Номер 13.4, страница 56 - гдз по алгебре 7-9 класс сборник задач Арефьева, Пирютко

Алгебра, 7-9 класс Сборник задач, авторы: Арефьева Ирина Глебовна, Пирютко Ольга Николаевна, издательство Народная асвета, Минск, 2020

Авторы: Арефьева И. Г., Пирютко О. Н.

Тип: Сборник задач

Издательство: Народная асвета

Год издания: 2020 - 2026

Цвет обложки: синий с графиками

Допущено Министерством образования Республики Беларусь

Популярные ГДЗ в 7 классе

7 класс. Параграф 13. Разложение многочлена на множители - номер 13.4, страница 56.

№13.4 (с. 56)
Условие. №13.4 (с. 56)
скриншот условия
Алгебра, 7-9 класс Сборник задач, авторы: Арефьева Ирина Глебовна, Пирютко Ольга Николаевна, издательство Народная асвета, Минск, 2020, страница 56, номер 13.4, Условие

13.4. Вынесите общий множитель за скобки:

а) $a + a^3;$

б) $b^5 - b^4;$

в) $4m^3 - 8m^2;$

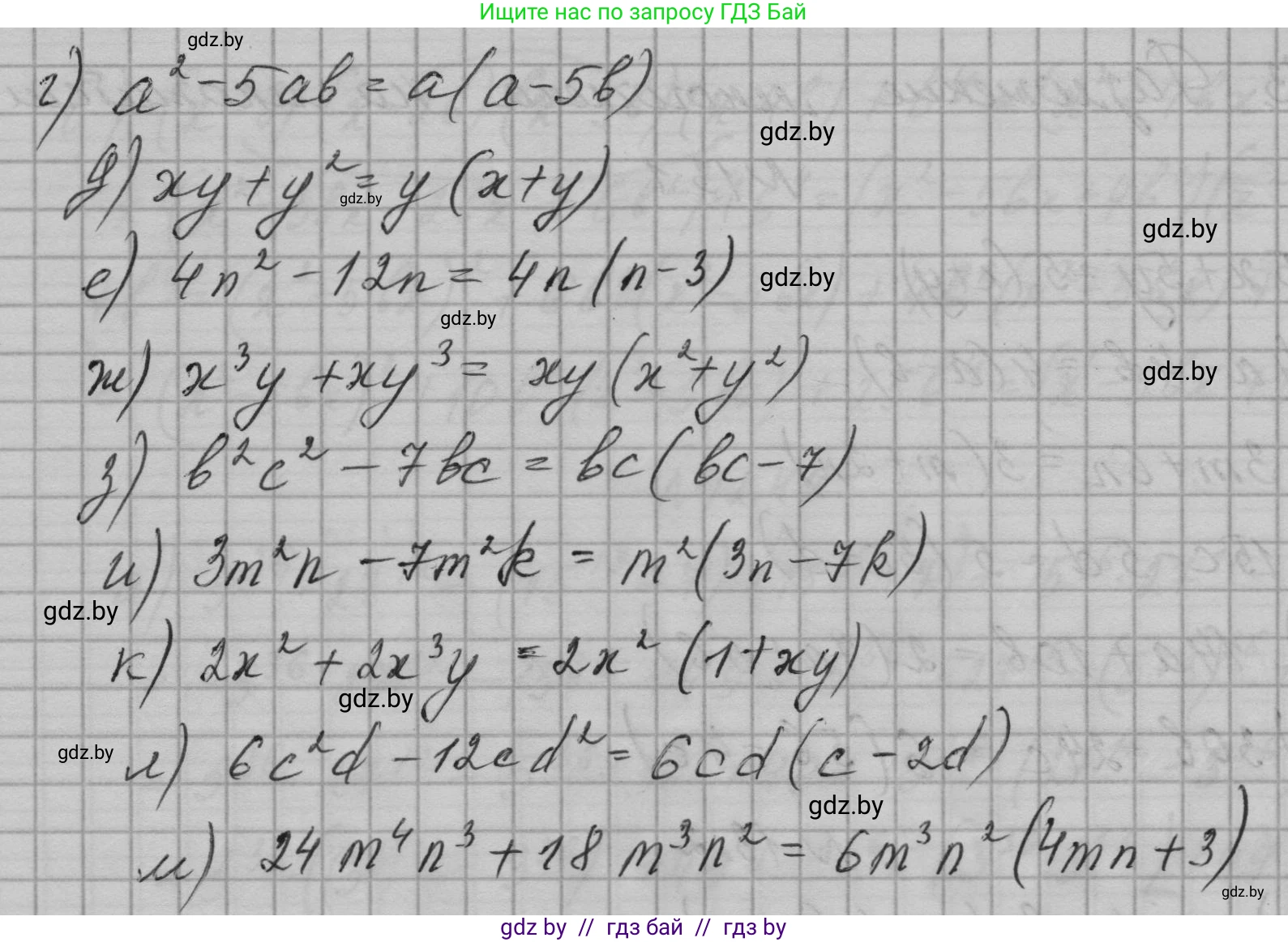
г) $a^2 - 5ab;$

д) $xy + y^2;$

е) $4n^2 - 12n;$

ж) $x^3y + xy^3;$

з) $b^2c^2 - 7bc;$

и) $3m^2n - 7m^2k;$

к) $2x^2 + 2x^3y;$

л) $6c^2d - 12cd^2;$

м) $24m^4n^3 + 18m^3n^2.$

Решение. №13.4 (с. 56)
Алгебра, 7-9 класс Сборник задач, авторы: Арефьева Ирина Глебовна, Пирютко Ольга Николаевна, издательство Народная асвета, Минск, 2020, страница 56, номер 13.4, Решение Алгебра, 7-9 класс Сборник задач, авторы: Арефьева Ирина Глебовна, Пирютко Ольга Николаевна, издательство Народная асвета, Минск, 2020, страница 56, номер 13.4, Решение (продолжение 2)
Решение 2. №13.4 (с. 56)

а) В выражении $a + a^3$ оба слагаемых, $a$ и $a^3$, содержат переменную $a$. Наименьшая степень, в которой переменная $a$ входит в оба слагаемых, это первая степень ($a^1 = a$). Вынесем общий множитель $a$ за скобки. Для этого разделим каждый член исходного выражения на $a$:
$a \div a = 1$
$a^3 \div a = a^{3-1} = a^2$
В результате получаем: $a(1 + a^2)$.
Ответ: $a(1 + a^2)$

б) В выражении $b^5 - b^4$ оба члена содержат переменную $b$. Наименьшая степень переменной $b$ — четвертая ($b^4$). Вынесем $b^4$ за скобки.
$b^5 \div b^4 = b^{5-4} = b$
$-b^4 \div b^4 = -1$
В результате получаем: $b^4(b - 1)$.
Ответ: $b^4(b - 1)$

в) В выражении $4m^3 - 8m^2$ найдем общий множитель для коэффициентов и для переменных.
Наибольший общий делитель (НОД) для коэффициентов 4 и 8 равен 4.
Общий множитель для переменных $m^3$ и $m^2$ — это переменная в наименьшей степени, то есть $m^2$.
Таким образом, общий множитель всего выражения — это $4m^2$. Вынесем его за скобки.
$4m^3 \div (4m^2) = m$
$-8m^2 \div (4m^2) = -2$
В результате получаем: $4m^2(m - 2)$.
Ответ: $4m^2(m - 2)$

г) В выражении $a^2 - 5ab$ общим множителем для членов $a^2$ и $-5ab$ является переменная $a$ в первой степени. Вынесем $a$ за скобки.
$a^2 \div a = a$
$-5ab \div a = -5b$
В результате получаем: $a(a - 5b)$.
Ответ: $a(a - 5b)$

д) В выражении $xy + y^2$ общим множителем для членов $xy$ и $y^2$ является переменная $y$ в первой степени. Вынесем $y$ за скобки.
$xy \div y = x$
$y^2 \div y = y$
В результате получаем: $y(x + y)$.
Ответ: $y(x + y)$

е) В выражении $4n^2 - 12n$ найдем общий множитель для коэффициентов и для переменных.
НОД для коэффициентов 4 и 12 равен 4.
Общий множитель для переменных $n^2$ и $n$ — это $n$.
Общий множитель всего выражения — $4n$. Вынесем его за скобки.
$4n^2 \div (4n) = n$
$-12n \div (4n) = -3$
В результате получаем: $4n(n - 3)$.
Ответ: $4n(n - 3)$

ж) В выражении $x^3y + xy^3$ оба члена содержат переменные $x$ и $y$.
Наименьшая степень для $x$ — первая ($x$).
Наименьшая степень для $y$ — первая ($y$).
Общий множитель — $xy$. Вынесем его за скобки.
$x^3y \div (xy) = x^2$
$xy^3 \div (xy) = y^2$
В результате получаем: $xy(x^2 + y^2)$.
Ответ: $xy(x^2 + y^2)$

з) В выражении $b^2c^2 - 7bc$ оба члена содержат переменные $b$ и $c$.
Наименьшая степень для $b$ — первая ($b$).
Наименьшая степень для $c$ — первая ($c$).
Общий множитель — $bc$. Вынесем его за скобки.
$b^2c^2 \div (bc) = bc$
$-7bc \div (bc) = -7$
В результате получаем: $bc(bc - 7)$.
Ответ: $bc(bc - 7)$

и) В выражении $3m^2n - 7m^2k$ коэффициенты 3 и 7 взаимно простые. Оба члена содержат $m^2$. Переменные $n$ и $k$ не являются общими.
Общий множитель — $m^2$. Вынесем его за скобки.
$3m^2n \div m^2 = 3n$
$-7m^2k \div m^2 = -7k$
В результате получаем: $m^2(3n - 7k)$.
Ответ: $m^2(3n - 7k)$

к) В выражении $2x^2 + 2x^3y$ найдем общий множитель.
Общий множитель для коэффициентов 2 и 2 — это 2.
Общий множитель для переменных $x^2$ и $x^3$ — это $x^2$.
Общий множитель всего выражения — $2x^2$. Вынесем его за скобки.
$2x^2 \div (2x^2) = 1$
$2x^3y \div (2x^2) = xy$
В результате получаем: $2x^2(1 + xy)$.
Ответ: $2x^2(1 + xy)$

л) В выражении $6c^2d - 12cd^2$ найдем общий множитель.
НОД для коэффициентов 6 и 12 равен 6.
Общий множитель для $c^2$ и $c$ — это $c$.
Общий множитель для $d$ и $d^2$ — это $d$.
Общий множитель всего выражения — $6cd$. Вынесем его за скобки.
$6c^2d \div (6cd) = c$
$-12cd^2 \div (6cd) = -2d$
В результате получаем: $6cd(c - 2d)$.
Ответ: $6cd(c - 2d)$

м) В выражении $24m^4n^3 + 18m^3n^2$ найдем общий множитель.
НОД для коэффициентов 24 и 18 равен 6.
Общий множитель для $m^4$ и $m^3$ — это $m^3$.
Общий множитель для $n^3$ и $n^2$ — это $n^2$.
Общий множитель всего выражения — $6m^3n^2$. Вынесем его за скобки.
$24m^4n^3 \div (6m^3n^2) = 4mn$
$18m^3n^2 \div (6m^3n^2) = 3$
В результате получаем: $6m^3n^2(4mn + 3)$.
Ответ: $6m^3n^2(4mn + 3)$

Помогло решение? Оставьте отзыв в комментариях ниже.

Присоединяйтесь к Телеграм-группе @gdz_by_belarus

Присоединиться

Мы подготовили для вас ответ c подробным объяснением домашего задания по алгебре за 7-9 класс, для упражнения номер 13.4 расположенного на странице 56 к сборнику задач 2020 года издания для учащихся школ и гимназий.

Теперь на нашем сайте ГДЗ.ТОП вы всегда легко и бесплатно найдёте условие с правильным ответом на вопрос «Как решить ДЗ» и «Как сделать» задание по алгебре к упражнению №13.4 (с. 56), авторов: Арефьева (Ирина Глебовна), Пирютко (Ольга Николаевна), учебного пособия издательства Народная асвета.