Номер 15, страница 251 - гдз по алгебре 11 класс учебник Арефьева, Пирютко

Алгебра, 11 класс Учебник, авторы: Арефьева Ирина Глебовна, Пирютко Ольга Николаевна, издательство Народная асвета, Минск, 2020, бирюзового цвета

Авторы: Арефьева И. Г., Пирютко О. Н.

Тип: Учебник

Издательство: Народная асвета

Год издания: 2020 - 2026

Цвет обложки: бирюзовый, зелёный с графиком

ISBN: 978-985-03-3165-6

Популярные ГДЗ в 11 классе

Тематические тесты. Тест 8. Показательные неравенства - номер 15, страница 251.

№15 (с. 251)
Условие. №15 (с. 251)
скриншот условия
Алгебра, 11 класс Учебник, авторы: Арефьева Ирина Глебовна, Пирютко Ольга Николаевна, издательство Народная асвета, Минск, 2020, бирюзового цвета, страница 251, номер 15, Условие

15. Найдите число целых решений неравенства $2^{x^2-4x+5} \le 4x - 2 - x^2$.

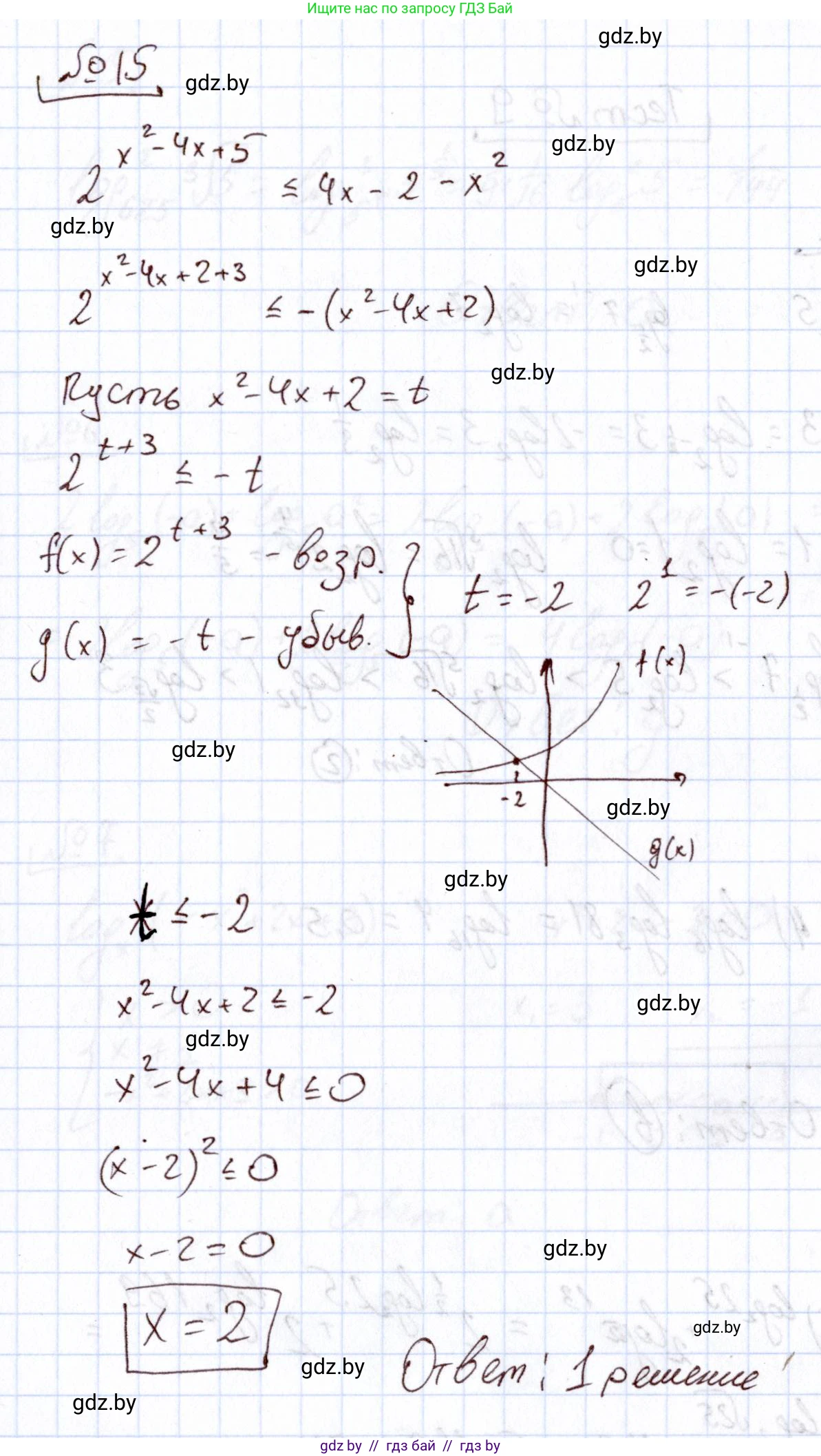
Решение. №15 (с. 251)
Алгебра, 11 класс Учебник, авторы: Арефьева Ирина Глебовна, Пирютко Ольга Николаевна, издательство Народная асвета, Минск, 2020, бирюзового цвета, страница 251, номер 15, Решение
Решение 2. №15 (с. 251)

Рассмотрим данное неравенство: $2^{x^2 - 4x + 5} \le 4x - 2 - x^2$.

Для решения этого неравенства применим метод оценки. Проанализируем левую и правую части неравенства по отдельности.

1. Анализ левой части $f(x) = 2^{x^2 - 4x + 5}$

Левая часть представляет собой показательную функцию с основанием $2 > 1$. Такая функция возрастает, и ее наименьшее значение достигается при наименьшем значении показателя степени.

Показатель степени — это квадратичная функция $p(x) = x^2 - 4x + 5$. График этой функции — парабола, ветви которой направлены вверх. Следовательно, она имеет точку минимума в своей вершине.

Найдем координаты вершины параболы. Абсцисса вершины вычисляется по формуле $x_v = -\frac{b}{2a}$: $x_v = -\frac{-4}{2 \cdot 1} = 2$.

Теперь найдем наименьшее значение показателя, подставив $x=2$ в $p(x)$: $p(2) = 2^2 - 4(2) + 5 = 4 - 8 + 5 = 1$.

Таким образом, минимальное значение показателя степени равно 1. Следовательно, минимальное значение левой части неравенства равно $2^1 = 2$. Это означает, что для любого действительного $x$ выполняется неравенство: $2^{x^2 - 4x + 5} \ge 2$.

2. Анализ правой части $g(x) = 4x - 2 - x^2$

Правая часть представляет собой квадратичную функцию $g(x) = -x^2 + 4x - 2$. График этой функции — парабола, ветви которой направлены вниз. Следовательно, она имеет точку максимума в своей вершине.

Найдем координаты вершины этой параболы. Абсцисса вершины: $x_v = -\frac{b}{2a} = -\frac{4}{2 \cdot (-1)} = 2$.

Теперь найдем наибольшее значение функции $g(x)$, подставив $x=2$: $g(2) = 4(2) - 2 - 2^2 = 8 - 2 - 4 = 2$.

Таким образом, максимальное значение правой части неравенства равно 2. Это означает, что для любого действительного $x$ выполняется неравенство: $4x - 2 - x^2 \le 2$.

3. Решение неравенства и нахождение целых решений

Вернемся к исходному неравенству $2^{x^2 - 4x + 5} \le 4x - 2 - x^2$.

Мы установили, что левая часть всегда не меньше 2, а правая часть всегда не больше 2. Неравенство может выполняться только в том случае, если обе его части равны 2. Это возможно тогда и только тогда, когда обе функции достигают своих экстремальных значений, то есть: $\begin{cases} 2^{x^2 - 4x + 5} = 2 \\ 4x - 2 - x^2 = 2 \end{cases}$

Как мы показали выше, обе функции достигают своих экстремальных значений (минимума для левой части и максимума для правой) в одной и той же точке $x = 2$.

Следовательно, единственным решением данного неравенства является $x=2$.

В задаче требуется найти число целых решений. Так как $x=2$ является целым числом, и это единственное решение, то число целых решений равно 1.

Ответ: 1

Помогло решение? Оставьте отзыв в комментариях ниже.

Присоединяйтесь к Телеграм-группе @gdz_by_belarus

Присоединиться

Мы подготовили для вас ответ c подробным объяснением домашего задания по алгебре за 11 класс, для упражнения номер 15 расположенного на странице 251 к учебнику 2020 года издания для учащихся школ и гимназий.

Теперь на нашем сайте ГДЗ.ТОП вы всегда легко и бесплатно найдёте условие с правильным ответом на вопрос «Как решить ДЗ» и «Как сделать» задание по алгебре к упражнению №15 (с. 251), авторов: Арефьева (Ирина Глебовна), Пирютко (Ольга Николаевна), учебного пособия издательства Народная асвета.