Номер 18.7, страница 83 - гдз по алгебре 7-9 класс сборник задач Арефьева, Пирютко

Алгебра, 7-9 класс Сборник задач, авторы: Арефьева Ирина Глебовна, Пирютко Ольга Николаевна, издательство Народная асвета, Минск, 2020

Авторы: Арефьева И. Г., Пирютко О. Н.

Тип: Сборник задач

Издательство: Народная асвета

Год издания: 2020 - 2026

Цвет обложки: синий с графиками

Допущено Министерством образования Республики Беларусь

Популярные ГДЗ в 7 классе

7 класс. Параграф 18. Линейные уравнения с двумя переменными. График линейного уравнения ах + by = с с двумя переменными - номер 18.7, страница 83.

№18.7 (с. 83)
Условие. №18.7 (с. 83)
скриншот условия
Алгебра, 7-9 класс Сборник задач, авторы: Арефьева Ирина Глебовна, Пирютко Ольга Николаевна, издательство Народная асвета, Минск, 2020, страница 83, номер 18.7, Условие

18.7. Найдите координаты точек пересечения графика уравнения $ax + by = c$ с осями координат:

а) $3x - y = -1$;

б) $5x = -10$;

в) $3y = -15$;

г) $-x - y = 7$;

д) $x - 5y = 5$.

Решение. №18.7 (с. 83)
Алгебра, 7-9 класс Сборник задач, авторы: Арефьева Ирина Глебовна, Пирютко Ольга Николаевна, издательство Народная асвета, Минск, 2020, страница 83, номер 18.7, Решение Алгебра, 7-9 класс Сборник задач, авторы: Арефьева Ирина Глебовна, Пирютко Ольга Николаевна, издательство Народная асвета, Минск, 2020, страница 83, номер 18.7, Решение (продолжение 2)
Решение 2. №18.7 (с. 83)

Чтобы найти координаты точек пересечения графика уравнения с осями координат, нужно поочередно приравнять к нулю каждую из координат ($x$ и $y$).

  • Для нахождения точки пересечения с осью абсцисс (Ox) в уравнение подставляют $y=0$ и находят соответствующее значение $x$. Координаты этой точки будут $(x; 0)$.
  • Для нахождения точки пересечения с осью ординат (Oy) в уравнение подставляют $x=0$ и находят соответствующее значение $y$. Координаты этой точки будут $(0; y)$.

а) Для уравнения $3x - y = -1$.
1. Пересечение с осью Ox (при $y=0$):
$3x - 0 = -1$
$3x = -1$
$x = -\frac{1}{3}$
Точка пересечения с осью Ox: $(-\frac{1}{3}; 0)$.
2. Пересечение с осью Oy (при $x=0$):
$3 \cdot 0 - y = -1$
$-y = -1$
$y = 1$
Точка пересечения с осью Oy: $(0; 1)$.
Ответ: $(-\frac{1}{3}; 0)$ и $(0; 1)$.

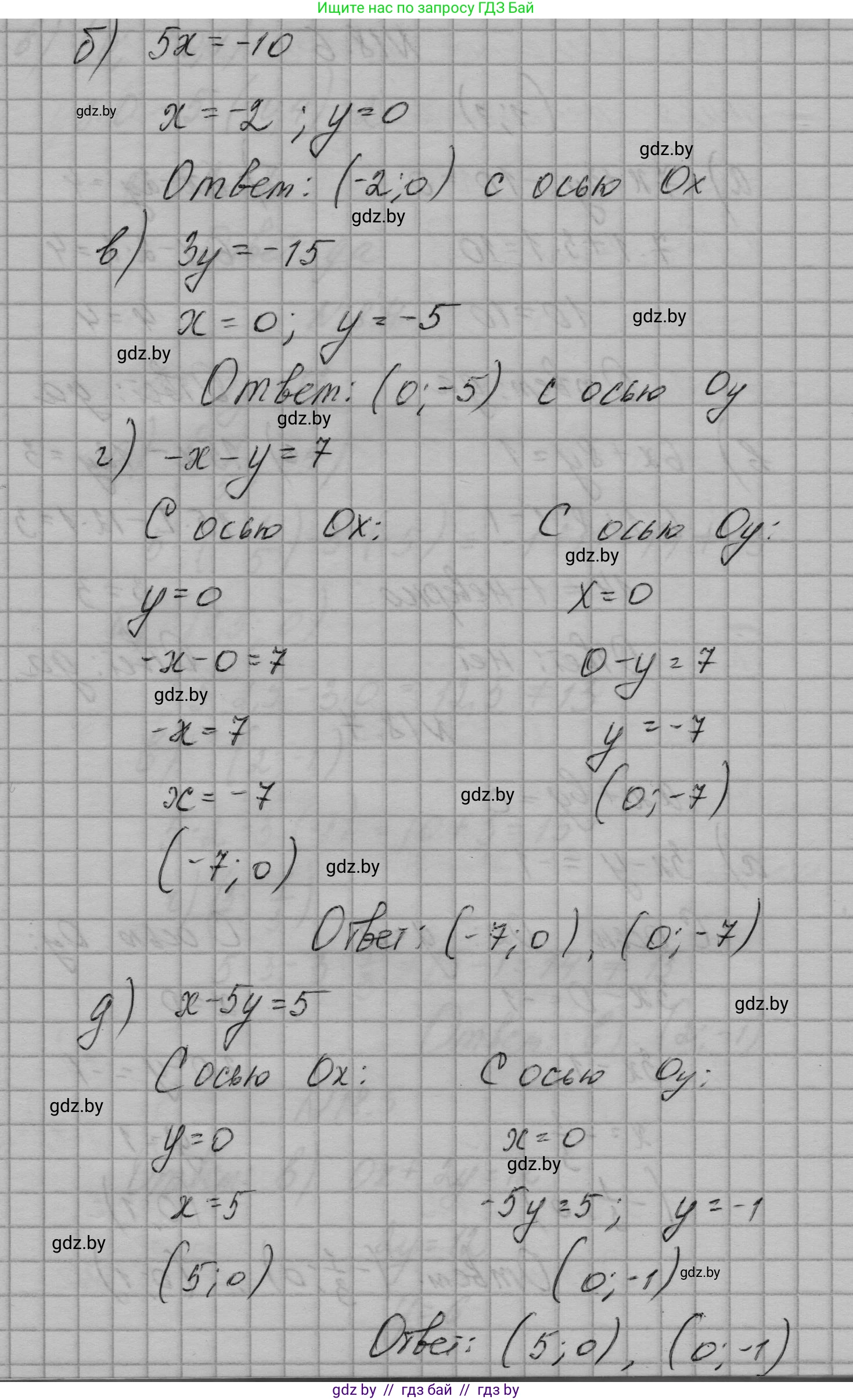
б) Для уравнения $5x = -10$.
1. Упростим уравнение:
$x = -10 / 5$
$x = -2$
Графиком этого уравнения является вертикальная прямая, проходящая через точку $(-2; 0)$ и параллельная оси Oy.
2. Пересечение с осью Ox: Прямая пересекает ось Ox в точке, где $x=-2$. Координаты точки: $(-2; 0)$.
3. Пересечение с осью Oy: Так как прямая параллельна оси Oy, она ее не пересекает (кроме случая $x=0$). В данном случае $x=-2 \neq 0$, следовательно, точек пересечения с осью Oy нет.
Ответ: $(-2; 0)$.

в) Для уравнения $3y = -15$.
1. Упростим уравнение:
$y = -15 / 3$
$y = -5$
Графиком этого уравнения является горизонтальная прямая, проходящая через точку $(0; -5)$ и параллельная оси Ox.
2. Пересечение с осью Oy: Прямая пересекает ось Oy в точке, где $y=-5$. Координаты точки: $(0; -5)$.
3. Пересечение с осью Ox: Так как прямая параллельна оси Ox, она ее не пересекает (кроме случая $y=0$). В данном случае $y=-5 \neq 0$, следовательно, точек пересечения с осью Ox нет.
Ответ: $(0; -5)$.

г) Для уравнения $-x - y = 7$.
1. Пересечение с осью Ox (при $y=0$):
$-x - 0 = 7$
$-x = 7$
$x = -7$
Точка пересечения с осью Ox: $(-7; 0)$.
2. Пересечение с осью Oy (при $x=0$):
$-0 - y = 7$
$-y = 7$
$y = -7$
Точка пересечения с осью Oy: $(0; -7)$.
Ответ: $(-7; 0)$ и $(0; -7)$.

д) Для уравнения $x - 5y = 5$.
1. Пересечение с осью Ox (при $y=0$):
$x - 5 \cdot 0 = 5$
$x = 5$
Точка пересечения с осью Ox: $(5; 0)$.
2. Пересечение с осью Oy (при $x=0$):
$0 - 5y = 5$
$-5y = 5$
$y = -1$
Точка пересечения с осью Oy: $(0; -1)$.
Ответ: $(5; 0)$ и $(0; -1)$.

Помогло решение? Оставьте отзыв в комментариях ниже.

Присоединяйтесь к Телеграм-группе @gdz_by_belarus

Присоединиться

Мы подготовили для вас ответ c подробным объяснением домашего задания по алгебре за 7-9 класс, для упражнения номер 18.7 расположенного на странице 83 к сборнику задач 2020 года издания для учащихся школ и гимназий.

Теперь на нашем сайте ГДЗ.ТОП вы всегда легко и бесплатно найдёте условие с правильным ответом на вопрос «Как решить ДЗ» и «Как сделать» задание по алгебре к упражнению №18.7 (с. 83), авторов: Арефьева (Ирина Глебовна), Пирютко (Ольга Николаевна), учебного пособия издательства Народная асвета.