Номер 2.97, страница 72 - гдз по алгебре 7 класс учебник Арефьева, Пирютко

Алгебра, 7 класс Учебник, авторы: Арефьева Ирина Глебовна, Пирютко Ольга Николаевна, издательство Народная асвета, Минск, 2022, зелёного цвета

Авторы: Арефьева И. Г., Пирютко О. Н.

Тип: Учебник

Издательство: Народная асвета

Год издания: 2022 - 2026

Цвет обложки: зелёный с графиком

ISBN: ISBN 978-985-03-3770-2

Допущено Министерством образования Республики Беларусь

Популярные ГДЗ в 7 классе

Глава 2. Выражения и их преобразования. Параграф 7. Действия с одночленами - номер 2.97, страница 72.

№2.97 (с. 72)
Условие. №2.97 (с. 72)
скриншот условия
Алгебра, 7 класс Учебник, авторы: Арефьева Ирина Глебовна, Пирютко Ольга Николаевна, издательство Народная асвета, Минск, 2022, зелёного цвета, страница 72, номер 2.97, Условие

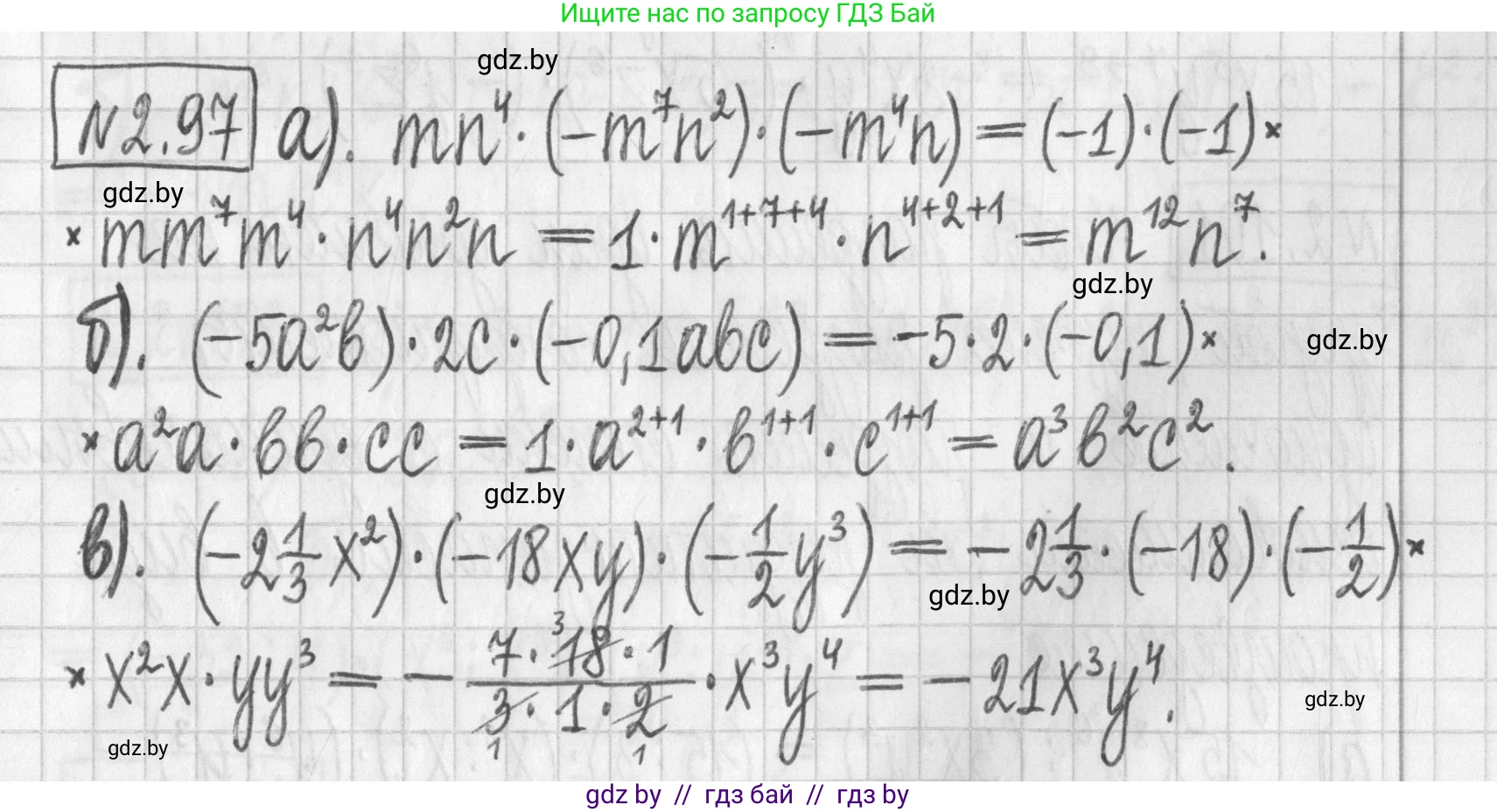
2.97. Выполните умножение одночленов:

а) $mn^4 \cdot (-m^7n^2) \cdot (-m^4n);$

б) $(-5a^2b) \cdot 2c \cdot (-0.1abc);$

в) $(-2\frac{1}{3}x^2) \cdot (-18xy) \cdot (-\frac{1}{2}y^3).$

Решение. №2.97 (с. 72)
Алгебра, 7 класс Учебник, авторы: Арефьева Ирина Глебовна, Пирютко Ольга Николаевна, издательство Народная асвета, Минск, 2022, зелёного цвета, страница 72, номер 2.97, Решение
Решение 2. №2.97 (с. 72)

а) $mn^4 \cdot (-m^7n^2) \cdot (-m^4n)$
Для выполнения умножения одночленов необходимо сгруппировать и перемножить числовые коэффициенты и степени с одинаковыми переменными основаниями. При умножении степеней их показатели складываются.
$mn^4 \cdot (-m^7n^2) \cdot (-m^4n) = (1 \cdot (-1) \cdot (-1)) \cdot (m^1 \cdot m^7 \cdot m^4) \cdot (n^4 \cdot n^2 \cdot n^1)$
Вычисляем произведение коэффициентов:
$1 \cdot (-1) \cdot (-1) = 1$
Вычисляем произведение степеней для переменной $m$:
$m^{1+7+4} = m^{12}$
Вычисляем произведение степеней для переменной $n$:
$n^{4+2+1} = n^7$
Собираем все вместе, получаем итоговый одночлен:
$1 \cdot m^{12} \cdot n^7 = m^{12}n^7$
Ответ: $m^{12}n^7$.

б) $(-5a^2b) \cdot 2c \cdot (-0,1abc)$
Сгруппируем и перемножим коэффициенты и переменные.
$(-5a^2b) \cdot 2c \cdot (-0,1abc) = (-5 \cdot 2 \cdot (-0,1)) \cdot (a^2 \cdot a) \cdot (b \cdot b) \cdot (c \cdot c)$
Вычисляем произведение коэффициентов:
$-5 \cdot 2 \cdot (-0,1) = -10 \cdot (-0,1) = 1$
Вычисляем произведение степеней для переменной $a$:
$a^{2+1} = a^3$
Вычисляем произведение степеней для переменной $b$:
$b^{1+1} = b^2$
Вычисляем произведение степеней для переменной $c$:
$c^{1+1} = c^2$
Собираем все вместе, получаем итоговый одночлен:
$1 \cdot a^3 \cdot b^2 \cdot c^2 = a^3b^2c^2$
Ответ: $a^3b^2c^2$.

в) $(-2\frac{1}{3}x^2) \cdot (-18xy) \cdot (-\frac{1}{2}y^3)$
Сначала преобразуем смешанное число в неправильную дробь.
$-2\frac{1}{3} = -\frac{2 \cdot 3 + 1}{3} = -\frac{7}{3}$
Теперь перемножим одночлены:
$(-\frac{7}{3}x^2) \cdot (-18xy) \cdot (-\frac{1}{2}y^3) = (-\frac{7}{3} \cdot (-18) \cdot (-\frac{1}{2})) \cdot (x^2 \cdot x) \cdot (y \cdot y^3)$
Вычисляем произведение коэффициентов. Так как у нас три отрицательных множителя, результат будет отрицательным.
$-\frac{7}{3} \cdot 18 \cdot \frac{1}{2} = -\frac{7 \cdot 18}{3 \cdot 2} = -\frac{7 \cdot 18}{6} = -7 \cdot 3 = -21$
Вычисляем произведение степеней для переменной $x$:
$x^{2+1} = x^3$
Вычисляем произведение степеней для переменной $y$:
$y^{1+3} = y^4$
Собираем все вместе, получаем итоговый одночлен:
$-21x^3y^4$
Ответ: $-21x^3y^4$.

Помогло решение? Оставьте отзыв в комментариях ниже.

Присоединяйтесь к Телеграм-группе @gdz_by_belarus

Присоединиться

Мы подготовили для вас ответ c подробным объяснением домашего задания по алгебре за 7 класс, для упражнения номер 2.97 расположенного на странице 72 к учебнику 2022 года издания для учащихся школ и гимназий.

Теперь на нашем сайте ГДЗ.ТОП вы всегда легко и бесплатно найдёте условие с правильным ответом на вопрос «Как решить ДЗ» и «Как сделать» задание по алгебре к упражнению №2.97 (с. 72), авторов: Арефьева (Ирина Глебовна), Пирютко (Ольга Николаевна), учебного пособия издательства Народная асвета.