Номер 13.8, страница 319 - гдз по алгебре 11 класс учебник Никольский, Потапов

Алгебра, 11 класс Учебник, авторы: Никольский Сергей Михайлович, Потапов Михаил Константинович, Решетников Николай Николаевич, Шевкин Александр Владимирович, издательство Просвещение, Москва, 2014, голубого цвета

Авторы: Никольский С. М., Потапов М. К., Решетников Н. Н., Шевкин А. В.

Тип: Учебник

Серия: мгу - школе

Издательство: Просвещение

Год издания: 2014 - 2026

Уровень обучения: базовый и углублённый

Цвет обложки: голубой в сеточку

ISBN: 978-5-09-087641-4

Допущено Министерством просвещения Российской Федерации

Математика: алгебра и начала математического анализа, геометрия

Популярные ГДЗ в 11 классе

Глава 2. Уравнения. Неравенства. Системы. Параграф 13. Использование свойств функций при решении уравнений и неравенств - номер 13.8, страница 319.

№13.8 (с. 319)
Условие. №13.8 (с. 319)
скриншот условия
Алгебра, 11 класс Учебник, авторы: Никольский Сергей Михайлович, Потапов Михаил Константинович, Решетников Николай Николаевич, Шевкин Александр Владимирович, издательство Просвещение, Москва, 2014, голубого цвета, страница 319, номер 13.8, Условие

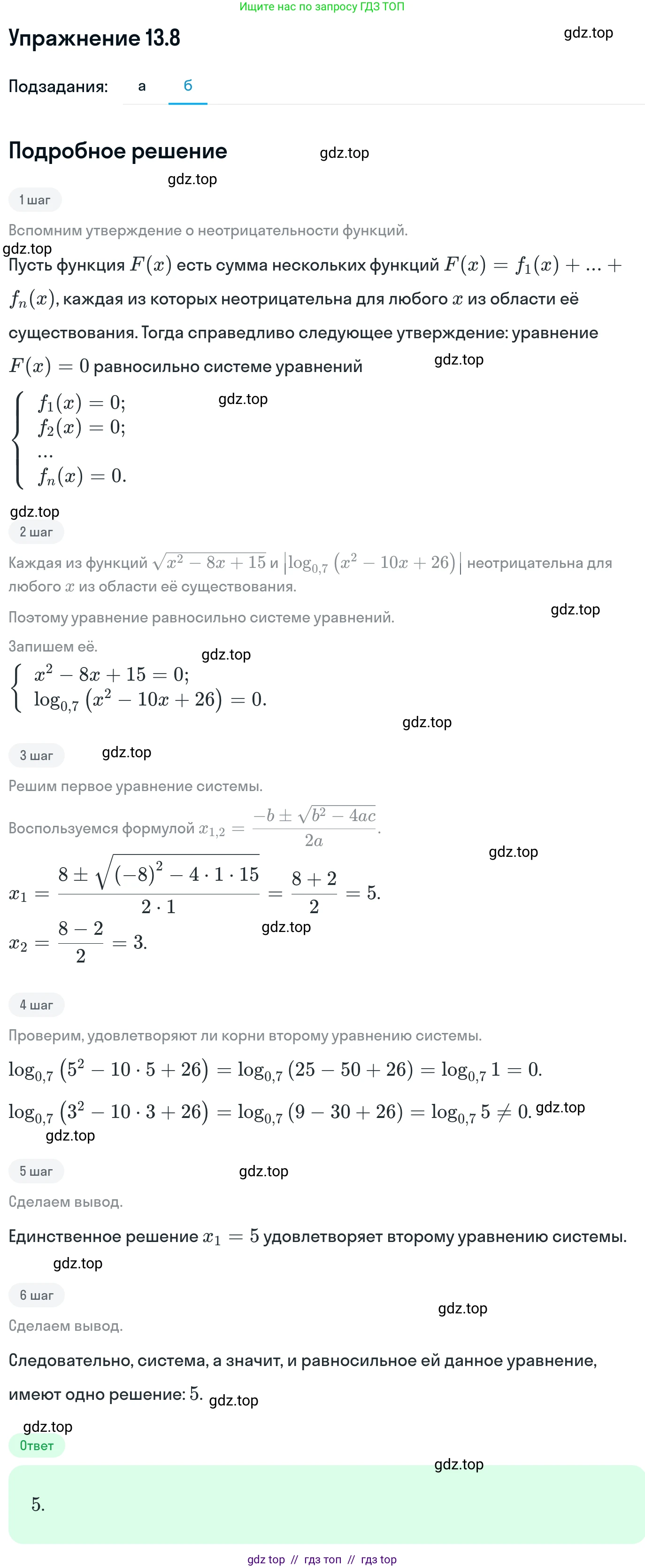
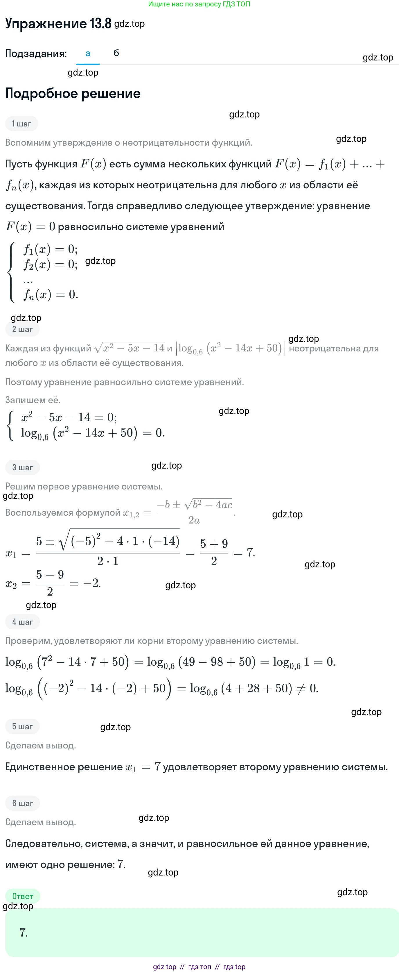
13.8 а) $\sqrt{x^2 - 5x - 14} + |\log_{0.6}(x^2 - 14x + 50)| = 0;$

б) $\sqrt{x^2 - 8x + 15} + |\log_{0.7}(x^2 - 10x + 26)| = 0.$

Решение 1. №13.8 (с. 319)
Алгебра, 11 класс Учебник, авторы: Никольский Сергей Михайлович, Потапов Михаил Константинович, Решетников Николай Николаевич, Шевкин Александр Владимирович, издательство Просвещение, Москва, 2014, голубого цвета, страница 319, номер 13.8, Решение 1
Алгебра, 11 класс Учебник, авторы: Никольский Сергей Михайлович, Потапов Михаил Константинович, Решетников Николай Николаевич, Шевкин Александр Владимирович, издательство Просвещение, Москва, 2014, голубого цвета, страница 319, номер 13.8, Решение 1 (продолжение 2)
Решение 2. №13.8 (с. 319)
Алгебра, 11 класс Учебник, авторы: Никольский Сергей Михайлович, Потапов Михаил Константинович, Решетников Николай Николаевич, Шевкин Александр Владимирович, издательство Просвещение, Москва, 2014, голубого цвета, страница 319, номер 13.8, Решение 2
Решение 4. №13.8 (с. 319)
а)

Дано уравнение $\sqrt{x^2 - 5x - 14} + |\log_{0.6}(x^2 - 14x + 50)| = 0$.

Левая часть уравнения представляет собой сумму двух неотрицательных слагаемых: квадратного корня ($\sqrt{A} \ge 0$) и модуля ($|B| \ge 0$). Сумма двух неотрицательных выражений равна нулю тогда и только тогда, когда каждое из этих выражений равно нулю.

Следовательно, данное уравнение равносильно системе уравнений: $$ \begin{cases} \sqrt{x^2 - 5x - 14} = 0 \\ |\log_{0.6}(x^2 - 14x + 50)| = 0 \end{cases} $$

Упростим систему, возведя в квадрат первое уравнение и убрав модуль во втором: $$ \begin{cases} x^2 - 5x - 14 = 0 \\ \log_{0.6}(x^2 - 14x + 50) = 0 \end{cases} $$

Решим первое уравнение системы: $x^2 - 5x - 14 = 0$. Найдем дискриминант: $D = b^2 - 4ac = (-5)^2 - 4 \cdot 1 \cdot (-14) = 25 + 56 = 81 = 9^2$. Корни уравнения: $x_1 = \frac{-b - \sqrt{D}}{2a} = \frac{5 - 9}{2 \cdot 1} = \frac{-4}{2} = -2$. $x_2 = \frac{-b + \sqrt{D}}{2a} = \frac{5 + 9}{2 \cdot 1} = \frac{14}{2} = 7$.

Решим второе уравнение системы: $\log_{0.6}(x^2 - 14x + 50) = 0$. Логарифм равен нулю, когда его аргумент равен единице. При этом необходимо, чтобы аргумент логарифма был положителен, что выполняется, так как $1 > 0$. $x^2 - 14x + 50 = 1$. $x^2 - 14x + 49 = 0$. Это полный квадрат: $(x - 7)^2 = 0$. Отсюда получаем единственный корень: $x = 7$.

Теперь необходимо найти общее решение для обоих уравнений. Первое уравнение имеет корни $x = -2$ и $x = 7$. Второе уравнение имеет корень $x = 7$. Общим решением системы, а следовательно и исходного уравнения, является $x = 7$.

Ответ: 7

б)

Дано уравнение $\sqrt{x^2 - 8x + 15} + |\log_{0.7}(x^2 - 10x + 26)| = 0$.

Как и в предыдущем пункте, сумма неотрицательных выражений (квадратного корня и модуля) равна нулю только в том случае, если оба выражения равны нулю.

Это приводит к системе уравнений: $$ \begin{cases} \sqrt{x^2 - 8x + 15} = 0 \\ |\log_{0.7}(x^2 - 10x + 26)| = 0 \end{cases} $$

Упростим систему: $$ \begin{cases} x^2 - 8x + 15 = 0 \\ \log_{0.7}(x^2 - 10x + 26) = 0 \end{cases} $$

Решим первое уравнение: $x^2 - 8x + 15 = 0$. По теореме Виета, сумма корней равна 8, а их произведение равно 15. Подбором находим корни: $x_1 = 3$ и $x_2 = 5$.

Решим второе уравнение: $\log_{0.7}(x^2 - 10x + 26) = 0$. Аргумент логарифма должен быть равен единице: $x^2 - 10x + 26 = 1$. $x^2 - 10x + 25 = 0$. Это полный квадрат: $(x - 5)^2 = 0$. Следовательно, единственный корень этого уравнения: $x = 5$.

Сравниваем решения обоих уравнений. Первое уравнение имеет корни $x = 3$ и $x = 5$. Второе уравнение имеет корень $x = 5$. Общим решением системы, а значит и исходного уравнения, является $x = 5$.

Ответ: 5

Помогло решение? Оставьте отзыв в комментариях ниже.

Присоединяйтесь к Телеграм-группе @top_gdz

Присоединиться

Мы подготовили для вас ответ c подробным объяснением домашего задания по алгебре за 11 класс, для упражнения номер 13.8 расположенного на странице 319 к учебнику серии мгу - школе 2014 года издания для учащихся школ и гимназий.

Теперь на нашем сайте ГДЗ.ТОП вы всегда легко и бесплатно найдёте условие с правильным ответом на вопрос «Как решить ДЗ» и «Как сделать» задание по алгебре к упражнению №13.8 (с. 319), авторов: Никольский (Сергей Михайлович), Потапов (Михаил Константинович), Решетников (Николай Николаевич), Шевкин (Александр Владимирович), ФГОС (старый) базовый и углублённый уровень обучения учебного пособия издательства Просвещение.