Номер 10.3, страница 267 - гдз по алгебре 11 класс учебник Никольский, Потапов

Алгебра, 11 класс Учебник, авторы: Никольский Сергей Михайлович, Потапов Михаил Константинович, Решетников Николай Николаевич, Шевкин Александр Владимирович, издательство Просвещение, Москва, 2014, голубого цвета

Авторы: Никольский С. М., Потапов М. К., Решетников Н. Н., Шевкин А. В.

Тип: Учебник

Серия: мгу - школе

Издательство: Просвещение

Год издания: 2014 - 2026

Уровень обучения: базовый и углублённый

Цвет обложки: голубой в сеточку

ISBN: 978-5-09-087641-4

Допущено Министерством просвещения Российской Федерации

Математика: алгебра и начала математического анализа, геометрия

Популярные ГДЗ в 11 классе

Глава 2. Уравнения. Неравенства. Системы. Параграф 10. Равносильность уравнений на множествах - номер 10.3, страница 267.

№10.3 (с. 267)
Условие. №10.3 (с. 267)
скриншот условия
Алгебра, 11 класс Учебник, авторы: Никольский Сергей Михайлович, Потапов Михаил Константинович, Решетников Николай Николаевич, Шевкин Александр Владимирович, издательство Просвещение, Москва, 2014, голубого цвета, страница 267, номер 10.3, Условие
Алгебра, 11 класс Учебник, авторы: Никольский Сергей Михайлович, Потапов Михаил Константинович, Решетников Николай Николаевич, Шевкин Александр Владимирович, издательство Просвещение, Москва, 2014, голубого цвета, страница 267, номер 10.3, Условие (продолжение 2)

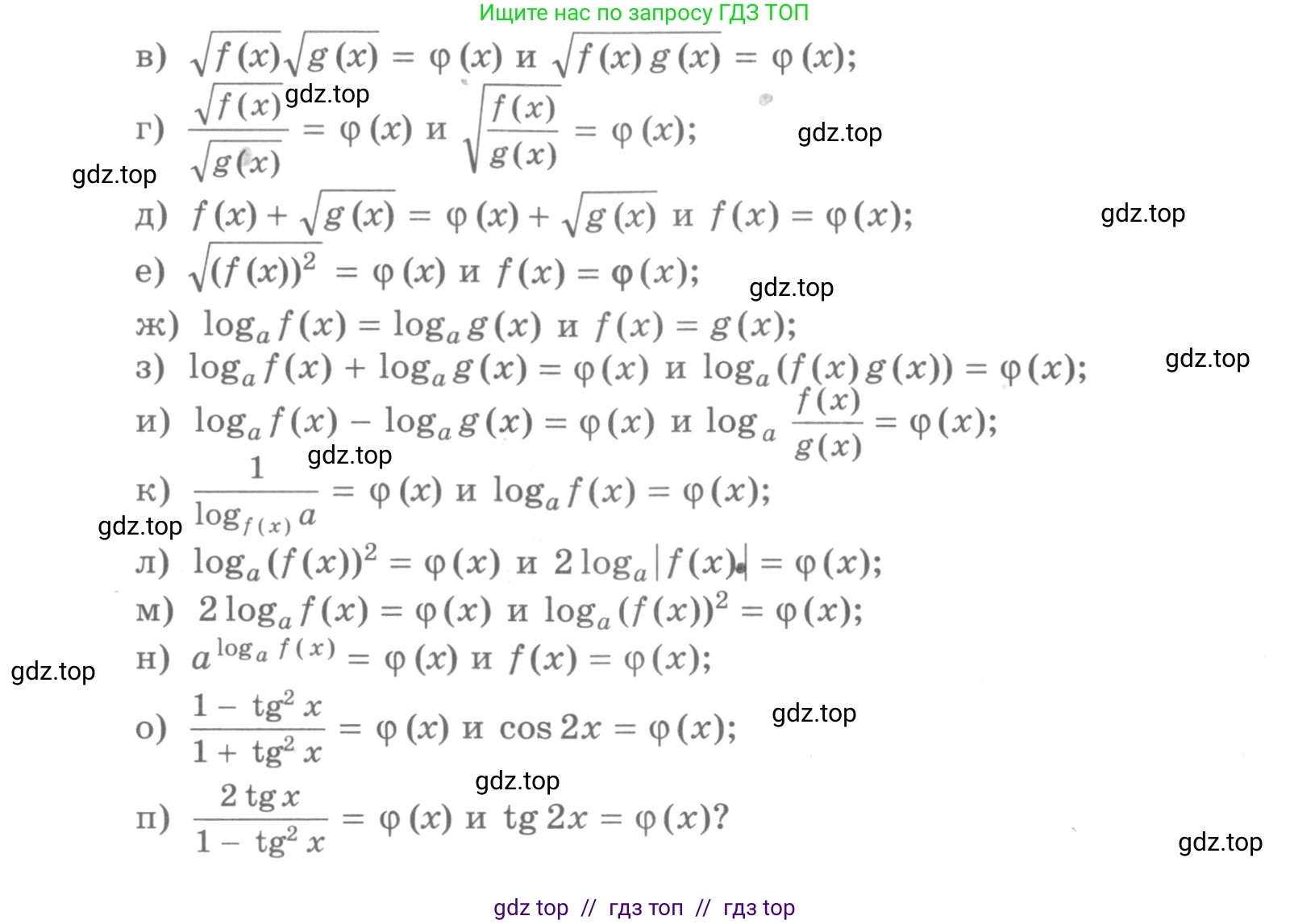
10.3 Какими условиями задается множество M, на котором равносильны ($a > 0$, $a \ne 1$) уравнения:

а) $\frac{f(x)}{g(x)} = \varphi(x)$ и $f(x) = g(x) \varphi(x)$;

б) $\sqrt{f(x)} = \varphi(x)$ и $f(x) = \varphi^2(x)$;

в) $\sqrt{f(x)}\sqrt{g(x)} = \varphi(x)$ и $\sqrt{f(x) g(x)} = \varphi(x)$;

г) $\frac{\sqrt{f(x)}}{\sqrt{g(x)}} = \varphi(x)$ и $\sqrt{\frac{f(x)}{g(x)}} = \varphi(x)$;

д) $f(x) + \sqrt{g(x)} = \varphi(x) + \sqrt{g(x)}$ и $f(x) = \varphi(x)$;

е) $(\sqrt{f(x)})^2 = \varphi(x)$ и $f(x) = \varphi(x)$;

ж) $\log_a f(x) = \log_a g(x)$ и $f(x) = g(x)$;

з) $\log_a f(x) + \log_a g(x) = \varphi(x)$ и $\log_a (f(x)g(x)) = \varphi(x)$;

и) $\log_a f(x) - \log_a g(x) = \varphi(x)$ и $\log_a \frac{f(x)}{g(x)} = \varphi(x)$;

к) $\frac{1}{\log_{f(x)} a} = \varphi(x)$ и $\log_a f(x) = \varphi(x)$;

л) $\log_a (f(x))^2 = \varphi(x)$ и $2\log_a |f(x)| = \varphi(x)$;

м) $2\log_a f(x) = \varphi(x)$ и $\log_a (f(x))^2 = \varphi(x)$;

н) $a^{\log_a f(x)} = \varphi(x)$ и $f(x) = \varphi(x)$;

о) $\frac{1 - \operatorname{tg}^2 x}{1 + \operatorname{tg}^2 x} = \varphi(x)$ и $\cos 2x = \varphi(x)$;

п) $\frac{2 \operatorname{tg} x}{1 - \operatorname{tg}^2 x} = \varphi(x)$ и $\operatorname{tg} 2x = \varphi(x)$?

Решение 1. №10.3 (с. 267)
Алгебра, 11 класс Учебник, авторы: Никольский Сергей Михайлович, Потапов Михаил Константинович, Решетников Николай Николаевич, Шевкин Александр Владимирович, издательство Просвещение, Москва, 2014, голубого цвета, страница 267, номер 10.3, Решение 1
Алгебра, 11 класс Учебник, авторы: Никольский Сергей Михайлович, Потапов Михаил Константинович, Решетников Николай Николаевич, Шевкин Александр Владимирович, издательство Просвещение, Москва, 2014, голубого цвета, страница 267, номер 10.3, Решение 1 (продолжение 2)
Решение 2. №10.3 (с. 267)
Алгебра, 11 класс Учебник, авторы: Никольский Сергей Михайлович, Потапов Михаил Константинович, Решетников Николай Николаевич, Шевкин Александр Владимирович, издательство Просвещение, Москва, 2014, голубого цвета, страница 267, номер 10.3, Решение 2
Решение 4. №10.3 (с. 267)

Два уравнения называются равносильными на множестве $M$, если на этом множестве они имеют одинаковые множества решений. Чтобы найти множество $M$, на котором данная пара уравнений равносильна, необходимо сравнить их области допустимых значений (ОДЗ) и преобразования, связывающие их.

а)

Первое уравнение $\frac{f(x)}{g(x)} = \varphi(x)$ имеет область допустимых значений (ОДЗ), заданную условием $g(x) \neq 0$. На этой области его можно преобразовать во второе уравнение $f(x) = g(x) \varphi(x)$ путем умножения обеих частей на $g(x)$. Второе уравнение определено и в тех случаях, когда $g(x)=0$, что может приводить к появлению посторонних корней, которых нет у первого уравнения. Для равносильности необходимо, чтобы множества решений совпадали, что достигается при ограничении на ОДЗ первого уравнения.

Ответ: Множество $M$ задается условием $g(x) \neq 0$.

б)

Первое уравнение $\sqrt{f(x)} = \varphi(x)$. Его ОДЗ: $f(x) \ge 0$ (подкоренное выражение) и $\varphi(x) \ge 0$ (так как арифметический квадратный корень неотрицателен). Второе уравнение $f(x) = \varphi^2(x)$. При возведении первого уравнения в квадрат получается второе. Это преобразование является равносильным только при условии $\varphi(x) \ge 0$. Для решений второго уравнения условие $f(x) \ge 0$ выполняется автоматически, так как $f(x)=\varphi^2(x) \ge 0$. Таким образом, для равносильности необходимо дополнительное условие $\varphi(x) \ge 0$.

Ответ: Множество $M$ задается условием $\varphi(x) \ge 0$.

в)

Первое уравнение $\sqrt{f(x)}\sqrt{g(x)} = \varphi(x)$. ОДЗ: $f(x) \ge 0$ и $g(x) \ge 0$.Второе уравнение $\sqrt{f(x)g(x)} = \varphi(x)$. ОДЗ: $f(x)g(x) \ge 0$.Область определения второго уравнения шире: она включает случай, когда $f(x) \le 0$ и $g(x) \le 0$. На ОДЗ первого уравнения тождество $\sqrt{f(x)}\sqrt{g(x)} = \sqrt{f(x)g(x)}$ верно, и уравнения совпадают. Для равносильности уравнений необходимо ограничиться ОДЗ первого, более "узкого", уравнения.

Ответ: Множество $M$ задается условиями $f(x) \ge 0$ и $g(x) \ge 0$.

г)

Первое уравнение $\frac{\sqrt{f(x)}}{\sqrt{g(x)}} = \varphi(x)$. ОДЗ: $f(x) \ge 0$ и $g(x) > 0$.Второе уравнение $\sqrt{\frac{f(x)}{g(x)}} = \varphi(x)$. ОДЗ: $\frac{f(x)}{g(x)} \ge 0$ (что включает $g(x) \neq 0$).Область определения второго уравнения шире: она включает случай, когда $f(x) \le 0$ и $g(x) < 0$. На ОДЗ первого уравнения тождество $\frac{\sqrt{f(x)}}{\sqrt{g(x)}} = \sqrt{\frac{f(x)}{g(x)}}$ верно. Для равносильности уравнений необходимо работать на множестве, где выполняются условия ОДЗ первого уравнения.

Ответ: Множество $M$ задается условиями $f(x) \ge 0$ и $g(x) > 0$.

д)

Первое уравнение $f(x) + \sqrt{g(x)} = \varphi(x) + \sqrt{g(x)}$. ОДЗ: $g(x) \ge 0$. На этой области можно вычесть $\sqrt{g(x)}$ из обеих частей, получая второе уравнение $f(x) = \varphi(x)$. Второе уравнение не имеет ограничения на $g(x)$. Для равносильности необходимо, чтобы решения второго уравнения удовлетворяли ОДЗ первого.

Ответ: Множество $M$ задается условием $g(x) \ge 0$.

е)

Первое уравнение $(\sqrt{f(x)})^2 = \varphi(x)$. ОДЗ: $f(x) \ge 0$. На этой области $(\sqrt{f(x)})^2 = f(x)$, и уравнение превращается во второе: $f(x) = \varphi(x)$. Второе уравнение само по себе не требует неотрицательности $f(x)$. Для равносильности необходимо, чтобы решения второго уравнения удовлетворяли ОДЗ первого.

Ответ: Множество $M$ задается условием $f(x) \ge 0$.

ж)

Первое уравнение $\log_a f(x) = \log_a g(x)$. ОДЗ: $f(x) > 0$ и $g(x) > 0$. На этой области в силу монотонности логарифмической функции уравнение равносильно второму уравнению $f(x) = g(x)$. Второе уравнение может иметь решения, для которых $f(x)$ и $g(x)$ не положительны. Для равносильности необходимо ограничиться ОДЗ первого уравнения.

Ответ: Множество $M$ задается условиями $f(x) > 0$ и $g(x) > 0$.

з)

Первое уравнение $\log_a f(x) + \log_a g(x) = \varphi(x)$. ОДЗ: $f(x) > 0$ и $g(x) > 0$.Второе уравнение $\log_a (f(x)g(x)) = \varphi(x)$. ОДЗ: $f(x)g(x) > 0$.ОДЗ второго уравнения шире, так как включает случай $f(x) < 0$ и $g(x) < 0$. На ОДЗ первого уравнения свойство логарифма $\log_a f(x) + \log_a g(x) = \log_a(f(x)g(x))$ выполняется, и уравнения совпадают. Для равносильности нужно работать на ОДЗ первого уравнения.

Ответ: Множество $M$ задается условиями $f(x) > 0$ и $g(x) > 0$.

и)

Первое уравнение $\log_a f(x) - \log_a g(x) = \varphi(x)$. ОДЗ: $f(x) > 0$ и $g(x) > 0$.Второе уравнение $\log_a \frac{f(x)}{g(x)} = \varphi(x)$. ОДЗ: $\frac{f(x)}{g(x)} > 0$.Ситуация аналогична предыдущему пункту. ОДЗ второго уравнения шире, так как включает случай $f(x) < 0$ и $g(x) < 0$. На ОДЗ первого уравнения свойство логарифма $\log_a f(x) - \log_a g(x) = \log_a \frac{f(x)}{g(x)}$ выполняется. Равносильность достигается на ОДЗ первого уравнения.

Ответ: Множество $M$ задается условиями $f(x) > 0$ и $g(x) > 0$.

к)

Первое уравнение $\frac{1}{\log_{f(x)} a} = \varphi(x)$. ОДЗ: основание логарифма $f(x) > 0$ и $f(x) \neq 1$.Второе уравнение $\log_a f(x) = \varphi(x)$. ОДЗ: $f(x) > 0$.На ОДЗ первого уравнения по формуле перехода к новому основанию $\frac{1}{\log_{f(x)} a} = \log_a f(x)$, поэтому уравнения совпадают. Однако ОДЗ второго уравнения шире, так как оно определено при $f(x)=1$ (тогда $\log_a 1 = 0$), в то время как первое уравнение при $f(x)=1$ не определено. Для равносильности нужно работать на ОДЗ первого уравнения.

Ответ: Множество $M$ задается условиями $f(x) > 0$ и $f(x) \neq 1$.

л)

Первое уравнение $\log_a ((f(x))^2) = \varphi(x)$. ОДЗ: $(f(x))^2 > 0$, что равносильно $f(x) \neq 0$.Второе уравнение $2\log_a |f(x)| = \varphi(x)$. ОДЗ: $|f(x)| > 0$, что также равносильно $f(x) \neq 0$.Тождество $\log_a(b^2) = 2\log_a|b|$ верно для всех $b \neq 0$. Так как области определения уравнений и сами выражения на этой области совпадают, уравнения равносильны на всей их общей области определения.

Ответ: Множество $M$ задается условием $f(x) \neq 0$.

м)

Первое уравнение $2\log_a f(x) = \varphi(x)$. ОДЗ: $f(x) > 0$.Второе уравнение $\log_a ((f(x))^2) = \varphi(x)$. ОДЗ: $f(x) \neq 0$.ОДЗ второго уравнения шире, так как включает отрицательные значения $f(x)$. На ОДЗ первого уравнения ($f(x)>0$) верно тождество $2\log_a f(x) = \log_a((f(x))^2)$, и уравнения совпадают. Для равносильности нужно ограничиться ОДЗ первого уравнения.

Ответ: Множество $M$ задается условием $f(x) > 0$.

н)

Первое уравнение $a^{\log_a f(x)} = \varphi(x)$. ОДЗ: $f(x) > 0$. На этой области по основному логарифмическому тождеству $a^{\log_a f(x)} = f(x)$, и уравнение превращается во второе: $f(x) = \varphi(x)$. Второе уравнение не требует положительности $f(x)$. Для равносильности необходимо, чтобы решения второго уравнения удовлетворяли ОДЗ первого.

Ответ: Множество $M$ задается условием $f(x) > 0$.

о)

Первое уравнение $\frac{1 - \tg^2 x}{1 + \tg^2 x} = \varphi(x)$. ОДЗ: $\tg x$ должен быть определен, то есть $x \neq \frac{\pi}{2} + k\pi, k \in \mathbb{Z}$.Второе уравнение $\cos 2x = \varphi(x)$ определено для всех $x \in \mathbb{R}$.Тригонометрическое тождество $\cos 2x = \frac{1 - \tg^2 x}{1 + \tg^2 x}$ верно на всей области определения $\tg x$. Таким образом, уравнения равносильны на ОДЗ первого уравнения.

Ответ: Множество $M$ задается условием $x \neq \frac{\pi}{2} + k\pi, k \in \mathbb{Z}$ (или $\cos x \neq 0$).

п)

Первое уравнение $\frac{2 \tg x}{1 - \tg^2 x} = \varphi(x)$. ОДЗ: $\tg x$ должен быть определен ($x \neq \frac{\pi}{2} + k\pi, k \in \mathbb{Z}$) и знаменатель не равен нулю $1 - \tg^2 x \neq 0$ ($x \neq \frac{\pi}{4} + \frac{n\pi}{2}, n \in \mathbb{Z}$).Второе уравнение $\tg 2x = \varphi(x)$. ОДЗ: $2x \neq \frac{\pi}{2} + m\pi \implies x \neq \frac{\pi}{4} + \frac{m\pi}{2}, m \in \mathbb{Z}$.ОДЗ второго уравнения шире, так как $\tg 2x$ определен при $x = \frac{\pi}{2} + k\pi$ (равен 0), а $\tg x$ в этих точках не определен. Тождество $\tg 2x = \frac{2 \tg x}{1 - \tg^2 x}$ верно на ОДЗ первого уравнения. Следовательно, для равносильности необходимо работать на ОДЗ первого уравнения.

Ответ: Множество $M$ задается условиями $x \neq \frac{\pi}{2} + k\pi, k \in \mathbb{Z}$ и $x \neq \frac{\pi}{4} + \frac{n\pi}{2}, n \in \mathbb{Z}$ (или $\cos x \neq 0$ и $\cos 2x \neq 0$).

Помогло решение? Оставьте отзыв в комментариях ниже.

Присоединяйтесь к Телеграм-группе @top_gdz

Присоединиться

Мы подготовили для вас ответ c подробным объяснением домашего задания по алгебре за 11 класс, для упражнения номер 10.3 расположенного на странице 267 к учебнику серии мгу - школе 2014 года издания для учащихся школ и гимназий.

Теперь на нашем сайте ГДЗ.ТОП вы всегда легко и бесплатно найдёте условие с правильным ответом на вопрос «Как решить ДЗ» и «Как сделать» задание по алгебре к упражнению №10.3 (с. 267), авторов: Никольский (Сергей Михайлович), Потапов (Михаил Константинович), Решетников (Николай Николаевич), Шевкин (Александр Владимирович), ФГОС (старый) базовый и углублённый уровень обучения учебного пособия издательства Просвещение.