Номер 1.146, страница 31 - гдз по алгебре 7 класс учебник Арефьева, Пирютко

Алгебра, 7 класс Учебник, авторы: Арефьева Ирина Глебовна, Пирютко Ольга Николаевна, издательство Народная асвета, Минск, 2022, зелёного цвета

Авторы: Арефьева И. Г., Пирютко О. Н.

Тип: Учебник

Издательство: Народная асвета

Год издания: 2022 - 2026

Цвет обложки: зелёный с графиком

ISBN: ISBN 978-985-03-3770-2

Допущено Министерством образования Республики Беларусь

Популярные ГДЗ в 7 классе

Глава 1. Степень с натуральным и целым показателями. Параграф 2. Степень с целым показателем и ее свойства - номер 1.146, страница 31.

№1.146 (с. 31)
Условие. №1.146 (с. 31)
скриншот условия
Алгебра, 7 класс Учебник, авторы: Арефьева Ирина Глебовна, Пирютко Ольга Николаевна, издательство Народная асвета, Минск, 2022, зелёного цвета, страница 31, номер 1.146, Условие

1.146. Установите порядок действий и найдите значение выражения:

а) $-2^5 \cdot 4^{-3}$;

б) $(-10)^{-5} \cdot 5^4$;

в) $(-\frac{3}{8})^{-1} + 3^{-2}$;

г) $(-6)^{-2} + (-3)^{-3}$;

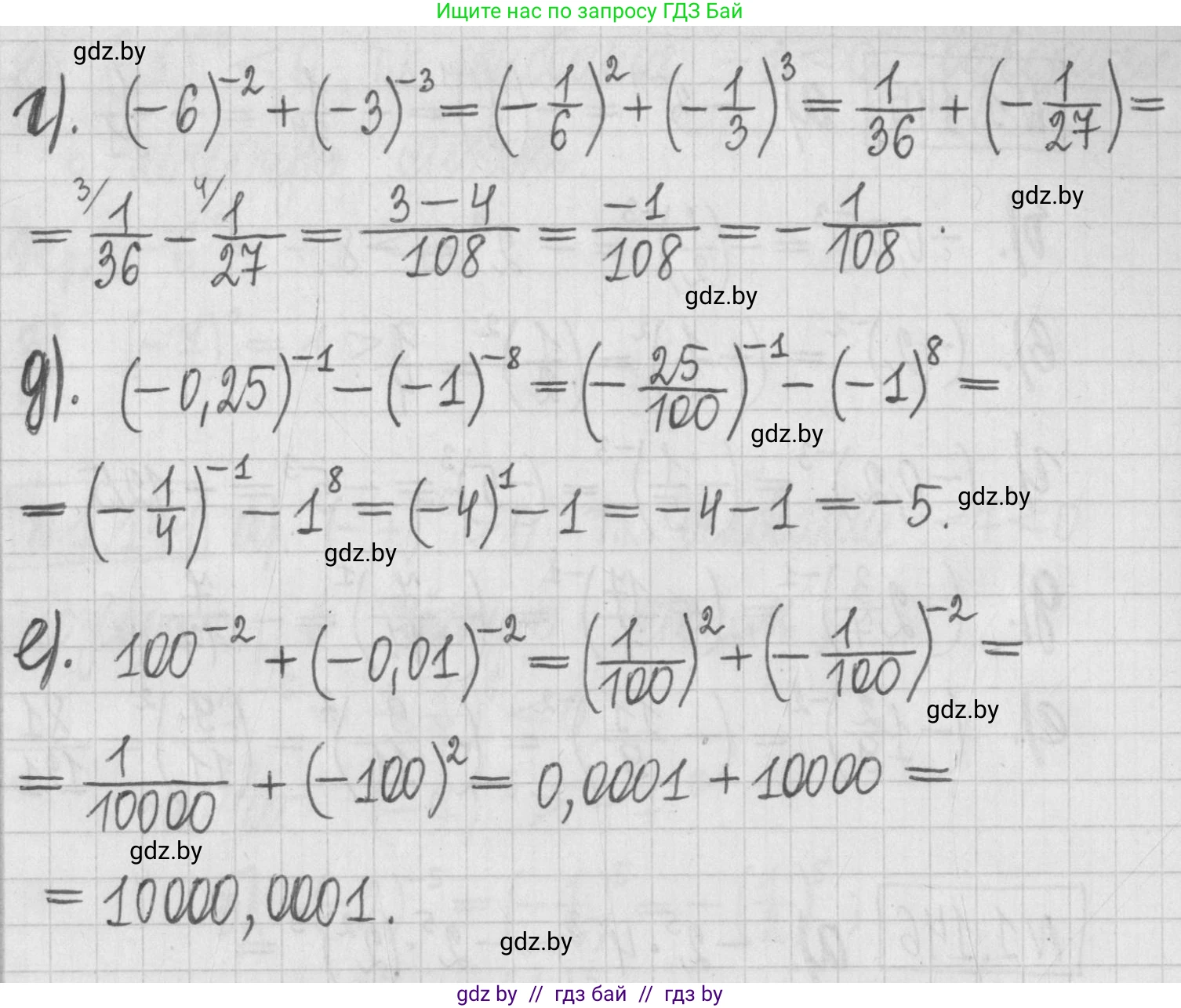
д) $(-0,25)^{-1} - (-1)^{-8}$;

е) $100^{-2} + (-0,01)^{-2}$.

Решение. №1.146 (с. 31)
Алгебра, 7 класс Учебник, авторы: Арефьева Ирина Глебовна, Пирютко Ольга Николаевна, издательство Народная асвета, Минск, 2022, зелёного цвета, страница 31, номер 1.146, Решение Алгебра, 7 класс Учебник, авторы: Арефьева Ирина Глебовна, Пирютко Ольга Николаевна, издательство Народная асвета, Минск, 2022, зелёного цвета, страница 31, номер 1.146, Решение (продолжение 2)
Решение 2. №1.146 (с. 31)

а) $-2^5 \cdot 4^{-3}$

Порядок действий: сначала возведение в степень, затем умножение.

  1. Возводим в степень первое число. Обратите внимание, что минус не находится в скобках, поэтому в степень возводится только число 2: $ -2^5 = -(2 \cdot 2 \cdot 2 \cdot 2 \cdot 2) = -32 $.
  2. Возводим в степень второе число, используя свойство степени с отрицательным показателем $a^{-n} = \frac{1}{a^n}$: $ 4^{-3} = \frac{1}{4^3} = \frac{1}{64} $.
  3. Выполняем умножение: $ -32 \cdot \frac{1}{64} = -\frac{32}{64} = -\frac{1}{2} $.

Ответ: $-\frac{1}{2}$

б) $(-10)^{-5} \cdot 5^4$

Порядок действий: сначала возведение в степень, затем умножение.

  1. Представим основание $-10$ как произведение $-1 \cdot 2 \cdot 5$. Тогда выражение примет вид: $ ((-1) \cdot 2 \cdot 5)^{-5} \cdot 5^4 $.
  2. Используя свойство степени произведения $(abc)^n = a^n b^n c^n$, раскроем скобки: $ (-1)^{-5} \cdot 2^{-5} \cdot 5^{-5} \cdot 5^4 $.
  3. Вычисляем степени:
    • $(-1)^{-5} = \frac{1}{(-1)^5} = -1$ (нечетная степень отрицательного числа).
    • $2^{-5} = \frac{1}{2^5} = \frac{1}{32}$.
    • При умножении степеней с одинаковым основанием их показатели складываются: $5^{-5} \cdot 5^4 = 5^{-5+4} = 5^{-1} = \frac{1}{5}$.
  4. Перемножаем полученные результаты: $ -1 \cdot \frac{1}{32} \cdot \frac{1}{5} = -\frac{1}{32 \cdot 5} = -\frac{1}{160} $.

Ответ: $-\frac{1}{160}$

в) $(-\frac{3}{8})^{-1} + 3^{-2}$

Порядок действий: сначала возведение в степень, затем сложение.

  1. Возводим в степень первое слагаемое, используя свойство $(\frac{a}{b})^{-n} = (\frac{b}{a})^n$: $ (-\frac{3}{8})^{-1} = (-\frac{8}{3})^1 = -\frac{8}{3} $.
  2. Возводим в степень второе слагаемое: $ 3^{-2} = \frac{1}{3^2} = \frac{1}{9} $.
  3. Складываем полученные дроби, приводя их к общему знаменателю 9: $ -\frac{8}{3} + \frac{1}{9} = -\frac{8 \cdot 3}{3 \cdot 3} + \frac{1}{9} = -\frac{24}{9} + \frac{1}{9} = \frac{-24+1}{9} = -\frac{23}{9} $.
  4. Преобразуем неправильную дробь в смешанное число: $ -\frac{23}{9} = -2\frac{5}{9} $.

Ответ: -2$\frac{5}{9}$

г) $(-6)^{-2} + (-3)^{-3}$

Порядок действий: сначала возведение в степень, затем сложение.

  1. Возводим в степень первое слагаемое. Так как показатель степени четный, результат будет положительным: $ (-6)^{-2} = \frac{1}{(-6)^2} = \frac{1}{36} $.
  2. Возводим в степень второе слагаемое. Так как показатель степени нечетный, результат будет отрицательным: $ (-3)^{-3} = \frac{1}{(-3)^3} = \frac{1}{-27} = -\frac{1}{27} $.
  3. Складываем полученные дроби: $ \frac{1}{36} + (-\frac{1}{27}) = \frac{1}{36} - \frac{1}{27} $.
  4. Находим общий знаменатель для 36 и 27. $36 = 2^2 \cdot 3^2$, $27 = 3^3$. Наименьший общий знаменатель: $2^2 \cdot 3^3 = 4 \cdot 27 = 108$.
  5. Приводим дроби к общему знаменателю и вычисляем: $ \frac{1 \cdot 3}{36 \cdot 3} - \frac{1 \cdot 4}{27 \cdot 4} = \frac{3}{108} - \frac{4}{108} = \frac{3-4}{108} = -\frac{1}{108} $.

Ответ: $-\frac{1}{108}$

д) $(-0,25)^{-1} - (-1)^{-8}$

Порядок действий: сначала возведение в степень, затем вычитание. Для удобства переведем десятичную дробь в обыкновенную.

  1. $ -0,25 = -\frac{25}{100} = -\frac{1}{4} $.
  2. Возводим в степень первое число: $ (-\frac{1}{4})^{-1} = (-\frac{4}{1})^1 = -4 $.
  3. Возводим в степень второе число. Так как показатель степени -8 четный, результат будет положительным: $ (-1)^{-8} = \frac{1}{(-1)^8} = \frac{1}{1} = 1 $.
  4. Выполняем вычитание: $ -4 - 1 = -5 $.

Ответ: -5

е) $100^{-2} + (-0,01)^{-2}$

Порядок действий: сначала возведение в степень, затем сложение.

  1. Возводим в степень первое слагаемое: $ 100^{-2} = \frac{1}{100^2} = \frac{1}{10000} = 0,0001 $.
  2. Представим второе слагаемое в виде обыкновенной дроби: $ -0,01 = -\frac{1}{100} $.
  3. Возводим в степень второе слагаемое. Так как показатель степени -2 четный, результат будет положительным: $ (-\frac{1}{100})^{-2} = (-100)^2 = 10000 $.
  4. Складываем полученные результаты: $ 0,0001 + 10000 = 10000,0001 $.

Ответ: 10000,0001

Помогло решение? Оставьте отзыв в комментариях ниже.

Присоединяйтесь к Телеграм-группе @gdz_by_belarus

Присоединиться

Мы подготовили для вас ответ c подробным объяснением домашего задания по алгебре за 7 класс, для упражнения номер 1.146 расположенного на странице 31 к учебнику 2022 года издания для учащихся школ и гимназий.

Теперь на нашем сайте ГДЗ.ТОП вы всегда легко и бесплатно найдёте условие с правильным ответом на вопрос «Как решить ДЗ» и «Как сделать» задание по алгебре к упражнению №1.146 (с. 31), авторов: Арефьева (Ирина Глебовна), Пирютко (Ольга Николаевна), учебного пособия издательства Народная асвета.