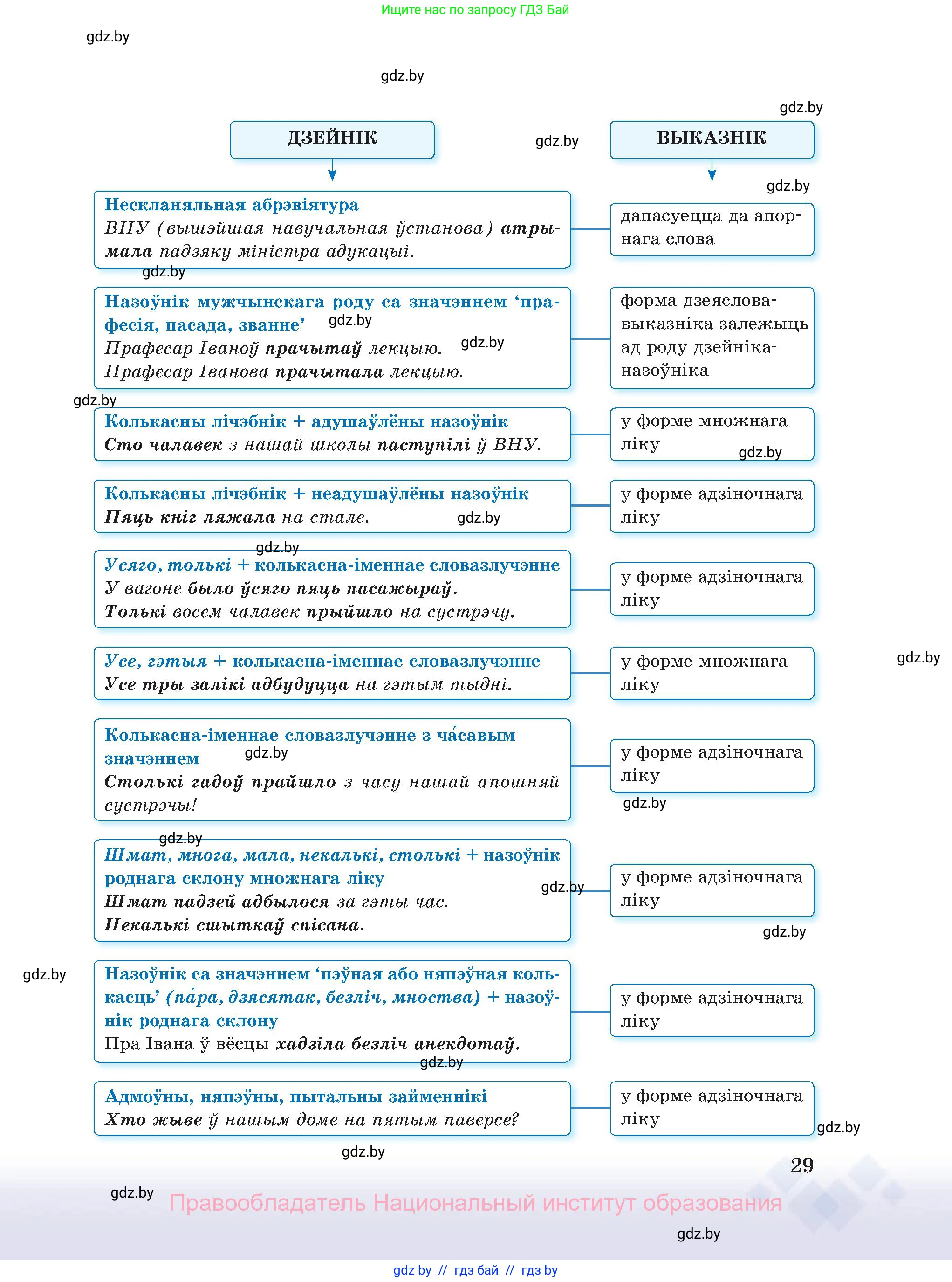
Страница 29 - гдз по белорусскому языку 11 класс учебник Валочка, Васюковіч

Белорусский язык (Беларуская мова), 11 класс Учебник, авторы: Валочка Ганна Міхайлаўна, Васюковіч Людміла Сяргееўна, Зелянко Вольга Уладзіміраўна, Міхнёнак С С, Якуба Святлана Міхайлаўна, издательство Нацыянальны інстытут адукацыі, Минск, 2021

Авторы: Валочка Г. М., Васюковіч Л. С., Зелянко В. У., Міхнёнак С. С., Якуба С. М.

Тип: Учебник

Издательство: Нацыянальны інстытут адукацыі

Год издания: 2021 - 2026

Цвет обложки: синий со статуей

ISBN: 978-985-594-975-7

Дапушчана Міністэрствам адукацыі Рэспублікі Беларусь

Популярные ГДЗ в 11 классе

Cтраница 29

Белорусский язык (Беларуская мова), 11 класс Учебник, авторы: Валочка Ганна Міхайлаўна, Васюковіч Людміла Сяргееўна, Зелянко Вольга Уладзіміраўна, Міхнёнак С С, Якуба Святлана Міхайлаўна, издательство Нацыянальны інстытут адукацыі, Минск, 2021, страница 29
Ваш номер не отображается здесь?
Такое бывает: задание могло начаться на предыдущей или следующей странице.

Помогло решение? Оставьте отзыв в комментариях ниже.

Присоединяйтесь к Телеграм-группе @gdz_by_belarus

Присоединиться