Номер 1.64, страница 14 - гдз по алгебре 7-9 класс сборник задач Арефьева, Пирютко

Алгебра, 7-9 класс Сборник задач, авторы: Арефьева Ирина Глебовна, Пирютко Ольга Николаевна, издательство Народная асвета, Минск, 2020

Авторы: Арефьева И. Г., Пирютко О. Н.

Тип: Сборник задач

Издательство: Народная асвета

Год издания: 2020 - 2026

Цвет обложки: синий с графиками

Допущено Министерством образования Республики Беларусь

Популярные ГДЗ в 7 классе

7 класс. Параграф 1. Степень с натуральным показателем и ее свойства - номер 1.64, страница 14.

№1.64 (с. 14)
Условие. №1.64 (с. 14)
скриншот условия
Алгебра, 7-9 класс Сборник задач, авторы: Арефьева Ирина Глебовна, Пирютко Ольга Николаевна, издательство Народная асвета, Минск, 2020, страница 14, номер 1.64, Условие

1.64*. Вычислите, используя свойства степени:

а) $ (6^{27} : 6^{30}) \cdot (-6)^4; $

б) $ ((-7)^{14} \cdot (-7)^{19}) : 7^{33}; $

в) $ ((-81)^3 : 9^2) : 3^3; $

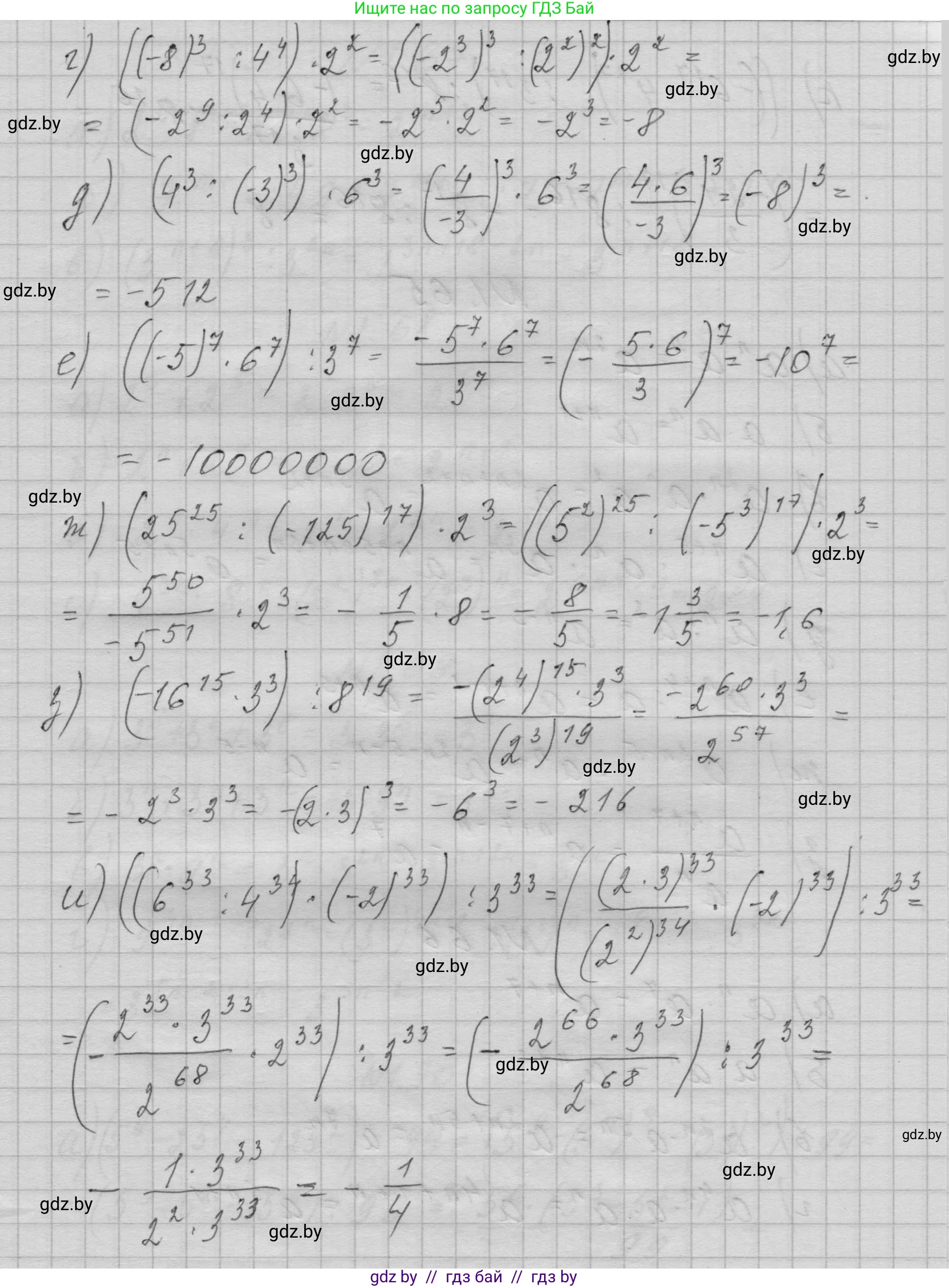
г) $ ((-8)^3 : 4^4) \cdot 2^2; $

д) $ (4^3 : (-3)^3) \cdot 6^3; $

е) $ ((-5)^7 \cdot 6^7) : 3^7; $

ж) $ (25^{25} : (-125)^{17}) \cdot 2^3; $

з) $ (-16^{15} \cdot 3^3) : 8^{19}; $

и) $ (((6^{33} : 4^{34}) \cdot (-2)^{33}) : 3^{33}; $

к) $ (((-6^{17} \cdot 4^{17}) : 3^{17}) : 8^{16}. $

Решение. №1.64 (с. 14)
Алгебра, 7-9 класс Сборник задач, авторы: Арефьева Ирина Глебовна, Пирютко Ольга Николаевна, издательство Народная асвета, Минск, 2020, страница 14, номер 1.64, Решение Алгебра, 7-9 класс Сборник задач, авторы: Арефьева Ирина Глебовна, Пирютко Ольга Николаевна, издательство Народная асвета, Минск, 2020, страница 14, номер 1.64, Решение (продолжение 2)
Решение 2. №1.64 (с. 14)

а) $(6^{27} : 6^{30}) \cdot (-6)^4$

При делении степеней с одинаковым основанием их показатели вычитаются ($a^m : a^n = a^{m-n}$). Отрицательное число в четной степени становится положительным ($(-a)^{2k} = a^{2k}$). При умножении степеней с одинаковым основанием их показатели складываются ($a^m \cdot a^n = a^{m+n}$).

$(6^{27} : 6^{30}) \cdot (-6)^4 = 6^{27-30} \cdot 6^4 = 6^{-3} \cdot 6^4 = 6^{-3+4} = 6^1 = 6$

Ответ: 6

б) $( ((-7)^{14} \cdot (-7)^{19}) : 7^{33} )$

При умножении степеней с одинаковым основанием их показатели складываются. Отрицательное число в нечетной степени остается отрицательным ($(-a)^{2k+1} = -a^{2k+1}$).

$ ((-7)^{14} \cdot (-7)^{19}) : 7^{33} = (-7)^{14+19} : 7^{33} = (-7)^{33} : 7^{33} = -7^{33} : 7^{33} = -(7^{33}:7^{33}) = -7^{33-33} = -7^0 = -1$

Ответ: -1

в) $( ((-81)^3 : 9^2) : 3^3 )$

Представим основания 81 и 9 в виде степеней числа 3 ($81=3^4$, $9=3^2$). Затем используем свойство возведения степени в степень ($(a^m)^n = a^{m \cdot n}$) и свойство деления степеней.

$(((-81)^3 : 9^2) : 3^3) = ((-(3^4))^3 : (3^2)^2) : 3^3 = (-3^{4 \cdot 3} : 3^{2 \cdot 2}) : 3^3 = (-3^{12} : 3^4) : 3^3 = -3^{12-4} : 3^3 = -3^8 : 3^3 = -3^{8-3} = -3^5 = -243$

Ответ: -243

г) $( ((-8)^3 : 4^4) \cdot 2^2 )$

Представим основания 8 и 4 в виде степеней числа 2 ($8=2^3$, $4=2^2$) и применим свойства степеней.

$(((-8)^3 : 4^4) \cdot 2^2) = ((-(2^3))^3 : (2^2)^4) \cdot 2^2 = (-2^{3 \cdot 3} : 2^{2 \cdot 4}) \cdot 2^2 = (-2^9 : 2^8) \cdot 2^2 = -2^{9-8} \cdot 2^2 = -2^1 \cdot 2^2 = -2^{1+2} = -2^3 = -8$

Ответ: -8

д) $(4^3 : (-3)^3) \cdot 6^3$

Так как показатели степеней одинаковы, можно выполнить действия с основаниями, используя свойства $(a:b)^n=a^n:b^n$ и $(a \cdot b)^n=a^n \cdot b^n$.

$(4^3 : (-3)^3) \cdot 6^3 = (4 : (-3))^3 \cdot 6^3 = ( (4 : (-3)) \cdot 6 )^3 = (-\frac{4}{3} \cdot 6)^3 = (-4 \cdot 2)^3 = (-8)^3 = -512$

Ответ: -512

е) $( ((-5)^7 \cdot 6^7) : 3^7 )$

Так как показатели степеней одинаковы, можно выполнить действия с основаниями.

$(((-5)^7 \cdot 6^7) : 3^7) = ((-5 \cdot 6) : 3)^7 = (-30 : 3)^7 = (-10)^7 = -10000000$

Ответ: -10000000

ж) $(25^{25} : (-125)^{17}) \cdot 2^3$

Представим основания 25 и 125 в виде степеней числа 5 ($25=5^2$, $125=5^3$) и применим свойства степеней.

$(25^{25} : (-125)^{17}) \cdot 2^3 = ((5^2)^{25} : (-(5^3))^{17}) \cdot 2^3 = (5^{50} : (-5^{51})) \cdot 2^3 = -(5^{50-51}) \cdot 8 = -5^{-1} \cdot 8 = -\frac{1}{5} \cdot 8 = -\frac{8}{5} = -1.6$

Ответ: -1.6

з) $(-16^{15} \cdot 3^3) : 8^{19}$

Запись $-16^{15}$ означает $-(16^{15})$. Представим 16 и 8 как степени числа 2 ($16 = 2^4$, $8 = 2^3$) и применим свойства степеней.

$(-16^{15} \cdot 3^3) : 8^{19} = (-(2^4)^{15} \cdot 3^3) : (2^3)^{19} = (-2^{60} \cdot 3^3) : 2^{57} = -(2^{60}:2^{57}) \cdot 3^3 = -2^{60-57} \cdot 3^3 = -2^3 \cdot 3^3 = -(2 \cdot 3)^3 = -6^3 = -216$

Ответ: -216

и) $ (((6^{33} : 4^{34}) \cdot (-2)^{33}) : 3^{33}) $

Разложим основания на простые множители ($6=2 \cdot 3$, $4=2^2$) и последовательно выполним действия, применяя свойства степеней.

$((( (2 \cdot 3)^{33} : (2^2)^{34}) \cdot (-2)^{33}) : 3^{33}) = (((2^{33} \cdot 3^{33}) : 2^{68}) \cdot (-1)^{33} \cdot 2^{33}) : 3^{33} = ((2^{33-68} \cdot 3^{33}) \cdot (-1) \cdot 2^{33}) : 3^{33} = (-2^{-35} \cdot 2^{33} \cdot 3^{33}) : 3^{33} = (-2^{-35+33} \cdot 3^{33}) : 3^{33} = (-2^{-2} \cdot 3^{33}) : 3^{33} = -2^{-2} \cdot (3^{33}:3^{33}) = -2^{-2} = -\frac{1}{4}$

Ответ: -1/4

к) $ (((-6)^{17} \cdot 4^{17}) : 3^{17}) : 8^{16} $

В первых скобках показатели степеней одинаковы (17), поэтому можно выполнить действия с основаниями. Затем выполним деление степеней.

$(((-6)^{17} \cdot 4^{17}) : 3^{17}) : 8^{16} = ( ((-6 \cdot 4) : 3)^{17} ) : 8^{16} = ((-24) : 3)^{17} : 8^{16} = (-8)^{17} : 8^{16} = -8^{17} : 8^{16} = -8^{17-16} = -8^1 = -8$

Ответ: -8

Помогло решение? Оставьте отзыв в комментариях ниже.

Присоединяйтесь к Телеграм-группе @gdz_by_belarus

Присоединиться

Мы подготовили для вас ответ c подробным объяснением домашего задания по алгебре за 7-9 класс, для упражнения номер 1.64 расположенного на странице 14 к сборнику задач 2020 года издания для учащихся школ и гимназий.

Теперь на нашем сайте ГДЗ.ТОП вы всегда легко и бесплатно найдёте условие с правильным ответом на вопрос «Как решить ДЗ» и «Как сделать» задание по алгебре к упражнению №1.64 (с. 14), авторов: Арефьева (Ирина Глебовна), Пирютко (Ольга Николаевна), учебного пособия издательства Народная асвета.