Номер 32.52, страница 157 - гдз по алгебре 7-9 класс сборник задач Арефьева, Пирютко

Алгебра, 7-9 класс Сборник задач, авторы: Арефьева Ирина Глебовна, Пирютко Ольга Николаевна, издательство Народная асвета, Минск, 2020

Авторы: Арефьева И. Г., Пирютко О. Н.

Тип: Сборник задач

Издательство: Народная асвета

Год издания: 2020 - 2026

Цвет обложки: синий с графиками

Допущено Министерством образования Республики Беларусь

Популярные ГДЗ в 7 классе

9 класс. Параграф 32. Рациональная дробь. Сокращение рациональных дробей - номер 32.52, страница 157.

№32.52 (с. 157)
Условие. №32.52 (с. 157)
скриншот условия
Алгебра, 7-9 класс Сборник задач, авторы: Арефьева Ирина Глебовна, Пирютко Ольга Николаевна, издательство Народная асвета, Минск, 2020, страница 157, номер 32.52, Условие

32.52*. Постройте график функции:

a) $y = \frac{x^2 - 6x + 8}{x - 4}$;

б) $y = \frac{x^2 + x - 6}{x + 3}$;

В) $y = \frac{x^2 - 4|x| - 5}{|x| - 5}$;

Г) $y = \frac{x^2 - |x| - 2}{2 - |x|}$.

Решение. №32.52 (с. 157)
Алгебра, 7-9 класс Сборник задач, авторы: Арефьева Ирина Глебовна, Пирютко Ольга Николаевна, издательство Народная асвета, Минск, 2020, страница 157, номер 32.52, Решение Алгебра, 7-9 класс Сборник задач, авторы: Арефьева Ирина Глебовна, Пирютко Ольга Николаевна, издательство Народная асвета, Минск, 2020, страница 157, номер 32.52, Решение (продолжение 2)
Решение 2. №32.52 (с. 157)

а) $y = \frac{x^2 - 6x + 8}{x - 4}$

1. Найдем область определения функции. Знаменатель дроби не может быть равен нулю, поэтому $x - 4 \neq 0$, откуда $x \neq 4$. Область определения: $D(y) = (-\infty; 4) \cup (4; +\infty)$.

2. Упростим выражение для функции. Для этого разложим числитель на множители. Решим квадратное уравнение $x^2 - 6x + 8 = 0$. По теореме Виета, сумма корней равна 6, а произведение равно 8. Корни уравнения: $x_1 = 2$ и $x_2 = 4$. Тогда $x^2 - 6x + 8 = (x - 2)(x - 4)$.

3. Подставим разложение в исходную функцию:

$y = \frac{(x - 2)(x - 4)}{x - 4}$

Так как $x \neq 4$, мы можем сократить дробь на $(x - 4)$. Получаем:

$y = x - 2$

4. Графиком функции является прямая $y = x - 2$ с "выколотой" точкой при $x = 4$. Найдем координаты этой точки. Если $x = 4$, то $y = 4 - 2 = 2$. Таким образом, точка $(4; 2)$ не принадлежит графику.

5. Для построения прямой $y = x - 2$ найдем две точки. Например, если $x = 0$, то $y = -2$; если $x = 2$, то $y = 0$. Строим прямую, проходящую через точки $(0; -2)$ и $(2; 0)$, и отмечаем на ней выколотую точку $(4; 2)$.

Ответ: Графиком функции является прямая $y = x - 2$ с выколотой точкой $(4; 2)$.

б) $y = \frac{x^2 + x - 6}{x + 3}$

1. Область определения: знаменатель не равен нулю, т.е. $x + 3 \neq 0$, откуда $x \neq -3$. Область определения: $D(y) = (-\infty; -3) \cup (-3; +\infty)$.

2. Разложим числитель $x^2 + x - 6$ на множители. Решим уравнение $x^2 + x - 6 = 0$. По теореме Виета, $x_1 + x_2 = -1$ и $x_1 \cdot x_2 = -6$. Корни: $x_1 = 2$ и $x_2 = -3$. Значит, $x^2 + x - 6 = (x - 2)(x + 3)$.

3. Упростим функцию:

$y = \frac{(x - 2)(x + 3)}{x + 3}$

При $x \neq -3$ можем сократить на $(x+3)$:

$y = x - 2$

4. Графиком функции является прямая $y = x - 2$, но с выколотой точкой при $x = -3$. Найдем ее координаты: $y = -3 - 2 = -5$. Точка $(-3; -5)$ не принадлежит графику.

5. График — это та же прямая, что и в пункте а), но с другой выколотой точкой. Строим прямую по точкам $(0; -2)$ и $(2; 0)$ и отмечаем выколотую точку $(-3; -5)$.

Ответ: Графиком функции является прямая $y = x - 2$ с выколотой точкой $(-3; -5)$.

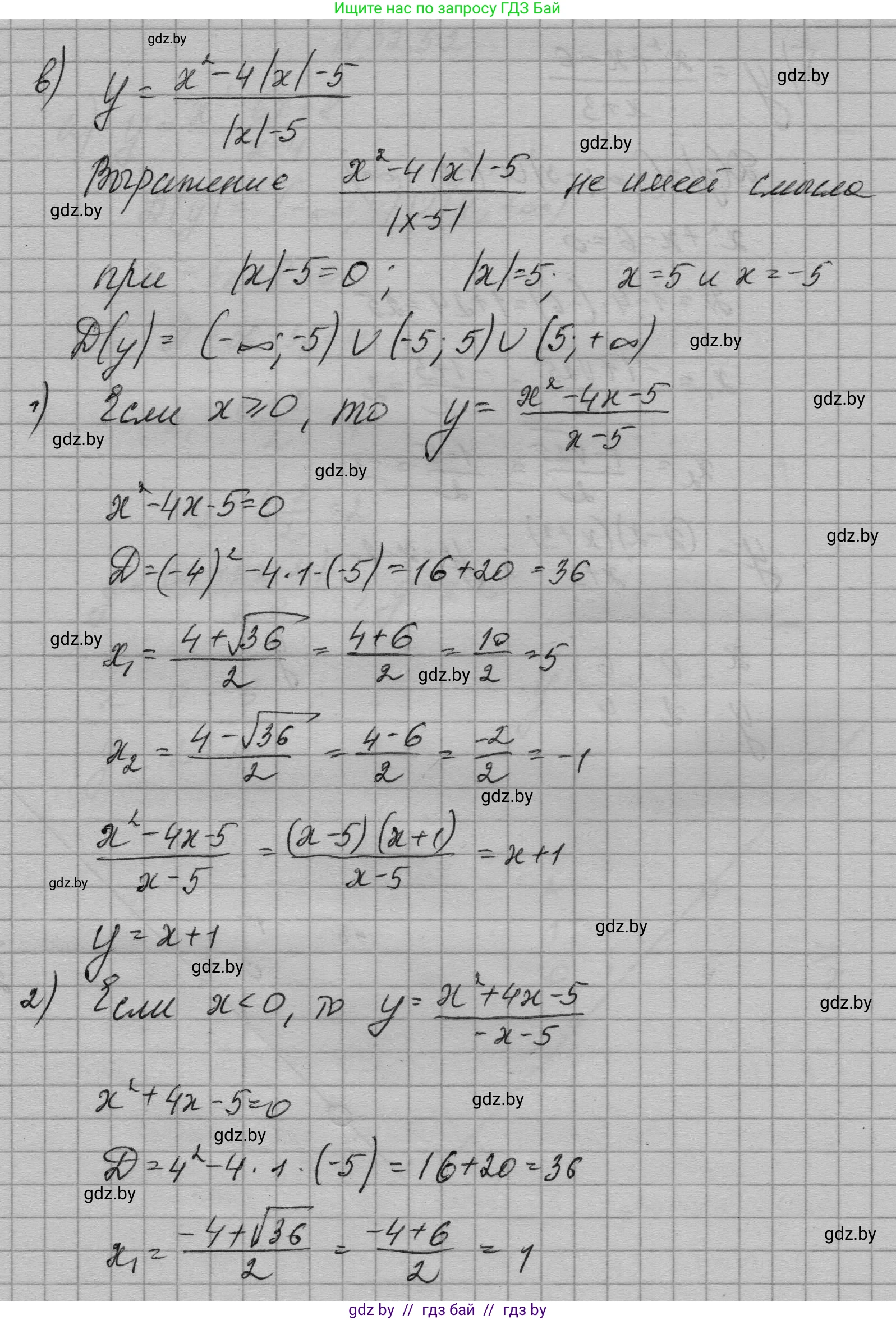
в) $y = \frac{x^2 - 4|x| - 5}{|x| - 5}$

1. Область определения: $|x| - 5 \neq 0$, т.е. $|x| \neq 5$. Это означает, что $x \neq 5$ и $x \neq -5$.

2. Заметим, что $x^2 = |x|^2$. Сделаем замену $t = |x|$, где $t \ge 0$. Функция примет вид:

$y = \frac{t^2 - 4t - 5}{t - 5}$, при условии $t \neq 5$.

3. Разложим числитель $t^2 - 4t - 5$ на множители. Корни уравнения $t^2 - 4t - 5 = 0$ это $t_1 = 5$ и $t_2 = -1$. Тогда $t^2 - 4t - 5 = (t - 5)(t + 1)$.

4. Упростим выражение для $y$:

$y = \frac{(t - 5)(t + 1)}{t - 5}$

Так как $t \neq 5$, сокращаем и получаем $y = t + 1$.

5. Вернемся к исходной переменной $x$, подставив $t = |x|$:

$y = |x| + 1$

6. Графиком функции является график $y = |x| + 1$ с выколотыми точками, соответствующими $x = 5$ и $x = -5$. График $y = |x| + 1$ — это график модуля, смещенный на 1 единицу вверх по оси OY. Вершина находится в точке $(0; 1)$.

7. Найдем координаты выколотых точек:

При $x = 5$: $y = |5| + 1 = 6$. Выколотая точка $(5; 6)$.

При $x = -5$: $y = |-5| + 1 = 5 + 1 = 6$. Выколотая точка $(-5; 6)$.

Ответ: График функции — это график $y = |x| + 1$ (две части прямых $y=x+1$ при $x \ge 0$ и $y=-x+1$ при $x < 0$) с выколотыми точками $(5; 6)$ и $(-5; 6)$.

г) $y = \frac{x^2 - |x| - 2}{2 - |x|}$

1. Область определения: $2 - |x| \neq 0$, т.е. $|x| \neq 2$. Это означает, что $x \neq 2$ и $x \neq -2$.

2. Используем $x^2 = |x|^2$ и сделаем замену $t = |x|$, где $t \ge 0$.

$y = \frac{t^2 - t - 2}{2 - t}$, при условии $t \neq 2$.

3. Разложим на множители числитель $t^2 - t - 2$. Корни уравнения $t^2 - t - 2 = 0$: $t_1 = 2$ и $t_2 = -1$. Таким образом, $t^2 - t - 2 = (t - 2)(t + 1)$.

4. Упростим выражение:

$y = \frac{(t - 2)(t + 1)}{2 - t} = \frac{-(2 - t)(t + 1)}{2 - t}$

Так как $t \neq 2$, сокращаем на $(2-t)$ и получаем $y = -(t + 1)$.

5. Возвращаемся к переменной $x$:

$y = -(|x| + 1) = -|x| - 1$

6. Графиком функции является график $y = -|x| - 1$ с выколотыми точками при $x = 2$ и $x = -2$. График $y = -|x| - 1$ — это график модуля, отраженный относительно оси OX и смещенный на 1 единицу вниз по оси OY. Вершина находится в точке $(0; -1)$.

7. Найдем координаты выколотых точек:

При $x = 2$: $y = -|2| - 1 = -2 - 1 = -3$. Выколотая точка $(2; -3)$.

При $x = -2$: $y = -|-2| - 1 = -2 - 1 = -3$. Выколотая точка $(-2; -3)$.

Ответ: График функции — это график $y = -|x| - 1$ (две части прямых $y=-x-1$ при $x \ge 0$ и $y=x-1$ при $x < 0$) с выколотыми точками $(2; -3)$ и $(-2; -3)$.

Помогло решение? Оставьте отзыв в комментариях ниже.

Присоединяйтесь к Телеграм-группе @gdz_by_belarus

Присоединиться

Мы подготовили для вас ответ c подробным объяснением домашего задания по алгебре за 7-9 класс, для упражнения номер 32.52 расположенного на странице 157 к сборнику задач 2020 года издания для учащихся школ и гимназий.

Теперь на нашем сайте ГДЗ.ТОП вы всегда легко и бесплатно найдёте условие с правильным ответом на вопрос «Как решить ДЗ» и «Как сделать» задание по алгебре к упражнению №32.52 (с. 157), авторов: Арефьева (Ирина Глебовна), Пирютко (Ольга Николаевна), учебного пособия издательства Народная асвета.