Номер 1.22, страница 13 - гдз по алгебре 7 класс учебник Арефьева, Пирютко
Авторы: Арефьева И. Г., Пирютко О. Н.
Тип: Учебник
Издательство: Народная асвета
Год издания: 2022 - 2026
Цвет обложки: зелёный с графиком
ISBN: ISBN 978-985-03-3770-2
Допущено Министерством образования Республики Беларусь
Популярные ГДЗ в 7 классе
Глава 1. Степень с натуральным и целым показателями. Параграф 1. Степень с натуральным показателем и ее свойства - номер 1.22, страница 13.
№1.22 (с. 13)
Условие. №1.22 (с. 13)
скриншот условия
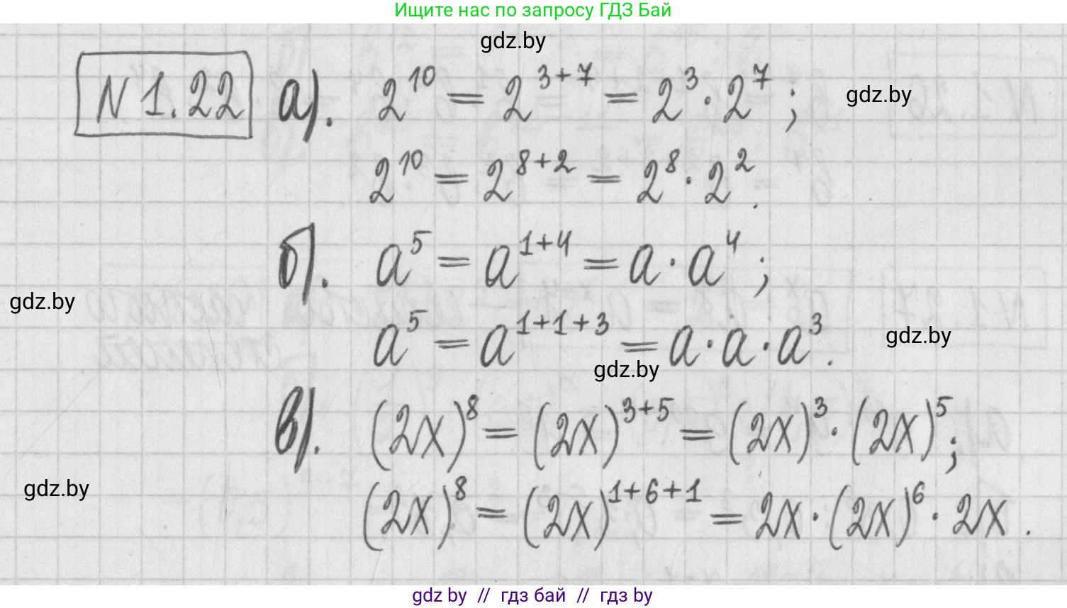
1.22. Представьте в виде произведения каких-либо степеней с одинаковыми основаниями степень:
а) $2^{10}$;
б) $a^5$;
в) $(2x)^8$.
Решение. №1.22 (с. 13)
Решение 2. №1.22 (с. 13)
Для решения этой задачи используется свойство умножения степеней с одинаковым основанием: $a^{m} \cdot a^{n} = a^{m+n}$. Чтобы представить степень в виде произведения, нужно выполнить обратное действие: разложить показатель степени на два или более слагаемых. Эти слагаемые станут новыми показателями степеней с тем же основанием. Поскольку способ разложения показателя на слагаемые не является единственным, для каждого пункта существует множество верных решений.
а) $2^{10}$
Основание степени равно 2, показатель — 10. Представим показатель 10 в виде суммы, например, $10 = 4 + 6$.
Применяя свойство умножения степеней, получаем:
$2^{10} = 2^{4+6} = 2^4 \cdot 2^6$
Ответ: $2^4 \cdot 2^6$
б) $a^5$
Основание степени равно $a$, показатель — 5. Представим показатель 5 в виде суммы, например, $5 = 2 + 3$.
Тогда:
$a^5 = a^{2+3} = a^2 \cdot a^3$
Ответ: $a^2 \cdot a^3$
в) $(2x)^8$
Основание степени равно $(2x)$, показатель — 8. Представим показатель 8 в виде суммы, например, $8 = 3 + 5$.
Следовательно:
$(2x)^8 = (2x)^{3+5} = (2x)^3 \cdot (2x)^5$
Ответ: $(2x)^3 \cdot (2x)^5$
Другие задания:
Помогло решение? Оставьте отзыв в комментариях ниже.
Присоединяйтесь к Телеграм-группе @gdz_by_belarus
ПрисоединитьсяМы подготовили для вас ответ c подробным объяснением домашего задания по алгебре за 7 класс, для упражнения номер 1.22 расположенного на странице 13 к учебнику 2022 года издания для учащихся школ и гимназий.
Теперь на нашем сайте ГДЗ.ТОП вы всегда легко и бесплатно найдёте условие с правильным ответом на вопрос «Как решить ДЗ» и «Как сделать» задание по алгебре к упражнению №1.22 (с. 13), авторов: Арефьева (Ирина Глебовна), Пирютко (Ольга Николаевна), учебного пособия издательства Народная асвета.