Номер 29.41, страница 137 - гдз по алгебре 7-9 класс сборник задач Арефьева, Пирютко

Алгебра, 7-9 класс Сборник задач, авторы: Арефьева Ирина Глебовна, Пирютко Ольга Николаевна, издательство Народная асвета, Минск, 2020

Авторы: Арефьева И. Г., Пирютко О. Н.

Тип: Сборник задач

Издательство: Народная асвета

Год издания: 2020 - 2026

Цвет обложки: синий с графиками

Допущено Министерством образования Республики Беларусь

Популярные ГДЗ в 7 классе

8 класс. Параграф 29. Квадратичная функция и ее свойства - номер 29.41, страница 137.

№29.41 (с. 137)
Условие. №29.41 (с. 137)
скриншот условия
Алгебра, 7-9 класс Сборник задач, авторы: Арефьева Ирина Глебовна, Пирютко Ольга Николаевна, издательство Народная асвета, Минск, 2020, страница 137, номер 29.41, Условие

29.41*. Найдите координаты точек пересечения параболы:

a) $y = x^2 - 10$ и прямой $y = 4x + 11$;

б) $y = x^2 - 15$ и прямой $y = 2x + 9$.

Решение. №29.41 (с. 137)
Алгебра, 7-9 класс Сборник задач, авторы: Арефьева Ирина Глебовна, Пирютко Ольга Николаевна, издательство Народная асвета, Минск, 2020, страница 137, номер 29.41, Решение Алгебра, 7-9 класс Сборник задач, авторы: Арефьева Ирина Глебовна, Пирютко Ольга Николаевна, издательство Народная асвета, Минск, 2020, страница 137, номер 29.41, Решение (продолжение 2)
Решение 2. №29.41 (с. 137)

а) $y = x^2 - 10$ и прямой $y = 4x + 11$

Чтобы найти координаты точек пересечения графиков, нужно решить систему уравнений, состоящую из уравнений параболы и прямой. В точках пересечения координаты $x$ и $y$ у обоих графиков совпадают.
$ \begin{cases} y = x^2 - 10 \\ y = 4x + 11 \end{cases} $
Приравняем правые части уравнений, так как левые части равны ($y=y$):
$x^2 - 10 = 4x + 11$
Перенесем все члены уравнения в одну сторону, чтобы получить стандартное квадратное уравнение вида $ax^2 + bx + c = 0$:
$x^2 - 4x - 10 - 11 = 0$
$x^2 - 4x - 21 = 0$
Решим полученное квадратное уравнение. Можно использовать теорему Виета или формулу для нахождения корней через дискриминант.
Найдем дискриминант ($D = b^2 - 4ac$):
$D = (-4)^2 - 4 \cdot 1 \cdot (-21) = 16 + 84 = 100$
Так как $D > 0$, уравнение имеет два различных корня.
Найдем корни уравнения (это будут абсциссы точек пересечения):
$x_1 = \frac{-b + \sqrt{D}}{2a} = \frac{4 + \sqrt{100}}{2 \cdot 1} = \frac{4 + 10}{2} = \frac{14}{2} = 7$
$x_2 = \frac{-b - \sqrt{D}}{2a} = \frac{4 - \sqrt{100}}{2 \cdot 1} = \frac{4 - 10}{2} = \frac{-6}{2} = -3$
Теперь найдем ординаты ($y$) этих точек, подставив найденные значения $x$ в любое из исходных уравнений. Удобнее использовать уравнение прямой $y = 4x + 11$.
Для $x_1 = 7$:
$y_1 = 4(7) + 11 = 28 + 11 = 39$
Первая точка пересечения имеет координаты $(7, 39)$.
Для $x_2 = -3$:
$y_2 = 4(-3) + 11 = -12 + 11 = -1$
Вторая точка пересечения имеет координаты $(-3, -1)$.
Ответ: $(7, 39)$ и $(-3, -1)$.

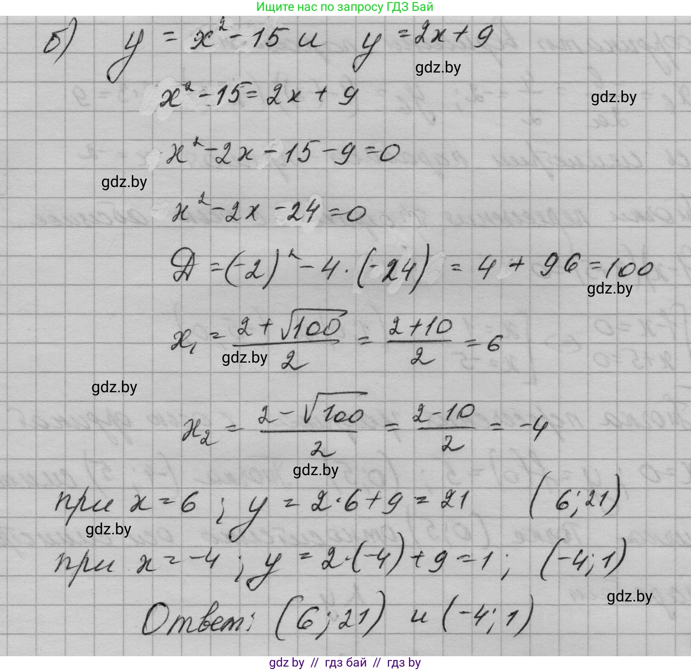
б) $y = x^2 - 15$ и прямой $y = 2x + 9$

Аналогично предыдущему пункту, решим систему уравнений:
$ \begin{cases} y = x^2 - 15 \\ y = 2x + 9 \end{cases} $
Приравниваем правые части:
$x^2 - 15 = 2x + 9$
Приводим к стандартному виду квадратного уравнения:
$x^2 - 2x - 15 - 9 = 0$
$x^2 - 2x - 24 = 0$
Найдем дискриминант:
$D = (-2)^2 - 4 \cdot 1 \cdot (-24) = 4 + 96 = 100$
Найдем абсциссы точек пересечения:
$x_1 = \frac{-(-2) + \sqrt{100}}{2 \cdot 1} = \frac{2 + 10}{2} = \frac{12}{2} = 6$
$x_2 = \frac{-(-2) - \sqrt{100}}{2 \cdot 1} = \frac{2 - 10}{2} = \frac{-8}{2} = -4$
Найдем соответствующие ординаты, подставив $x$ в уравнение прямой $y = 2x + 9$.
Для $x_1 = 6$:
$y_1 = 2(6) + 9 = 12 + 9 = 21$
Первая точка пересечения: $(6, 21)$.
Для $x_2 = -4$:
$y_2 = 2(-4) + 9 = -8 + 9 = 1$
Вторая точка пересечения: $(-4, 1)$.
Ответ: $(6, 21)$ и $(-4, 1)$.

Помогло решение? Оставьте отзыв в комментариях ниже.

Присоединяйтесь к Телеграм-группе @gdz_by_belarus

Присоединиться

Мы подготовили для вас ответ c подробным объяснением домашего задания по алгебре за 7-9 класс, для упражнения номер 29.41 расположенного на странице 137 к сборнику задач 2020 года издания для учащихся школ и гимназий.

Теперь на нашем сайте ГДЗ.ТОП вы всегда легко и бесплатно найдёте условие с правильным ответом на вопрос «Как решить ДЗ» и «Как сделать» задание по алгебре к упражнению №29.41 (с. 137), авторов: Арефьева (Ирина Глебовна), Пирютко (Ольга Николаевна), учебного пособия издательства Народная асвета.