Номер 12.3, страница 307 - гдз по алгебре 11 класс учебник Никольский, Потапов

Алгебра, 11 класс Учебник, авторы: Никольский Сергей Михайлович, Потапов Михаил Константинович, Решетников Николай Николаевич, Шевкин Александр Владимирович, издательство Просвещение, Москва, 2014, голубого цвета

Авторы: Никольский С. М., Потапов М. К., Решетников Н. Н., Шевкин А. В.

Тип: Учебник

Серия: мгу - школе

Издательство: Просвещение

Год издания: 2014 - 2026

Уровень обучения: базовый и углублённый

Цвет обложки: голубой в сеточку

ISBN: 978-5-09-087641-4

Допущено Министерством просвещения Российской Федерации

Математика: алгебра и начала математического анализа, геометрия

Популярные ГДЗ в 11 классе

Глава 2. Уравнения. Неравенства. Системы. Параграф 12. Метод промежутков для уравнений и неравенств - номер 12.3, страница 307.

№12.3 (с. 307)
Условие. №12.3 (с. 307)
скриншот условия
Алгебра, 11 класс Учебник, авторы: Никольский Сергей Михайлович, Потапов Михаил Константинович, Решетников Николай Николаевич, Шевкин Александр Владимирович, издательство Просвещение, Москва, 2014, голубого цвета, страница 307, номер 12.3, Условие

12.3 а) $|x^2 + 4x + 2| = x + 2$;

б) $|x^2 + 6x + 7| = -x - 3$;

В) $|x^2 - 2x - 2| = -x + 4$;

Г) $|x^2 - 4x + 1| = x + 1$.

Решение 1. №12.3 (с. 307)
Алгебра, 11 класс Учебник, авторы: Никольский Сергей Михайлович, Потапов Михаил Константинович, Решетников Николай Николаевич, Шевкин Александр Владимирович, издательство Просвещение, Москва, 2014, голубого цвета, страница 307, номер 12.3, Решение 1
Алгебра, 11 класс Учебник, авторы: Никольский Сергей Михайлович, Потапов Михаил Константинович, Решетников Николай Николаевич, Шевкин Александр Владимирович, издательство Просвещение, Москва, 2014, голубого цвета, страница 307, номер 12.3, Решение 1 (продолжение 2)
Решение 2. №12.3 (с. 307)
Алгебра, 11 класс Учебник, авторы: Никольский Сергей Михайлович, Потапов Михаил Константинович, Решетников Николай Николаевич, Шевкин Александр Владимирович, издательство Просвещение, Москва, 2014, голубого цвета, страница 307, номер 12.3, Решение 2
Алгебра, 11 класс Учебник, авторы: Никольский Сергей Михайлович, Потапов Михаил Константинович, Решетников Николай Николаевич, Шевкин Александр Владимирович, издательство Просвещение, Москва, 2014, голубого цвета, страница 307, номер 12.3, Решение 2 (продолжение 2)
Решение 3. №12.3 (с. 307)
Алгебра, 11 класс Учебник, авторы: Никольский Сергей Михайлович, Потапов Михаил Константинович, Решетников Николай Николаевич, Шевкин Александр Владимирович, издательство Просвещение, Москва, 2014, голубого цвета, страница 307, номер 12.3, Решение 3
Решение 4. №12.3 (с. 307)

а) $|x^2 + 4x + 2| = x + 2$

Уравнение вида $|f(x)| = g(x)$ равносильно системе, в которой выражение в правой части должно быть неотрицательным, а подмодульное выражение равно выражению в правой части или противоположно ему.

$\begin{cases} x+2 \ge 0 \\ \left[ \begin{array}{l} x^2+4x+2 = x+2 \\ x^2+4x+2 = -(x+2) \end{array} \right. \end{cases}$

Из первого условия $x+2 \ge 0$ получаем область допустимых значений (ОДЗ): $x \ge -2$.

Решим каждое уравнение из совокупности:

1) $x^2 + 4x + 2 = x + 2$

$x^2 + 3x = 0$

$x(x+3) = 0$, откуда получаем корни $x_1 = 0$, $x_2 = -3$.

2) $x^2 + 4x + 2 = -(x + 2)$

$x^2 + 4x + 2 = -x - 2$

$x^2 + 5x + 4 = 0$. По теореме Виета, корни этого уравнения $x_3 = -1$, $x_4 = -4$.

Теперь отберем корни, которые удовлетворяют условию ОДЗ $x \ge -2$.

Корень $x_1 = 0$ подходит, так как $0 \ge -2$.

Корень $x_2 = -3$ не подходит, так как $-3 < -2$.

Корень $x_3 = -1$ подходит, так как $-1 \ge -2$.

Корень $x_4 = -4$ не подходит, так как $-4 < -2$.

Ответ: $-1; 0$.

б) $|x^2 + 6x + 7| = -x - 3$

Уравнение равносильно системе:

$\begin{cases} -x-3 \ge 0 \\ \left[ \begin{array}{l} x^2+6x+7 = -x-3 \\ x^2+6x+7 = -(-x-3) \end{array} \right. \end{cases}$

Из условия $-x-3 \ge 0$ получаем ОДЗ: $-x \ge 3$, то есть $x \le -3$.

Решим уравнения из совокупности:

1) $x^2 + 6x + 7 = -x - 3$

$x^2 + 7x + 10 = 0$. Корни $x_1 = -2$, $x_2 = -5$.

2) $x^2 + 6x + 7 = -(-x - 3)$

$x^2 + 6x + 7 = x + 3$

$x^2 + 5x + 4 = 0$. Корни $x_3 = -1$, $x_4 = -4$.

Отберем корни, удовлетворяющие условию $x \le -3$.

Корень $x_1 = -2$ не подходит, так как $-2 > -3$.

Корень $x_2 = -5$ подходит, так как $-5 \le -3$.

Корень $x_3 = -1$ не подходит, так как $-1 > -3$.

Корень $x_4 = -4$ подходит, так как $-4 \le -3$.

Ответ: $-5; -4$.

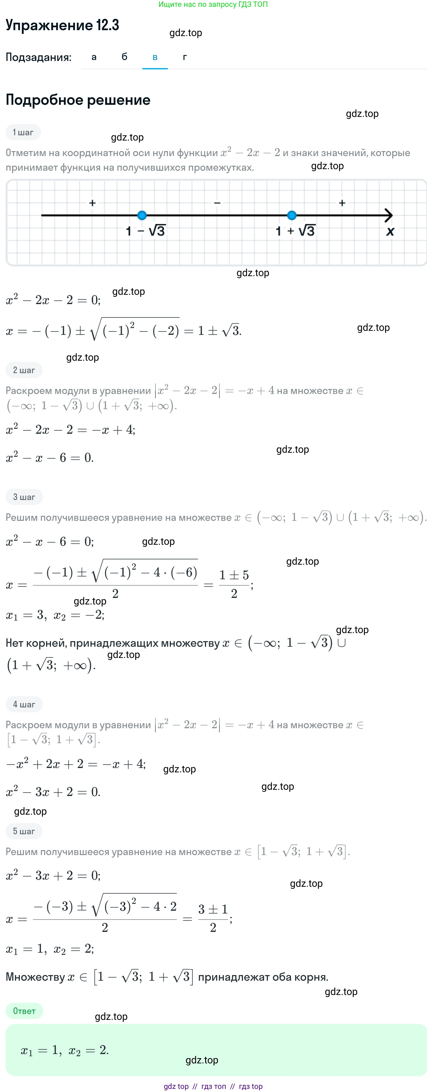
в) $|x^2 - 2x - 2| = -x + 4$

Уравнение равносильно системе:

$\begin{cases} -x+4 \ge 0 \\ \left[ \begin{array}{l} x^2-2x-2 = -x+4 \\ x^2-2x-2 = -(-x+4) \end{array} \right. \end{cases}$

Из условия $-x+4 \ge 0$ получаем ОДЗ: $4 \ge x$, то есть $x \le 4$.

Решим уравнения из совокупности:

1) $x^2 - 2x - 2 = -x + 4$

$x^2 - x - 6 = 0$. Корни $x_1 = 3$, $x_2 = -2$.

2) $x^2 - 2x - 2 = -(-x + 4)$

$x^2 - 2x - 2 = x - 4$

$x^2 - 3x + 2 = 0$. Корни $x_3 = 1$, $x_4 = 2$.

Проверим все найденные корни на соответствие ОДЗ $x \le 4$.

Корень $x_1 = 3$ подходит ($3 \le 4$).

Корень $x_2 = -2$ подходит ($-2 \le 4$).

Корень $x_3 = 1$ подходит ($1 \le 4$).

Корень $x_4 = 2$ подходит ($2 \le 4$).

Все четыре корня являются решениями.

Ответ: $-2; 1; 2; 3$.

г) $|x^2 - 4x + 1| = x + 1$

Уравнение равносильно системе:

$\begin{cases} x+1 \ge 0 \\ \left[ \begin{array}{l} x^2-4x+1 = x+1 \\ x^2-4x+1 = -(x+1) \end{array} \right. \end{cases}$

Из условия $x+1 \ge 0$ получаем ОДЗ: $x \ge -1$.

Решим уравнения из совокупности:

1) $x^2 - 4x + 1 = x + 1$

$x^2 - 5x = 0$

$x(x-5) = 0$. Корни $x_1 = 0$, $x_2 = 5$.

2) $x^2 - 4x + 1 = -(x + 1)$

$x^2 - 4x + 1 = -x - 1$

$x^2 - 3x + 2 = 0$. Корни $x_3 = 1$, $x_4 = 2$.

Проверим все найденные корни на соответствие ОДЗ $x \ge -1$.

Корень $x_1 = 0$ подходит ($0 \ge -1$).

Корень $x_2 = 5$ подходит ($5 \ge -1$).

Корень $x_3 = 1$ подходит ($1 \ge -1$).

Корень $x_4 = 2$ подходит ($2 \ge -1$).

Все четыре корня являются решениями.

Ответ: $0; 1; 2; 5$.

Помогло решение? Оставьте отзыв в комментариях ниже.

Присоединяйтесь к Телеграм-группе @top_gdz

Присоединиться

Мы подготовили для вас ответ c подробным объяснением домашего задания по алгебре за 11 класс, для упражнения номер 12.3 расположенного на странице 307 к учебнику серии мгу - школе 2014 года издания для учащихся школ и гимназий.

Теперь на нашем сайте ГДЗ.ТОП вы всегда легко и бесплатно найдёте условие с правильным ответом на вопрос «Как решить ДЗ» и «Как сделать» задание по алгебре к упражнению №12.3 (с. 307), авторов: Никольский (Сергей Михайлович), Потапов (Михаил Константинович), Решетников (Николай Николаевич), Шевкин (Александр Владимирович), ФГОС (старый) базовый и углублённый уровень обучения учебного пособия издательства Просвещение.