Номер 23.33, страница 109 - гдз по алгебре 7-9 класс сборник задач Арефьева, Пирютко

Алгебра, 7-9 класс Сборник задач, авторы: Арефьева Ирина Глебовна, Пирютко Ольга Николаевна, издательство Народная асвета, Минск, 2020

Авторы: Арефьева И. Г., Пирютко О. Н.

Тип: Сборник задач

Издательство: Народная асвета

Год издания: 2020 - 2026

Цвет обложки: синий с графиками

Допущено Министерством образования Республики Беларусь

Популярные ГДЗ в 7 классе

8 класс. Параграф 23. Применение свойств квадратных корней - номер 23.33, страница 109.

№23.33 (с. 109)
Условие. №23.33 (с. 109)
скриншот условия
Алгебра, 7-9 класс Сборник задач, авторы: Арефьева Ирина Глебовна, Пирютко Ольга Николаевна, издательство Народная асвета, Минск, 2020, страница 109, номер 23.33, Условие

23.33. Докажите, что значение выражения является целым числом:

a) $(\frac{12}{\sqrt{15}-3} - \frac{28}{\sqrt{15}-1} + \frac{1}{2-\sqrt{3}})(6-\sqrt{3});$

б) $(\frac{12}{\sqrt{13}-3} - \frac{36}{\sqrt{13}-1} + \frac{2}{1-\sqrt{2}})(4+2\sqrt{2}).$

Решение. №23.33 (с. 109)
Алгебра, 7-9 класс Сборник задач, авторы: Арефьева Ирина Глебовна, Пирютко Ольга Николаевна, издательство Народная асвета, Минск, 2020, страница 109, номер 23.33, Решение Алгебра, 7-9 класс Сборник задач, авторы: Арефьева Ирина Глебовна, Пирютко Ольга Николаевна, издательство Народная асвета, Минск, 2020, страница 109, номер 23.33, Решение (продолжение 2)
Решение 2. №23.33 (с. 109)

а)

Чтобы доказать, что значение выражения является целым числом, упростим его. Для этого сначала преобразуем каждое слагаемое в скобках, избавившись от иррациональности в знаменателе.

1. Упростим первую дробь $\frac{12}{\sqrt{15}-3}$.
Домножим числитель и знаменатель на сопряженное к знаменателю выражение $\sqrt{15}+3$ и применим формулу разности квадратов $(a-b)(a+b)=a^2-b^2$:
$\frac{12}{\sqrt{15}-3} = \frac{12(\sqrt{15}+3)}{(\sqrt{15}-3)(\sqrt{15}+3)} = \frac{12(\sqrt{15}+3)}{(\sqrt{15})^2 - 3^2} = \frac{12(\sqrt{15}+3)}{15 - 9} = \frac{12(\sqrt{15}+3)}{6} = 2(\sqrt{15}+3) = 2\sqrt{15}+6$.

2. Упростим вторую дробь $\frac{28}{\sqrt{15}-1}$.
Домножим числитель и знаменатель на сопряженное выражение $\sqrt{15}+1$:
$\frac{28}{\sqrt{15}-1} = \frac{28(\sqrt{15}+1)}{(\sqrt{15}-1)(\sqrt{15}+1)} = \frac{28(\sqrt{15}+1)}{(\sqrt{15})^2 - 1^2} = \frac{28(\sqrt{15}+1)}{15 - 1} = \frac{28(\sqrt{15}+1)}{14} = 2(\sqrt{15}+1) = 2\sqrt{15}+2$.

3. Упростим третью дробь $\frac{1}{2-\sqrt{3}}$.
Домножим числитель и знаменатель на сопряженное выражение $2+\sqrt{3}$:
$\frac{1}{2-\sqrt{3}} = \frac{1(2+\sqrt{3})}{(2-\sqrt{3})(2+\sqrt{3})} = \frac{2+\sqrt{3}}{2^2 - (\sqrt{3})^2} = \frac{2+\sqrt{3}}{4 - 3} = \frac{2+\sqrt{3}}{1} = 2+\sqrt{3}$.

4. Теперь подставим полученные значения в скобки и упростим выражение:
$(\frac{12}{\sqrt{15}-3} - \frac{28}{\sqrt{15}-1} + \frac{1}{2-\sqrt{3}}) = (2\sqrt{15}+6) - (2\sqrt{15}+2) + (2+\sqrt{3}) = 2\sqrt{15}+6 - 2\sqrt{15} - 2 + 2 + \sqrt{3} = (2\sqrt{15}-2\sqrt{15}) + (6-2+2) + \sqrt{3} = 6+\sqrt{3}$.

5. Наконец, умножим результат на второй множитель $(6-\sqrt{3})$:
$(6+\sqrt{3})(6-\sqrt{3})$.
Снова используем формулу разности квадратов:
$6^2 - (\sqrt{3})^2 = 36 - 3 = 33$.

Значение выражения равно 33. Так как 33 является целым числом, утверждение доказано.

Ответ: 33.


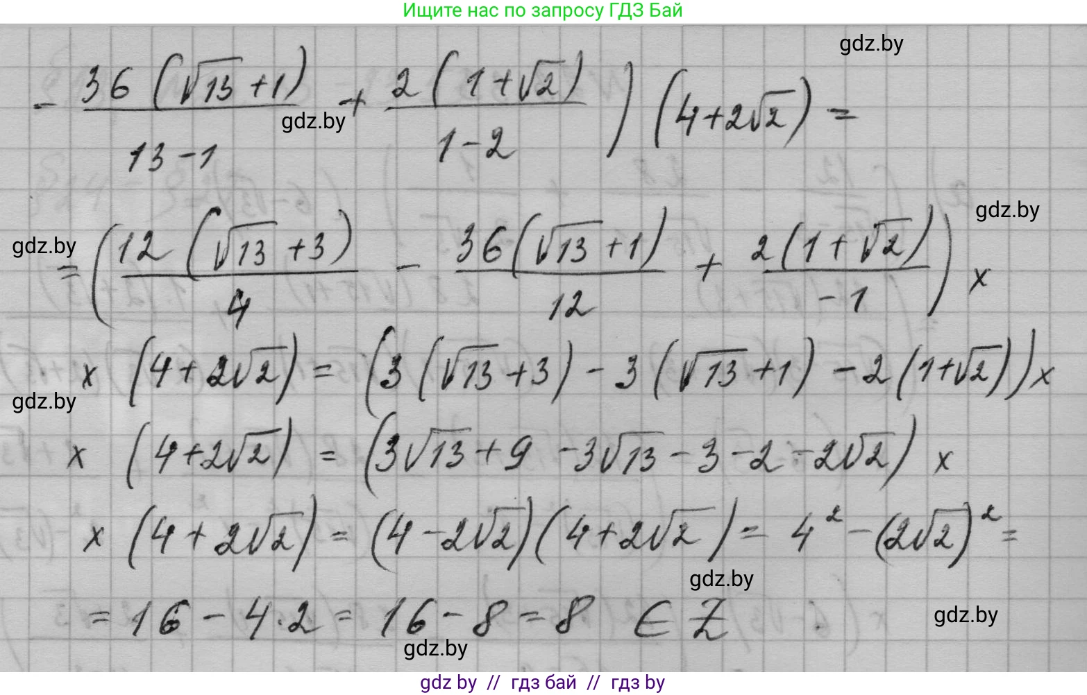
б)

Аналогично предыдущему пункту, докажем, что значение выражения является целым числом, путем его упрощения. Сначала преобразуем дроби в скобках.

1. Упростим первую дробь $\frac{12}{\sqrt{13}-3}$.
Домножим числитель и знаменатель на сопряженное выражение $\sqrt{13}+3$:
$\frac{12}{\sqrt{13}-3} = \frac{12(\sqrt{13}+3)}{(\sqrt{13}-3)(\sqrt{13}+3)} = \frac{12(\sqrt{13}+3)}{(\sqrt{13})^2 - 3^2} = \frac{12(\sqrt{13}+3)}{13 - 9} = \frac{12(\sqrt{13}+3)}{4} = 3(\sqrt{13}+3) = 3\sqrt{13}+9$.

2. Упростим вторую дробь $\frac{36}{\sqrt{13}-1}$.
Домножим числитель и знаменатель на сопряженное выражение $\sqrt{13}+1$:
$\frac{36}{\sqrt{13}-1} = \frac{36(\sqrt{13}+1)}{(\sqrt{13}-1)(\sqrt{13}+1)} = \frac{36(\sqrt{13}+1)}{(\sqrt{13})^2 - 1^2} = \frac{36(\sqrt{13}+1)}{13 - 1} = \frac{36(\sqrt{13}+1)}{12} = 3(\sqrt{13}+1) = 3\sqrt{13}+3$.

3. Упростим третью дробь $\frac{2}{1-\sqrt{2}}$.
Домножим числитель и знаменатель на сопряженное выражение $1+\sqrt{2}$:
$\frac{2}{1-\sqrt{2}} = \frac{2(1+\sqrt{2})}{(1-\sqrt{2})(1+\sqrt{2})} = \frac{2(1+\sqrt{2})}{1^2 - (\sqrt{2})^2} = \frac{2(1+\sqrt{2})}{1 - 2} = \frac{2(1+\sqrt{2})}{-1} = -2(1+\sqrt{2}) = -2-2\sqrt{2}$.

4. Подставим упрощенные выражения в скобки:
$(\frac{12}{\sqrt{13}-3} - \frac{36}{\sqrt{13}-1} + \frac{2}{1-\sqrt{2}}) = (3\sqrt{13}+9) - (3\sqrt{13}+3) + (-2-2\sqrt{2}) = 3\sqrt{13}+9 - 3\sqrt{13} - 3 - 2 - 2\sqrt{2} = (3\sqrt{13}-3\sqrt{13})+(9-3-2)-2\sqrt{2} = 4-2\sqrt{2}$.

5. Умножим полученный результат на второй множитель $(4+2\sqrt{2})$:
$(4-2\sqrt{2})(4+2\sqrt{2})$.
Применяем формулу разности квадратов:
$4^2 - (2\sqrt{2})^2 = 16 - (4 \cdot 2) = 16 - 8 = 8$.

Значение выражения равно 8. Так как 8 является целым числом, утверждение доказано.

Ответ: 8.

Помогло решение? Оставьте отзыв в комментариях ниже.

Присоединяйтесь к Телеграм-группе @gdz_by_belarus

Присоединиться

Мы подготовили для вас ответ c подробным объяснением домашего задания по алгебре за 7-9 класс, для упражнения номер 23.33 расположенного на странице 109 к сборнику задач 2020 года издания для учащихся школ и гимназий.

Теперь на нашем сайте ГДЗ.ТОП вы всегда легко и бесплатно найдёте условие с правильным ответом на вопрос «Как решить ДЗ» и «Как сделать» задание по алгебре к упражнению №23.33 (с. 109), авторов: Арефьева (Ирина Глебовна), Пирютко (Ольга Николаевна), учебного пособия издательства Народная асвета.