна, издательство Народная асвета, Минск, 2020, бирюзового цвета, страница 248, номер 5, Условие

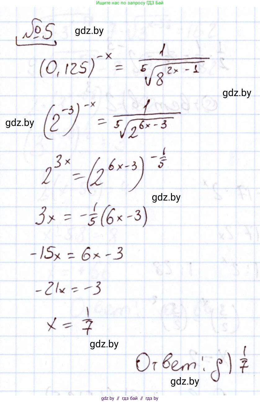
5. Решите уравнение $(0,125)^{-x} = \frac{1}{\sqrt[5]{8^{2x-1}}}$.

а) $\frac{1}{3}$;

б) $-\frac{1}{2}$;

в) $7$;

г) $-\frac{1}{7}$;

д) $\frac{1}{7}$.

Решение. №5 (с. 248)
Алгебра, 11 класс Учебник, авторы: Арефьева Ирина Глебовна, Пирютко Ольга Николаевна, издательство Народная асвета, Минск, 2020, бирюзового цвета, страница 248, номер 5, Решение
Решение 2. №5 (с. 248)

Для решения данного показательного уравнения необходимо привести обе его части к одному основанию. В данном случае удобно использовать основание 2.

1. Преобразование левой части уравнения.
Представим десятичную дробь 0,125 в виде обыкновенной дроби, а затем в виде степени с основанием 2:
$0,125 = \frac{125}{1000} = \frac{1}{8} = \frac{1}{2^3} = 2^{-3}$
Теперь подставим это выражение в левую часть уравнения:
$(0,125)^{-x} = (2^{-3})^{-x}$
Используя свойство возведения степени в степень $(a^m)^n = a^{m \cdot n}$, получаем:
$(2^{-3})^{-x} = 2^{(-3) \cdot (-x)} = 2^{3x}$

2. Преобразование правой части уравнения.
Число 8 также представим как степень с основанием 2: $8 = 2^3$.
Подставим это в правую часть:
$\frac{1}{\sqrt[5]{8^{2x-1}}} = \frac{1}{\sqrt[5]{(2^3)^{2x-1}}}$
Упростим выражение под корнем, снова используя свойство $(a^m)^n = a^{mn}$:
$(2^3)^{2x-1} = 2^{3 \cdot (2x-1)} = 2^{6x-3}$
Теперь знаменатель имеет вид $\sqrt[5]{2^{6x-3}}$. Представим корень в виде степени с дробным показателем, используя свойство $\sqrt[n]{a^m} = a^{\frac{m}{n}}$:
$\sqrt[5]{2^{6x-3}} = (2^{6x-3})^{\frac{1}{5}} = 2^{\frac{6x-3}{5}}$
Таким образом, вся правая часть уравнения равна $\frac{1}{2^{\frac{6x-3}{5}}}$. Используя свойство отрицательной степени $\frac{1}{a^p} = a^{-p}$, получаем:
$2^{-\frac{6x-3}{5}}$

3. Решение уравнения.
Теперь, когда обе части уравнения приведены к одному основанию, мы можем приравнять их показатели:
$2^{3x} = 2^{-\frac{6x-3}{5}}$
$3x = -\frac{6x-3}{5}$
Для решения этого линейного уравнения умножим обе части на 5:
$5 \cdot 3x = -(6x-3)$
$15x = -6x + 3$
Перенесем слагаемые, содержащие $x$, в левую часть уравнения:
$15x + 6x = 3$
$21x = 3$
Найдем $x$:
$x = \frac{3}{21}$
Сократим полученную дробь:
$x = \frac{1}{7}$

Полученный корень $x = \frac{1}{7}$ соответствует варианту ответа д).

Ответ: д) $\frac{1}{7}$.

Помогло решение? Оставьте отзыв в комментариях ниже.

Присоединяйтесь к Телеграм-группе @gdz_by_belarus

Присоединиться

Мы подготовили для вас ответ c подробным объяснением домашего задания по алгебре за 11 класс, для упражнения номер 5 расположенного на странице 248 к учебнику 2020 года издания для учащихся школ и гимназий.

Теперь на нашем сайте ГДЗ.ТОП вы всегда легко и бесплатно найдёте условие с правильным ответом на вопрос «Как решить ДЗ» и «Как сделать» задание по алгебре к упражнению №5 (с. 248), авторов: Арефьева (Ирина Глебовна), Пирютко (Ольга Николаевна), учебного пособия издательства Народная асвета.