Номер 13.17, страница 58 - гдз по алгебре 7-9 класс сборник задач Арефьева, Пирютко
Авторы: Арефьева И. Г., Пирютко О. Н.
Тип: Сборник задач
Издательство: Народная асвета
Год издания: 2020 - 2026
Цвет обложки: синий с графиками
Допущено Министерством образования Республики Беларусь
Популярные ГДЗ в 7 классе
7 класс. Параграф 13. Разложение многочлена на множители - номер 13.17, страница 58.
№13.17 (с. 58)
Условие. №13.17 (с. 58)
скриншот условия
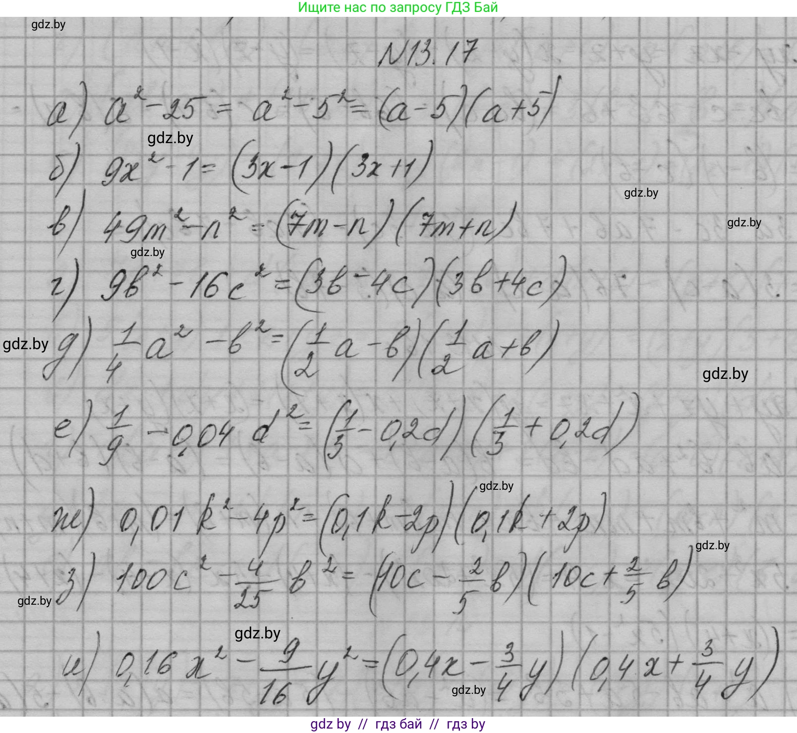
13.17. Разложите многочлен на множители, используя формулу разности квадратов:
а) $a^2 - 25$;
б) $9x^2 - 1$;
в) $49m^2 - n^2$;
г) $9b^2 - 16c^2$;
д) $\frac{1}{4}a^2 - b^2$;
е) $\frac{1}{9} - 0,04d^2$;
ж) $0,01k^2 - 4p^2$;
з) $100c^2 - \frac{4}{25}b^2$;
и) $0,16x^2 - \frac{9}{16}y^2$.
Решение. №13.17 (с. 58)
Решение 2. №13.17 (с. 58)
Для решения всех задач используется формула разности квадратов: $a^2 - b^2 = (a - b)(a + b)$.
а) Чтобы разложить многочлен $a^2 - 25$ на множители, представим его в виде разности квадратов. Поскольку $25 = 5^2$, получаем: $a^2 - 25 = a^2 - 5^2$. Применяя формулу разности квадратов, где $a$ выступает в роли $a$, а $5$ в роли $b$, имеем: $a^2 - 5^2 = (a - 5)(a + 5)$.
Ответ: $(a - 5)(a + 5)$.
б) Рассмотрим многочлен $9x^2 - 1$. Представим его в виде разности квадратов. $9x^2 = (3x)^2$ и $1 = 1^2$. Следовательно, $9x^2 - 1 = (3x)^2 - 1^2$. Применяя формулу, где $a = 3x$ и $b = 1$, получаем: $(3x)^2 - 1^2 = (3x - 1)(3x + 1)$.
Ответ: $(3x - 1)(3x + 1)$.
в) Рассмотрим многочлен $49m^2 - n^2$. Представим его в виде разности квадратов. $49m^2 = (7m)^2$ и $n^2 = n^2$. Следовательно, $49m^2 - n^2 = (7m)^2 - n^2$. Применяя формулу, где $a = 7m$ и $b = n$, получаем: $(7m)^2 - n^2 = (7m - n)(7m + n)$.
Ответ: $(7m - n)(7m + n)$.
г) Рассмотрим многочлен $9b^2 - 16c^2$. Представим его в виде разности квадратов. $9b^2 = (3b)^2$ и $16c^2 = (4c)^2$. Следовательно, $9b^2 - 16c^2 = (3b)^2 - (4c)^2$. Применяя формулу, где $a = 3b$ и $b = 4c$, получаем: $(3b)^2 - (4c)^2 = (3b - 4c)(3b + 4c)$.
Ответ: $(3b - 4c)(3b + 4c)$.
д) Рассмотрим многочлен $\frac{1}{4}a^2 - b^2$. Представим его в виде разности квадратов. $\frac{1}{4}a^2 = (\frac{1}{2}a)^2$ и $b^2 = b^2$. Следовательно, $\frac{1}{4}a^2 - b^2 = (\frac{1}{2}a)^2 - b^2$. Применяя формулу, где $a = \frac{1}{2}a$ и $b = b$, получаем: $(\frac{1}{2}a)^2 - b^2 = (\frac{1}{2}a - b)(\frac{1}{2}a + b)$.
Ответ: $(\frac{1}{2}a - b)(\frac{1}{2}a + b)$.
е) Рассмотрим многочлен $\frac{1}{9} - 0,04d^2$. Представим его в виде разности квадратов. $\frac{1}{9} = (\frac{1}{3})^2$ и $0,04d^2 = (0,2d)^2$. Следовательно, $\frac{1}{9} - 0,04d^2 = (\frac{1}{3})^2 - (0,2d)^2$. Применяя формулу, где $a = \frac{1}{3}$ и $b = 0,2d$, получаем: $(\frac{1}{3})^2 - (0,2d)^2 = (\frac{1}{3} - 0,2d)(\frac{1}{3} + 0,2d)$.
Ответ: $(\frac{1}{3} - 0,2d)(\frac{1}{3} + 0,2d)$.
ж) Рассмотрим многочлен $0,01k^2 - 4p^2$. Представим его в виде разности квадратов. $0,01k^2 = (0,1k)^2$ и $4p^2 = (2p)^2$. Следовательно, $0,01k^2 - 4p^2 = (0,1k)^2 - (2p)^2$. Применяя формулу, где $a = 0,1k$ и $b = 2p$, получаем: $(0,1k)^2 - (2p)^2 = (0,1k - 2p)(0,1k + 2p)$.
Ответ: $(0,1k - 2p)(0,1k + 2p)$.
з) Рассмотрим многочлен $100c^2 - \frac{4}{25}b^2$. Представим его в виде разности квадратов. $100c^2 = (10c)^2$ и $\frac{4}{25}b^2 = (\frac{2}{5}b)^2$. Следовательно, $100c^2 - \frac{4}{25}b^2 = (10c)^2 - (\frac{2}{5}b)^2$. Применяя формулу, где $a = 10c$ и $b = \frac{2}{5}b$, получаем: $(10c)^2 - (\frac{2}{5}b)^2 = (10c - \frac{2}{5}b)(10c + \frac{2}{5}b)$.
Ответ: $(10c - \frac{2}{5}b)(10c + \frac{2}{5}b)$.
и) Рассмотрим многочлен $0,16x^2 - \frac{9}{16}y^2$. Представим его в виде разности квадратов. $0,16x^2 = (0,4x)^2$ и $\frac{9}{16}y^2 = (\frac{3}{4}y)^2$. Следовательно, $0,16x^2 - \frac{9}{16}y^2 = (0,4x)^2 - (\frac{3}{4}y)^2$. Применяя формулу, где $a = 0,4x$ и $b = \frac{3}{4}y$, получаем: $(0,4x)^2 - (\frac{3}{4}y)^2 = (0,4x - \frac{3}{4}y)(0,4x + \frac{3}{4}y)$.
Ответ: $(0,4x - \frac{3}{4}y)(0,4x + \frac{3}{4}y)$.
Другие задания:
Помогло решение? Оставьте отзыв в комментариях ниже.
Присоединяйтесь к Телеграм-группе @gdz_by_belarus
ПрисоединитьсяМы подготовили для вас ответ c подробным объяснением домашего задания по алгебре за 7-9 класс, для упражнения номер 13.17 расположенного на странице 58 к сборнику задач 2020 года издания для учащихся школ и гимназий.
Теперь на нашем сайте ГДЗ.ТОП вы всегда легко и бесплатно найдёте условие с правильным ответом на вопрос «Как решить ДЗ» и «Как сделать» задание по алгебре к упражнению №13.17 (с. 58), авторов: Арефьева (Ирина Глебовна), Пирютко (Ольга Николаевна), учебного пособия издательства Народная асвета.