Номер 8.7, страница 230 - гдз по алгебре 11 класс учебник Никольский, Потапов

Алгебра, 11 класс Учебник, авторы: Никольский Сергей Михайлович, Потапов Михаил Константинович, Решетников Николай Николаевич, Шевкин Александр Владимирович, издательство Просвещение, Москва, 2014, голубого цвета

Авторы: Никольский С. М., Потапов М. К., Решетников Н. Н., Шевкин А. В.

Тип: Учебник

Серия: мгу - школе

Издательство: Просвещение

Год издания: 2014 - 2026

Уровень обучения: базовый и углублённый

Цвет обложки: голубой в сеточку

ISBN: 978-5-09-087641-4

Допущено Министерством просвещения Российской Федерации

Математика: алгебра и начала математического анализа, геометрия

Популярные ГДЗ в 11 классе

Глава 2. Уравнения. Неравенства. Системы. Параграф 8. Уравнения-следствия - номер 8.7, страница 230.

№8.7 (с. 230)
Условие. №8.7 (с. 230)
скриншот условия
Алгебра, 11 класс Учебник, авторы: Никольский Сергей Михайлович, Потапов Михаил Константинович, Решетников Николай Николаевич, Шевкин Александр Владимирович, издательство Просвещение, Москва, 2014, голубого цвета, страница 230, номер 8.7, Условие

8.7 Возведите уравнение во вторую степень, решите полученное уравнение, проверьте, являются ли корни уравнения-следствия корнями исходного уравнения:

a) $\sqrt{x} = x - 2$;

б) $\sqrt{3x} = 2x - 3$;

в) $\sqrt{2x - 1} = x$;

г) $\sqrt{3x - 2} = x$.

Решение 1. №8.7 (с. 230)
Алгебра, 11 класс Учебник, авторы: Никольский Сергей Михайлович, Потапов Михаил Константинович, Решетников Николай Николаевич, Шевкин Александр Владимирович, издательство Просвещение, Москва, 2014, голубого цвета, страница 230, номер 8.7, Решение 1
Алгебра, 11 класс Учебник, авторы: Никольский Сергей Михайлович, Потапов Михаил Константинович, Решетников Николай Николаевич, Шевкин Александр Владимирович, издательство Просвещение, Москва, 2014, голубого цвета, страница 230, номер 8.7, Решение 1 (продолжение 2)
Решение 2. №8.7 (с. 230)
Алгебра, 11 класс Учебник, авторы: Никольский Сергей Михайлович, Потапов Михаил Константинович, Решетников Николай Николаевич, Шевкин Александр Владимирович, издательство Просвещение, Москва, 2014, голубого цвета, страница 230, номер 8.7, Решение 2
Алгебра, 11 класс Учебник, авторы: Никольский Сергей Михайлович, Потапов Михаил Константинович, Решетников Николай Николаевич, Шевкин Александр Владимирович, издательство Просвещение, Москва, 2014, голубого цвета, страница 230, номер 8.7, Решение 2 (продолжение 2)
Решение 4. №8.7 (с. 230)

a) Исходное уравнение: $\sqrt{x} = x - 2$.

Возведем обе части уравнения в квадрат:

$(\sqrt{x})^2 = (x-2)^2$

$x = x^2 - 4x + 4$

Перенесем все члены в одну сторону, чтобы получить квадратное уравнение:

$x^2 - 5x + 4 = 0$

Решим это уравнение. По теореме Виета, сумма корней равна 5, а их произведение равно 4. Корни уравнения-следствия: $x_1 = 1$ и $x_2 = 4$.

Теперь выполним проверку, подставив найденные корни в исходное уравнение $\sqrt{x} = x - 2$. При возведении в квадрат могут появиться посторонние корни, поэтому проверка обязательна. Также необходимо учесть, что правая часть уравнения $x-2$ должна быть неотрицательной, так как она равна значению арифметического квадратного корня. То есть, $x-2 \ge 0$, откуда $x \ge 2$.

Проверка для $x_1 = 1$:

Условие $x \ge 2$ не выполняется, так как $1 < 2$. Следовательно, $x=1$ является посторонним корнем.

Подстановка в уравнение также показывает неверность: $\sqrt{1} = 1 - 2$, что дает $1 = -1$.

Проверка для $x_2 = 4$:

Условие $x \ge 2$ выполняется, так как $4 \ge 2$.

Подстановка в уравнение: $\sqrt{4} = 4 - 2$, что дает $2 = 2$. Это верное равенство.

Таким образом, корень $x=4$ является корнем исходного уравнения, а корень $x=1$ — посторонний.

Ответ: 4.

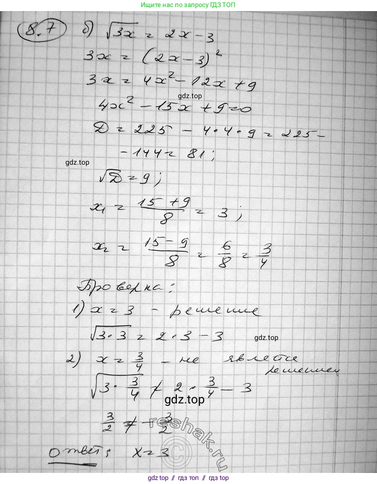
б) Исходное уравнение: $\sqrt{3x} = 2x - 3$.

Возведем обе части уравнения в квадрат:

$(\sqrt{3x})^2 = (2x-3)^2$

$3x = 4x^2 - 12x + 9$

Приведем к стандартному виду квадратного уравнения:

$4x^2 - 15x + 9 = 0$

Решим это уравнение через дискриминант: $D = b^2 - 4ac = (-15)^2 - 4 \cdot 4 \cdot 9 = 225 - 144 = 81 = 9^2$.

Корни уравнения-следствия: $x_{1,2} = \frac{-b \pm \sqrt{D}}{2a} = \frac{15 \pm 9}{8}$.

$x_1 = \frac{15+9}{8} = \frac{24}{8} = 3$

$x_2 = \frac{15-9}{8} = \frac{6}{8} = \frac{3}{4}$

Выполним проверку. Условие неотрицательности правой части: $2x-3 \ge 0$, то есть $x \ge \frac{3}{2}$ или $x \ge 1.5$.

Проверка для $x_1 = 3$:

Условие $x \ge 1.5$ выполняется ($3 \ge 1.5$).

Подстановка в уравнение: $\sqrt{3 \cdot 3} = 2 \cdot 3 - 3$, что дает $\sqrt{9} = 6 - 3$, или $3 = 3$. Это верное равенство.

Проверка для $x_2 = \frac{3}{4}$:

Условие $x \ge 1.5$ не выполняется ($\frac{3}{4} = 0.75 < 1.5$), поэтому $x=\frac{3}{4}$ является посторонним корнем.

Подстановка в уравнение: $\sqrt{3 \cdot \frac{3}{4}} = 2 \cdot \frac{3}{4} - 3$, что дает $\sqrt{\frac{9}{4}} = \frac{3}{2} - 3$, или $\frac{3}{2} = -\frac{3}{2}$. Это неверное равенство.

Таким образом, только $x=3$ является корнем исходного уравнения.

Ответ: 3.

в) Исходное уравнение: $\sqrt{2x - 1} = x$.

Возведем обе части уравнения в квадрат:

$(\sqrt{2x - 1})^2 = x^2$

$2x - 1 = x^2$

Приведем к стандартному виду:

$x^2 - 2x + 1 = 0$

Это формула квадрата разности: $(x - 1)^2 = 0$.

Уравнение-следствие имеет один корень: $x = 1$.

Проверим этот корень. Условие неотрицательности правой части: $x \ge 0$. Также подкоренное выражение должно быть неотрицательным: $2x-1 \ge 0$, то есть $x \ge 0.5$. Оба условия сводятся к $x \ge 0.5$.

Проверка для $x = 1$:

Условие $x \ge 0.5$ выполняется ($1 \ge 0.5$).

Подстановка в уравнение: $\sqrt{2 \cdot 1 - 1} = 1$, что дает $\sqrt{1} = 1$, или $1 = 1$. Это верное равенство.

Следовательно, $x=1$ является корнем исходного уравнения.

Ответ: 1.

г) Исходное уравнение: $\sqrt{3x - 2} = x$.

Возведем обе части уравнения в квадрат:

$(\sqrt{3x - 2})^2 = x^2$

$3x - 2 = x^2$

Приведем к стандартному виду:

$x^2 - 3x + 2 = 0$

Решим это уравнение. По теореме Виета, сумма корней равна 3, а произведение равно 2. Корни уравнения-следствия: $x_1 = 1$ и $x_2 = 2$.

Проверим корни. Условие неотрицательности правой части: $x \ge 0$. Условие для подкоренного выражения: $3x-2 \ge 0$, то есть $x \ge \frac{2}{3}$. Оба условия сводятся к $x \ge \frac{2}{3}$.

Проверка для $x_1 = 1$:

Условие $x \ge \frac{2}{3}$ выполняется ($1 > \frac{2}{3}$).

Подстановка в уравнение: $\sqrt{3 \cdot 1 - 2} = 1$, что дает $\sqrt{1} = 1$, или $1 = 1$. Это верное равенство.

Проверка для $x_2 = 2$:

Условие $x \ge \frac{2}{3}$ выполняется ($2 > \frac{2}{3}$).

Подстановка в уравнение: $\sqrt{3 \cdot 2 - 2} = 2$, что дает $\sqrt{4} = 2$, или $2 = 2$. Это верное равенство.

Оба корня уравнения-следствия являются корнями исходного уравнения.

Ответ: 1; 2.

Помогло решение? Оставьте отзыв в комментариях ниже.

Присоединяйтесь к Телеграм-группе @top_gdz

Присоединиться

Мы подготовили для вас ответ c подробным объяснением домашего задания по алгебре за 11 класс, для упражнения номер 8.7 расположенного на странице 230 к учебнику серии мгу - школе 2014 года издания для учащихся школ и гимназий.

Теперь на нашем сайте ГДЗ.ТОП вы всегда легко и бесплатно найдёте условие с правильным ответом на вопрос «Как решить ДЗ» и «Как сделать» задание по алгебре к упражнению №8.7 (с. 230), авторов: Никольский (Сергей Михайлович), Потапов (Михаил Константинович), Решетников (Николай Николаевич), Шевкин (Александр Владимирович), ФГОС (старый) базовый и углублённый уровень обучения учебного пособия издательства Просвещение.