Номер 1.188, страница 39 - гдз по алгебре 7 класс учебник Арефьева, Пирютко

Алгебра, 7 класс Учебник, авторы: Арефьева Ирина Глебовна, Пирютко Ольга Николаевна, издательство Народная асвета, Минск, 2022, зелёного цвета

Авторы: Арефьева И. Г., Пирютко О. Н.

Тип: Учебник

Издательство: Народная асвета

Год издания: 2022 - 2026

Цвет обложки: зелёный с графиком

ISBN: ISBN 978-985-03-3770-2

Допущено Министерством образования Республики Беларусь

Популярные ГДЗ в 7 классе

Глава 1. Степень с натуральным и целым показателями. Параграф 3. Стандартный вид числа - номер 1.188, страница 39.

№1.188 (с. 39)
Условие. №1.188 (с. 39)
скриншот условия
Алгебра, 7 класс Учебник, авторы: Арефьева Ирина Глебовна, Пирютко Ольга Николаевна, издательство Народная асвета, Минск, 2022, зелёного цвета, страница 39, номер 1.188, Условие

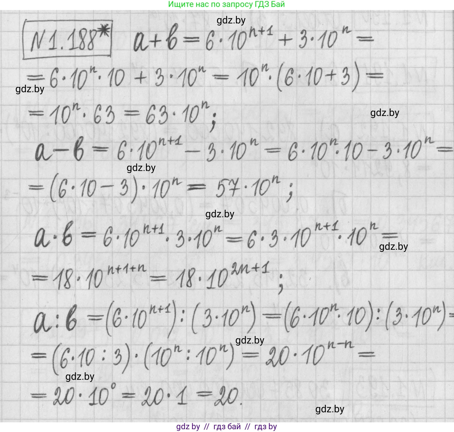
1.188* Упростите выражения $a+b$; $a-b$; $a \cdot b$; $a:b$, если $a=6 \cdot 10^{n+1}$; $b=3 \cdot 10^n$, где $n$ — целое число.

Решение. №1.188 (с. 39)
Алгебра, 7 класс Учебник, авторы: Арефьева Ирина Глебовна, Пирютко Ольга Николаевна, издательство Народная асвета, Минск, 2022, зелёного цвета, страница 39, номер 1.188, Решение
Решение 2. №1.188 (с. 39)

a + b;

Дано: $a = 6 \cdot 10^{n+1}$ и $b = 3 \cdot 10^n$.

Для того чтобы сложить выражения, приведем их к общему множителю, которым является $10^n$. Преобразуем выражение для $a$, используя свойство степеней $x^{m+k} = x^m \cdot x^k$:

$a = 6 \cdot 10^{n+1} = 6 \cdot 10^n \cdot 10^1 = 60 \cdot 10^n$

Теперь выполним сложение, вынеся общий множитель $10^n$ за скобки:

$a + b = 60 \cdot 10^n + 3 \cdot 10^n = (60 + 3) \cdot 10^n = 63 \cdot 10^n$

Ответ: $63 \cdot 10^n$.

a - b;

Используем преобразованное выражение $a = 60 \cdot 10^n$ и выполним вычитание:

$a - b = 60 \cdot 10^n - 3 \cdot 10^n = (60 - 3) \cdot 10^n = 57 \cdot 10^n$

Ответ: $57 \cdot 10^n$.

a · b;

Перемножим исходные выражения для $a$ и $b$:

$a \cdot b = (6 \cdot 10^{n+1}) \cdot (3 \cdot 10^n)$

Сгруппируем числовые коэффициенты и степени десяти, а затем применим свойство $x^m \cdot x^k = x^{m+k}$:

$a \cdot b = (6 \cdot 3) \cdot (10^{n+1} \cdot 10^n) = 18 \cdot 10^{(n+1)+n} = 18 \cdot 10^{2n+1}$

Ответ: $18 \cdot 10^{2n+1}$.

a : b;

Разделим выражение $a$ на выражение $b$:

$a : b = \frac{6 \cdot 10^{n+1}}{3 \cdot 10^n}$

Разделим отдельно числовые коэффициенты и степени, используя свойство $\frac{x^m}{x^k} = x^{m-k}$:

$a : b = \frac{6}{3} \cdot \frac{10^{n+1}}{10^n} = 2 \cdot 10^{(n+1)-n} = 2 \cdot 10^1 = 20$

Ответ: $20$.

Помогло решение? Оставьте отзыв в комментариях ниже.

Присоединяйтесь к Телеграм-группе @gdz_by_belarus

Присоединиться

Мы подготовили для вас ответ c подробным объяснением домашего задания по алгебре за 7 класс, для упражнения номер 1.188 расположенного на странице 39 к учебнику 2022 года издания для учащихся школ и гимназий.

Теперь на нашем сайте ГДЗ.ТОП вы всегда легко и бесплатно найдёте условие с правильным ответом на вопрос «Как решить ДЗ» и «Как сделать» задание по алгебре к упражнению №1.188 (с. 39), авторов: Арефьева (Ирина Глебовна), Пирютко (Ольга Николаевна), учебного пособия издательства Народная асвета.