Номер 8.36, страница 239 - гдз по алгебре 11 класс учебник Никольский, Потапов

Алгебра, 11 класс Учебник, авторы: Никольский Сергей Михайлович, Потапов Михаил Константинович, Решетников Николай Николаевич, Шевкин Александр Владимирович, издательство Просвещение, Москва, 2014, голубого цвета

Авторы: Никольский С. М., Потапов М. К., Решетников Н. Н., Шевкин А. В.

Тип: Учебник

Серия: мгу - школе

Издательство: Просвещение

Год издания: 2014 - 2026

Уровень обучения: базовый и углублённый

Цвет обложки: голубой в сеточку

ISBN: 978-5-09-087641-4

Допущено Министерством просвещения Российской Федерации

Математика: алгебра и начала математического анализа, геометрия

Популярные ГДЗ в 11 классе

Глава 2. Уравнения. Неравенства. Системы. Параграф 8. Уравнения-следствия - номер 8.36, страница 239.

№8.36 (с. 239)
Условие. №8.36 (с. 239)
скриншот условия
Алгебра, 11 класс Учебник, авторы: Никольский Сергей Михайлович, Потапов Михаил Константинович, Решетников Николай Николаевич, Шевкин Александр Владимирович, издательство Просвещение, Москва, 2014, голубого цвета, страница 239, номер 8.36, Условие

8.36* a) $2 \log_4 (x + 1) = \log_4 (4x + 9);$

б) $2 \log_5 (x - 1) = \log_5 (7 - x);$

в) $\log_7 (x - 2) + \log_7 (x + 3) = \log_7 (2x^2 - 4x);$

г) $\log_6 (x + 2) + \log_6 (x - 3) = \log_6 (2x^2 - 5x - 6);$

д) $\lg (x - 2) - \lg (x + 3) = \lg \frac{x}{5x + 3};$

е) $\lg (x + 2) - \lg (x - 3) = \lg \frac{5x + 4}{x}.$

Решение 1. №8.36 (с. 239)
Алгебра, 11 класс Учебник, авторы: Никольский Сергей Михайлович, Потапов Михаил Константинович, Решетников Николай Николаевич, Шевкин Александр Владимирович, издательство Просвещение, Москва, 2014, голубого цвета, страница 239, номер 8.36, Решение 1
Алгебра, 11 класс Учебник, авторы: Никольский Сергей Михайлович, Потапов Михаил Константинович, Решетников Николай Николаевич, Шевкин Александр Владимирович, издательство Просвещение, Москва, 2014, голубого цвета, страница 239, номер 8.36, Решение 1 (продолжение 2)
Решение 2. №8.36 (с. 239)
Алгебра, 11 класс Учебник, авторы: Никольский Сергей Михайлович, Потапов Михаил Константинович, Решетников Николай Николаевич, Шевкин Александр Владимирович, издательство Просвещение, Москва, 2014, голубого цвета, страница 239, номер 8.36, Решение 2
Алгебра, 11 класс Учебник, авторы: Никольский Сергей Михайлович, Потапов Михаил Константинович, Решетников Николай Николаевич, Шевкин Александр Владимирович, издательство Просвещение, Москва, 2014, голубого цвета, страница 239, номер 8.36, Решение 2 (продолжение 2)
Решение 4. №8.36 (с. 239)

а) $2\log_4(x + 1) = \log_4(4x + 9)$

Сначала определим область допустимых значений (ОДЗ). Аргументы логарифмов должны быть строго положительными:

$\begin{cases} x + 1 > 0 \\ 4x + 9 > 0 \end{cases} \implies \begin{cases} x > -1 \\ x > -\frac{9}{4} \end{cases} \implies x > -1$.

Теперь решим уравнение. Используем свойство логарифма $n\log_a b = \log_a b^n$:

$\log_4((x+1)^2) = \log_4(4x+9)$

Так как основания логарифмов одинаковы, приравниваем их аргументы:

$(x+1)^2 = 4x+9$

$x^2 + 2x + 1 = 4x+9$

$x^2 - 2x - 8 = 0$

Решаем квадратное уравнение. По теореме Виета, сумма корней равна 2, а произведение равно -8. Корни: $x_1 = 4$, $x_2 = -2$.

Проверяем корни на соответствие ОДЗ ($x > -1$):

$x_1 = 4$ удовлетворяет условию, так как $4 > -1$.

$x_2 = -2$ не удовлетворяет условию, так как $-2 < -1$.

Следовательно, решением является только $x=4$.

Ответ: $4$.

б) $2\log_5(x - 1) = \log_5(7 - x)$

ОДЗ:

$\begin{cases} x - 1 > 0 \\ 7 - x > 0 \end{cases} \implies \begin{cases} x > 1 \\ x < 7 \end{cases} \implies 1 < x < 7$.

Преобразуем уравнение, используя свойство $n\log_a b = \log_a b^n$:

$\log_5((x-1)^2) = \log_5(7-x)$

Приравниваем аргументы:

$(x-1)^2 = 7-x$

$x^2 - 2x + 1 = 7-x$

$x^2 - x - 6 = 0$

Решаем квадратное уравнение. По теореме Виета, сумма корней равна 1, а произведение равно -6. Корни: $x_1 = 3$, $x_2 = -2$.

Проверяем корни на соответствие ОДЗ ($1 < x < 7$):

$x_1 = 3$ удовлетворяет условию.

$x_2 = -2$ не удовлетворяет условию.

Ответ: $3$.

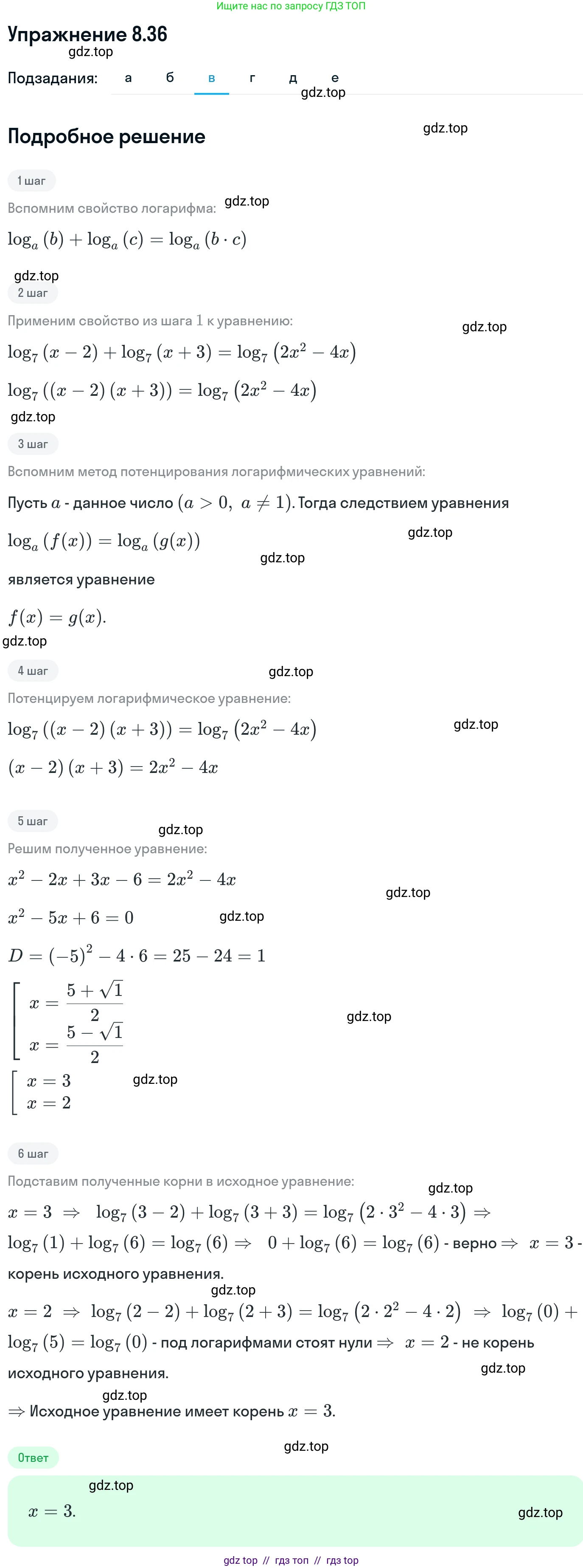
в) $\log_7(x - 2) + \log_7(x + 3) = \log_7(2x^2 - 4x)$

ОДЗ:

$\begin{cases} x - 2 > 0 \\ x + 3 > 0 \\ 2x^2 - 4x > 0 \end{cases} \implies \begin{cases} x > 2 \\ x > -3 \\ 2x(x-2) > 0 \end{cases}$.

Из $2x(x-2) > 0$ следует, что $x < 0$ или $x > 2$. Пересекая все условия, получаем $x > 2$.

Используем свойство суммы логарифмов $\log_a b + \log_a c = \log_a(bc)$:

$\log_7((x-2)(x+3)) = \log_7(2x^2 - 4x)$

Приравниваем аргументы:

$(x-2)(x+3) = 2x^2 - 4x$

$x^2 + x - 6 = 2x^2 - 4x$

$x^2 - 5x + 6 = 0$

Корни квадратного уравнения: $x_1 = 2$, $x_2 = 3$.

Проверяем корни на соответствие ОДЗ ($x > 2$):

$x_1 = 2$ не удовлетворяет условию (нестрогое неравенство).

$x_2 = 3$ удовлетворяет условию.

Ответ: $3$.

г) $\log_6(x + 2) + \log_6(x - 3) = \log_6(2x^2 - 5x - 6)$

ОДЗ:

$\begin{cases} x + 2 > 0 \\ x - 3 > 0 \\ 2x^2 - 5x - 6 > 0 \end{cases} \implies \begin{cases} x > -2 \\ x > 3 \\ 2x^2 - 5x - 6 > 0 \end{cases}$.

Объединяя первые два неравенства, получаем $x>3$. Проверим, выполняется ли третье неравенство при $x>3$. Корни $2x^2 - 5x - 6 = 0$ равны $x = \frac{5 \pm \sqrt{25+48}}{4} = \frac{5 \pm \sqrt{73}}{4}$. Так как $\sqrt{73} \approx 8.54$, то $x_1 \approx -0.885$ и $x_2 \approx 3.385$. Неравенство $2x^2-5x-6 > 0$ выполняется при $x > \frac{5+\sqrt{73}}{4}$. Поскольку $\frac{5+\sqrt{73}}{4} > 3$, ОДЗ: $x > \frac{5+\sqrt{73}}{4}$.

Преобразуем уравнение:

$\log_6((x+2)(x-3)) = \log_6(2x^2 - 5x - 6)$

$(x+2)(x-3) = 2x^2 - 5x - 6$

$x^2 - x - 6 = 2x^2 - 5x - 6$

$x^2 - 4x = 0$

$x(x-4) = 0$

Корни: $x_1 = 0$, $x_2 = 4$.

Проверяем корни на соответствие ОДЗ ($x > \frac{5+\sqrt{73}}{4} \approx 3.385$):

$x_1 = 0$ не удовлетворяет условию.

$x_2 = 4$ удовлетворяет условию, так как $4 > 3.385$.

Ответ: $4$.

д) $\lg(x - 2) - \lg(x + 3) = \lg\frac{x}{5x+3}$

ОДЗ:

$\begin{cases} x - 2 > 0 \\ x + 3 > 0 \\ \frac{x}{5x+3} > 0 \end{cases} \implies \begin{cases} x > 2 \\ x > -3 \\ x \in (-\infty, -3/5) \cup (0, \infty) \end{cases}$.

Пересечение всех условий дает ОДЗ: $x > 2$.

Используем свойство разности логарифмов $\log_a b - \log_a c = \log_a(b/c)$:

$\lg\frac{x-2}{x+3} = \lg\frac{x}{5x+3}$

Приравниваем аргументы:

$\frac{x-2}{x+3} = \frac{x}{5x+3}$

$(x-2)(5x+3) = x(x+3)$

$5x^2 + 3x - 10x - 6 = x^2 + 3x$

$4x^2 - 10x - 6 = 0$

$2x^2 - 5x - 3 = 0$

Решаем квадратное уравнение: $D = (-5)^2 - 4(2)(-3) = 25 + 24 = 49$.

$x = \frac{5 \pm \sqrt{49}}{4} = \frac{5 \pm 7}{4}$.

Корни: $x_1 = \frac{12}{4} = 3$, $x_2 = \frac{-2}{4} = -0.5$.

Проверяем корни на соответствие ОДЗ ($x > 2$):

$x_1 = 3$ удовлетворяет условию.

$x_2 = -0.5$ не удовлетворяет условию.

Ответ: $3$.

е) $\lg(x + 2) - \lg(x - 3) = \lg\frac{5x+4}{x}$

ОДЗ:

$\begin{cases} x + 2 > 0 \\ x - 3 > 0 \\ \frac{5x+4}{x} > 0 \end{cases} \implies \begin{cases} x > -2 \\ x > 3 \\ x \in (-\infty, -4/5) \cup (0, \infty) \end{cases}$.

Пересечение всех условий дает ОДЗ: $x > 3$.

Преобразуем уравнение:

$\lg\frac{x+2}{x-3} = \lg\frac{5x+4}{x}$

Приравниваем аргументы:

$\frac{x+2}{x-3} = \frac{5x+4}{x}$

$x(x+2) = (x-3)(5x+4)$

$x^2 + 2x = 5x^2 + 4x - 15x - 12$

$x^2 + 2x = 5x^2 - 11x - 12$

$4x^2 - 13x - 12 = 0$

Решаем квадратное уравнение: $D = (-13)^2 - 4(4)(-12) = 169 + 192 = 361 = 19^2$.

$x = \frac{13 \pm 19}{8}$.

Корни: $x_1 = \frac{32}{8} = 4$, $x_2 = \frac{-6}{8} = -0.75$.

Проверяем корни на соответствие ОДЗ ($x > 3$):

$x_1 = 4$ удовлетворяет условию.

$x_2 = -0.75$ не удовлетворяет условию.

Ответ: $4$.

Помогло решение? Оставьте отзыв в комментариях ниже.

Присоединяйтесь к Телеграм-группе @top_gdz

Присоединиться

Мы подготовили для вас ответ c подробным объяснением домашего задания по алгебре за 11 класс, для упражнения номер 8.36 расположенного на странице 239 к учебнику серии мгу - школе 2014 года издания для учащихся школ и гимназий.

Теперь на нашем сайте ГДЗ.ТОП вы всегда легко и бесплатно найдёте условие с правильным ответом на вопрос «Как решить ДЗ» и «Как сделать» задание по алгебре к упражнению №8.36 (с. 239), авторов: Никольский (Сергей Михайлович), Потапов (Михаил Константинович), Решетников (Николай Николаевич), Шевкин (Александр Владимирович), ФГОС (старый) базовый и углублённый уровень обучения учебного пособия издательства Просвещение.