Номер 3, страница 134, часть 1 - гдз по математике 3 класс учебник Муравьева, Урбан

Математика, 3 класс Учебник, авторы: Муравьева Галина Леонидовна, Урбан Мария Анатольевна, издательство Национальный институт образования, Минск, 2021, оранжевого цвета, часть 1

Авторы: Муравьева Г. Л., Урбан М. А.

Тип: Учебник

Издательство: Национальный институт образования

Год издания: 2021 - 2026

Часть: 1

Цвет обложки: оранжевый, жёлтый с учениками

ISBN: 978-985-594-794-4 (общ.), 978-985-594-795-1 (ч. 1), 978-985-594-796-8 (ч. 2)

Допущено Министерством образования Республики Беларусь

Популярные ГДЗ в 3 классе

Часть 1. Умножение и деление. Урок 68 - номер 3, страница 134.

№3 (с. 134)
Условие. №3 (с. 134)
скриншот условия
Математика, 3 класс Учебник, авторы: Муравьева Галина Леонидовна, Урбан Мария Анатольевна, издательство Национальный институт образования, Минск, 2021, оранжевого цвета, Часть 1, страница 134, номер 3, Условие

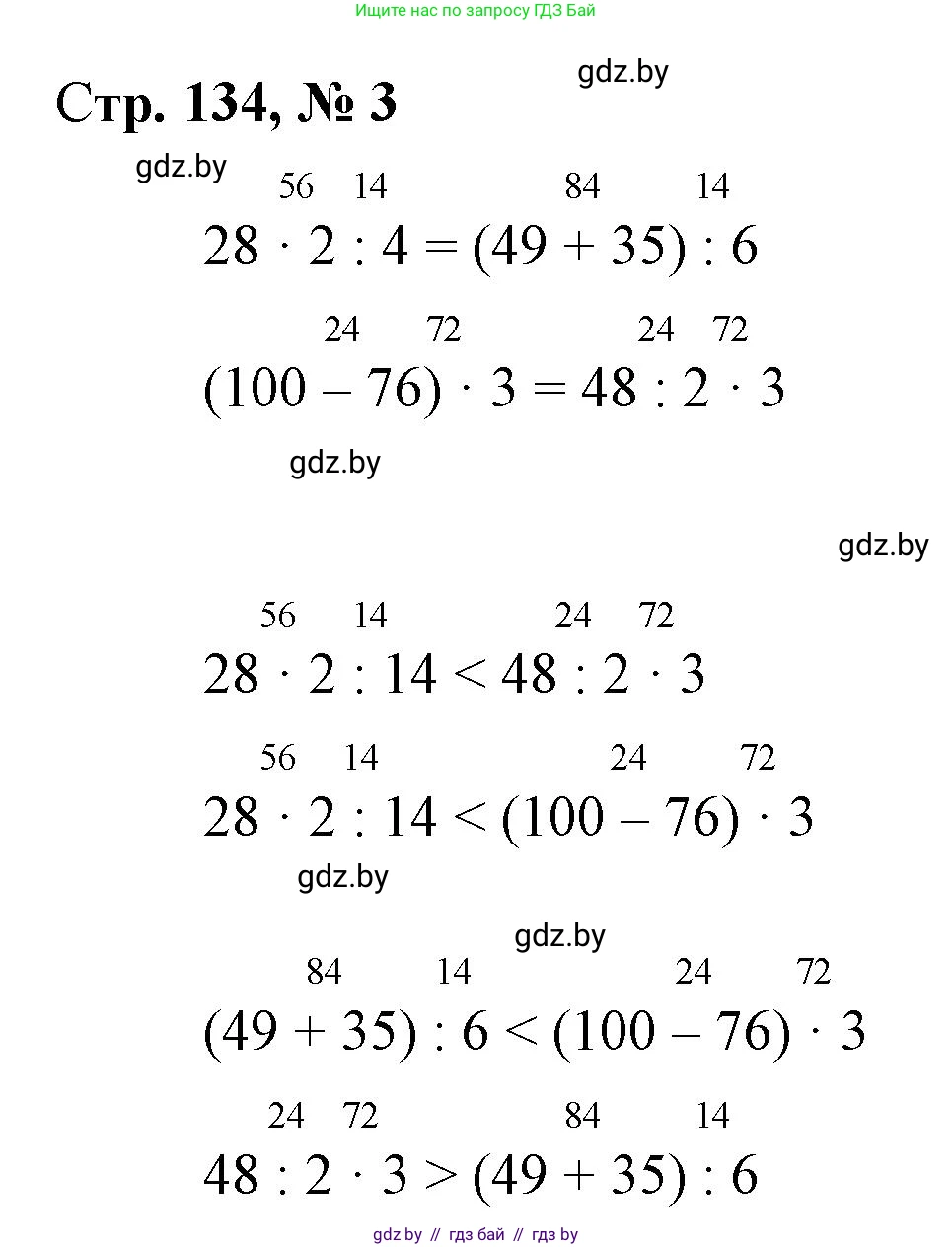
3. Составь верные равенства и неравенства, используя выражения.

$28 \cdot 2 : 4$

$(100 - 76) \cdot 3$

$(49 + 35) : 6$

$48 : 2 \cdot 3$

Решение 1. №3 (с. 134)
Математика, 3 класс Учебник, авторы: Муравьева Галина Леонидовна, Урбан Мария Анатольевна, издательство Национальный институт образования, Минск, 2021, оранжевого цвета, Часть 1, страница 134, номер 3, Решение 1
Решение 2. №3 (с. 134)
Математика, 3 класс Учебник, авторы: Муравьева Галина Леонидовна, Урбан Мария Анатольевна, издательство Национальный институт образования, Минск, 2021, оранжевого цвета, Часть 1, страница 134, номер 3, Решение 2
Решение 3. №3 (с. 134)
Математика, 3 класс Учебник, авторы: Муравьева Галина Леонидовна, Урбан Мария Анатольевна, издательство Национальный институт образования, Минск, 2021, оранжевого цвета, Часть 1, страница 134, номер 3, Решение 3
Решение 4. №3 (с. 134)

Для того чтобы составить верные равенства и неравенства, необходимо сначала вычислить значение каждого из предложенных выражений.

1. Вычислим значение первого выражения: $28 \cdot 2 : 4$. Действия умножения и деления выполняются по порядку слева направо.

$28 \cdot 2 = 56$

$56 : 4 = 14$

Таким образом, $28 \cdot 2 : 4 = 14$.

2. Вычислим значение второго выражения: $(100 - 76) \cdot 3$. Сначала выполняется действие в скобках.

$100 - 76 = 24$

$24 \cdot 3 = 72$

Таким образом, $(100 - 76) \cdot 3 = 72$.

3. Вычислим значение третьего выражения: $(49 + 35) : 6$. Сначала выполняется действие в скобках.

$49 + 35 = 84$

$84 : 6 = 14$

Таким образом, $(49 + 35) : 6 = 14$.

4. Вычислим значение четвертого выражения: $48 : 2 \cdot 3$. Действия деления и умножения выполняются по порядку слева направо.

$48 : 2 = 24$

$24 \cdot 3 = 72$

Таким образом, $48 : 2 \cdot 3 = 72$.

Теперь у нас есть значения всех выражений: 14, 72, 14 и 72. Мы можем использовать их для составления верных равенств и неравенств.

Равенства

Равенства составляются путем приравнивания выражений с одинаковыми значениями.

Значения первого и третьего выражений равны 14, поэтому мы можем записать:

$28 \cdot 2 : 4 = (49 + 35) : 6$

Значения второго и четвертого выражений равны 72, поэтому мы можем записать:

$(100 - 76) \cdot 3 = 48 : 2 \cdot 3$

Неравенства

Неравенства составляются путем сравнения выражений с разными значениями. Мы знаем, что $14 < 72$.

Сравнивая первое выражение (значение 14) со вторым (значение 72), получаем:

$28 \cdot 2 : 4 < (100 - 76) \cdot 3$

Сравнивая третье выражение (значение 14) с четвертым (значение 72), получаем:

$(49 + 35) : 6 < 48 : 2 \cdot 3$

Можно составить и другие комбинации, например, используя знак ">":

$48 : 2 \cdot 3 > 28 \cdot 2 : 4$

Ответ: Примеры верных равенств: $28 \cdot 2 : 4 = (49 + 35) : 6$; $(100 - 76) \cdot 3 = 48 : 2 \cdot 3$. Примеры верных неравенств: $28 \cdot 2 : 4 < (100 - 76) \cdot 3$; $(49 + 35) : 6 < 48 : 2 \cdot 3$.

Помогло решение? Оставьте отзыв в комментариях ниже.

Присоединяйтесь к Телеграм-группе @gdz_by_belarus

Присоединиться

Мы подготовили для вас ответ c подробным объяснением домашего задания по математике за 3 класс, для упражнения номер 3 расположенного на странице 134 для 1-й части к учебнику 2021 года издания для учащихся школ и гимназий.

Теперь на нашем сайте ГДЗ.ТОП вы всегда легко и бесплатно найдёте условие с правильным ответом на вопрос «Как решить ДЗ» и «Как сделать» задание по математике к упражнению №3 (с. 134), авторов: Муравьева (Галина Леонидовна), Урбан (Мария Анатольевна), 1-й части учебного пособия издательства Национальный институт образования.