Номер 8.19, страница 233 - гдз по алгебре 11 класс учебник Никольский, Потапов

Алгебра, 11 класс Учебник, авторы: Никольский Сергей Михайлович, Потапов Михаил Константинович, Решетников Николай Николаевич, Шевкин Александр Владимирович, издательство Просвещение, Москва, 2014, голубого цвета

Авторы: Никольский С. М., Потапов М. К., Решетников Н. Н., Шевкин А. В.

Тип: Учебник

Серия: мгу - школе

Издательство: Просвещение

Год издания: 2014 - 2026

Уровень обучения: базовый и углублённый

Цвет обложки: голубой в сеточку

ISBN: 978-5-09-087641-4

Допущено Министерством просвещения Российской Федерации

Математика: алгебра и начала математического анализа, геометрия

Популярные ГДЗ в 11 классе

Глава 2. Уравнения. Неравенства. Системы. Параграф 8. Уравнения-следствия - номер 8.19, страница 233.

№8.19 (с. 233)
Условие. №8.19 (с. 233)
скриншот условия
Алгебра, 11 класс Учебник, авторы: Никольский Сергей Михайлович, Потапов Михаил Константинович, Решетников Николай Николаевич, Шевкин Александр Владимирович, издательство Просвещение, Москва, 2014, голубого цвета, страница 233, номер 8.19, Условие

8.19* a) $log_2 \cos 2x = log_2 \cos x;$

б) $log_{\frac{1}{2}} \cos 2x = log_{\frac{1}{2}} (\cos x + \sin x);$

в) $log_{\frac{1}{3}} \cos 2x = log_{\frac{1}{3}} (\cos x - \sin x);$

г) $log_{0,2} \cos 2x = log_{0,2} (\sin x - \cos x).$

Решение 1. №8.19 (с. 233)
Алгебра, 11 класс Учебник, авторы: Никольский Сергей Михайлович, Потапов Михаил Константинович, Решетников Николай Николаевич, Шевкин Александр Владимирович, издательство Просвещение, Москва, 2014, голубого цвета, страница 233, номер 8.19, Решение 1
Алгебра, 11 класс Учебник, авторы: Никольский Сергей Михайлович, Потапов Михаил Константинович, Решетников Николай Николаевич, Шевкин Александр Владимирович, издательство Просвещение, Москва, 2014, голубого цвета, страница 233, номер 8.19, Решение 1 (продолжение 2)
Решение 2. №8.19 (с. 233)
Алгебра, 11 класс Учебник, авторы: Никольский Сергей Михайлович, Потапов Михаил Константинович, Решетников Николай Николаевич, Шевкин Александр Владимирович, издательство Просвещение, Москва, 2014, голубого цвета, страница 233, номер 8.19, Решение 2
Алгебра, 11 класс Учебник, авторы: Никольский Сергей Михайлович, Потапов Михаил Константинович, Решетников Николай Николаевич, Шевкин Александр Владимирович, издательство Просвещение, Москва, 2014, голубого цвета, страница 233, номер 8.19, Решение 2 (продолжение 2)
Решение 3. №8.19 (с. 233)
Алгебра, 11 класс Учебник, авторы: Никольский Сергей Михайлович, Потапов Михаил Константинович, Решетников Николай Николаевич, Шевкин Александр Владимирович, издательство Просвещение, Москва, 2014, голубого цвета, страница 233, номер 8.19, Решение 3
Решение 4. №8.19 (с. 233)

а) Исходное логарифмическое уравнение $ \log_{2} \cos 2x = \log_{2} \cos x $ равносильно системе:
$ \begin{cases} \cos 2x = \cos x \\ \cos x > 0 \end{cases} $
Второе условие $ \cos 2x > 0 $ выполняется автоматически, так как $ \cos 2x = \cos x $.
Решим уравнение $ \cos 2x = \cos x $. Применим формулу косинуса двойного угла $ \cos 2x = 2\cos^2 x - 1 $:
$ 2\cos^2 x - 1 = \cos x $
$ 2\cos^2 x - \cos x - 1 = 0 $
Сделаем замену $ t = \cos x $, где $ |t| \le 1 $:
$ 2t^2 - t - 1 = 0 $
Дискриминант $ D = (-1)^2 - 4 \cdot 2 \cdot (-1) = 1 + 8 = 9 $.
Корни квадратного уравнения: $ t_1 = \frac{1+3}{4} = 1 $ и $ t_2 = \frac{1-3}{4} = -\frac{1}{2} $.
Вернемся к переменной $x$:
1) $ \cos x = 1 $. Решения этого уравнения $ x = 2\pi k $, где $ k \in \mathbb{Z} $. Проверим условие $ \cos x > 0 $: $ \cos(2\pi k) = 1 > 0 $. Эти корни подходят.
2) $ \cos x = -1/2 $. Это значение не удовлетворяет условию $ \cos x > 0 $, поэтому эти решения являются посторонними.
Ответ: $ x = 2\pi k, k \in \mathbb{Z} $.

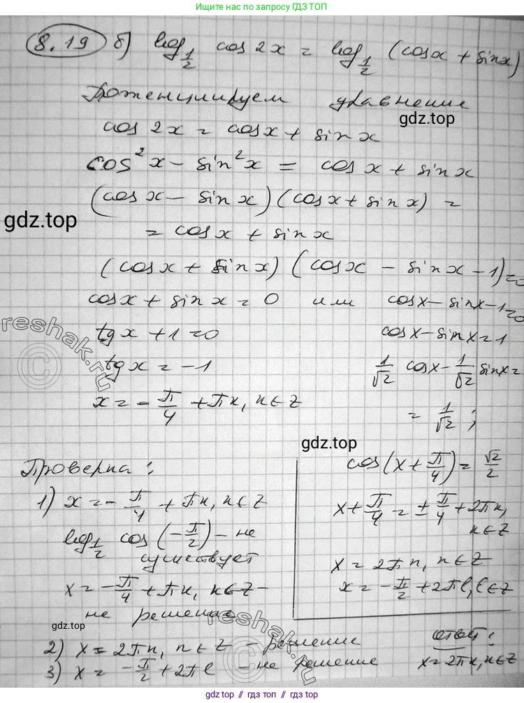
б) Исходное уравнение $ \log_{\frac{1}{2}} \cos 2x = \log_{\frac{1}{2}} (\cos x + \sin x) $ равносильно системе:
$ \begin{cases} \cos 2x = \cos x + \sin x \\ \cos x + \sin x > 0 \end{cases} $
Решим уравнение $ \cos 2x = \cos x + \sin x $. Используем формулу $ \cos 2x = \cos^2 x - \sin^2 x = (\cos x - \sin x)(\cos x + \sin x) $:
$ (\cos x - \sin x)(\cos x + \sin x) = \cos x + \sin x $
$ (\cos x - \sin x)(\cos x + \sin x) - (\cos x + \sin x) = 0 $
$ (\cos x + \sin x)(\cos x - \sin x - 1) = 0 $
Возможны два случая:
1) $ \cos x + \sin x = 0 $. Это противоречит условию области определения $ \cos x + \sin x > 0 $, поэтому решений в этом случае нет.
2) $ \cos x - \sin x - 1 = 0 \implies \cos x - \sin x = 1 $.
Преобразуем левую часть: $ \sqrt{2}(\frac{1}{\sqrt{2}}\cos x - \frac{1}{\sqrt{2}}\sin x) = 1 \implies \sqrt{2}\cos(x+\frac{\pi}{4}) = 1 \implies \cos(x+\frac{\pi}{4}) = \frac{1}{\sqrt{2}} $.
Отсюда получаем две серии решений:
$ x + \frac{\pi}{4} = \frac{\pi}{4} + 2\pi k \implies x = 2\pi k $, $ k \in \mathbb{Z} $.
$ x + \frac{\pi}{4} = -\frac{\pi}{4} + 2\pi k \implies x = -\frac{\pi}{2} + 2\pi k $, $ k \in \mathbb{Z} $.
Проверим найденные решения на соответствие условию $ \cos x + \sin x > 0 $:
Для $ x = 2\pi k $: $ \cos(2\pi k) + \sin(2\pi k) = 1 + 0 = 1 > 0 $. Корни подходят.
Для $ x = -\frac{\pi}{2} + 2\pi k $: $ \cos(-\frac{\pi}{2}) + \sin(-\frac{\pi}{2}) = 0 - 1 = -1 < 0 $. Корни не подходят.
Ответ: $ x = 2\pi k, k \in \mathbb{Z} $.

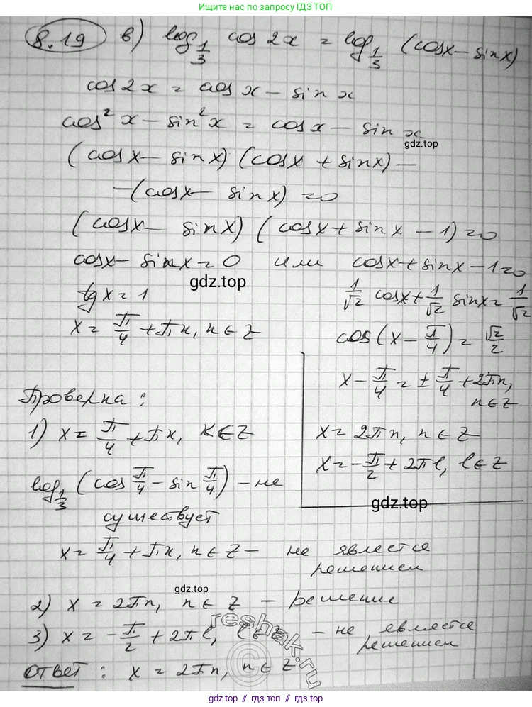
в) Исходное уравнение $ \log_{\frac{1}{3}} \cos 2x = \log_{\frac{1}{3}} (\cos x - \sin x) $ равносильно системе:
$ \begin{cases} \cos 2x = \cos x - \sin x \\ \cos x - \sin x > 0 \end{cases} $
Решим уравнение $ \cos 2x = \cos x - \sin x $:
$ (\cos x - \sin x)(\cos x + \sin x) = \cos x - \sin x $
$ (\cos x - \sin x)(\cos x + \sin x - 1) = 0 $
Возможны два случая:
1) $ \cos x - \sin x = 0 $. Это противоречит условию $ \cos x - \sin x > 0 $, решений нет.
2) $ \cos x + \sin x - 1 = 0 \implies \cos x + \sin x = 1 $.
Преобразуем левую часть: $ \sqrt{2}(\frac{1}{\sqrt{2}}\cos x + \frac{1}{\sqrt{2}}\sin x) = 1 \implies \sqrt{2}\cos(x-\frac{\pi}{4}) = 1 \implies \cos(x-\frac{\pi}{4}) = \frac{1}{\sqrt{2}} $.
Отсюда получаем две серии решений:
$ x - \frac{\pi}{4} = \frac{\pi}{4} + 2\pi k \implies x = \frac{\pi}{2} + 2\pi k $, $ k \in \mathbb{Z} $.
$ x - \frac{\pi}{4} = -\frac{\pi}{4} + 2\pi k \implies x = 2\pi k $, $ k \in \mathbb{Z} $.
Проверим найденные решения на соответствие условию $ \cos x - \sin x > 0 $:
Для $ x = \frac{\pi}{2} + 2\pi k $: $ \cos(\frac{\pi}{2}) - \sin(\frac{\pi}{2}) = 0 - 1 = -1 < 0 $. Корни не подходят.
Для $ x = 2\pi k $: $ \cos(2\pi k) - \sin(2\pi k) = 1 - 0 = 1 > 0 $. Корни подходят.
Ответ: $ x = 2\pi k, k \in \mathbb{Z} $.

г) Исходное уравнение $ \log_{0,2} \cos 2x = \log_{0,2} (\sin x - \cos x) $ равносильно системе:
$ \begin{cases} \cos 2x = \sin x - \cos x \\ \sin x - \cos x > 0 \end{cases} $
Решим уравнение $ \cos 2x = \sin x - \cos x \implies \cos 2x + \cos x - \sin x = 0 $.
Используем формулу суммы косинусов и формулу синуса двойного угла $ \sin x = 2\sin(x/2)\cos(x/2) $:
$ 2\cos(\frac{2x+x}{2})\cos(\frac{2x-x}{2}) - 2\sin\frac{x}{2}\cos\frac{x}{2} = 0 $
$ 2\cos\frac{3x}{2}\cos\frac{x}{2} - 2\sin\frac{x}{2}\cos\frac{x}{2} = 0 $
$ 2\cos\frac{x}{2}(\cos\frac{3x}{2} - \sin\frac{x}{2}) = 0 $
Возможны два случая:
1) $ \cos\frac{x}{2} = 0 \implies \frac{x}{2} = \frac{\pi}{2} + \pi k \implies x = \pi + 2\pi k $, $ k \in \mathbb{Z} $.
Проверим условие $ \sin x - \cos x > 0 $: $ \sin(\pi+2\pi k) - \cos(\pi+2\pi k) = \sin\pi - \cos\pi = 0 - (-1) = 1 > 0 $. Корни подходят.
2) $ \cos\frac{3x}{2} - \sin\frac{x}{2} = 0 \implies \cos\frac{3x}{2} = \sin\frac{x}{2} $.
Используя формулу приведения $ \sin\alpha = \cos(\frac{\pi}{2} - \alpha) $, получаем $ \cos\frac{3x}{2} = \cos(\frac{\pi}{2} - \frac{x}{2}) $.
Отсюда $ \frac{3x}{2} = \pm(\frac{\pi}{2} - \frac{x}{2}) + 2\pi n $.
а) $ \frac{3x}{2} = \frac{\pi}{2} - \frac{x}{2} + 2\pi n \implies 2x = \frac{\pi}{2} + 2\pi n \implies x = \frac{\pi}{4} + \pi n $.
Проверка: $ \sin(\frac{\pi}{4}+\pi n) - \cos(\frac{\pi}{4}+\pi n) = \sqrt{2}\sin(\frac{\pi}{4}+\pi n - \frac{\pi}{4}) = \sqrt{2}\sin(\pi n) = 0 $. Не удовлетворяет условию $ \sin x - \cos x > 0 $.
б) $ \frac{3x}{2} = -(\frac{\pi}{2} - \frac{x}{2}) + 2\pi n \implies \frac{3x}{2} = -\frac{\pi}{2} + \frac{x}{2} + 2\pi n \implies x = -\frac{\pi}{2} + 2\pi n $.
Проверка: $ \sin(-\frac{\pi}{2}) - \cos(-\frac{\pi}{2}) = -1 - 0 = -1 < 0 $. Не удовлетворяет условию.
Таким образом, подходит только первая серия корней.
Ответ: $ x = \pi + 2\pi k, k \in \mathbb{Z} $.

Помогло решение? Оставьте отзыв в комментариях ниже.

Присоединяйтесь к Телеграм-группе @top_gdz

Присоединиться

Мы подготовили для вас ответ c подробным объяснением домашего задания по алгебре за 11 класс, для упражнения номер 8.19 расположенного на странице 233 к учебнику серии мгу - школе 2014 года издания для учащихся школ и гимназий.

Теперь на нашем сайте ГДЗ.ТОП вы всегда легко и бесплатно найдёте условие с правильным ответом на вопрос «Как решить ДЗ» и «Как сделать» задание по алгебре к упражнению №8.19 (с. 233), авторов: Никольский (Сергей Михайлович), Потапов (Михаил Константинович), Решетников (Николай Николаевич), Шевкин (Александр Владимирович), ФГОС (старый) базовый и углублённый уровень обучения учебного пособия издательства Просвещение.