Номер 2.117, страница 75 - гдз по алгебре 7 класс учебник Арефьева, Пирютко

Алгебра, 7 класс Учебник, авторы: Арефьева Ирина Глебовна, Пирютко Ольга Николаевна, издательство Народная асвета, Минск, 2022, зелёного цвета

Авторы: Арефьева И. Г., Пирютко О. Н.

Тип: Учебник

Издательство: Народная асвета

Год издания: 2022 - 2026

Цвет обложки: зелёный с графиком

ISBN: ISBN 978-985-03-3770-2

Допущено Министерством образования Республики Беларусь

Популярные ГДЗ в 7 классе

Глава 2. Выражения и их преобразования. Параграф 7. Действия с одночленами - номер 2.117, страница 75.

№2.117 (с. 75)
Условие. №2.117 (с. 75)
скриншот условия
Алгебра, 7 класс Учебник, авторы: Арефьева Ирина Глебовна, Пирютко Ольга Николаевна, издательство Народная асвета, Минск, 2022, зелёного цвета, страница 75, номер 2.117, Условие

2.117. С помощью тождественных преобразований приведите выражение к одночлену стандартного вида:

а) $9a - 4a$;

б) $12x^2 - 19x^2$;

в) $-6b^3 - 2b^3$;

г) $-y^5 + 2y^5$;

д) $15ab^2 - 16ab^2$;

е) $-bc^7 - 9bc^7$;

ж) $-2ax^2 + 9ax^2$;

з) $7m^2nk - 3m^2nk.$

Решение. №2.117 (с. 75)
Алгебра, 7 класс Учебник, авторы: Арефьева Ирина Глебовна, Пирютко Ольга Николаевна, издательство Народная асвета, Минск, 2022, зелёного цвета, страница 75, номер 2.117, Решение
Решение 2. №2.117 (с. 75)

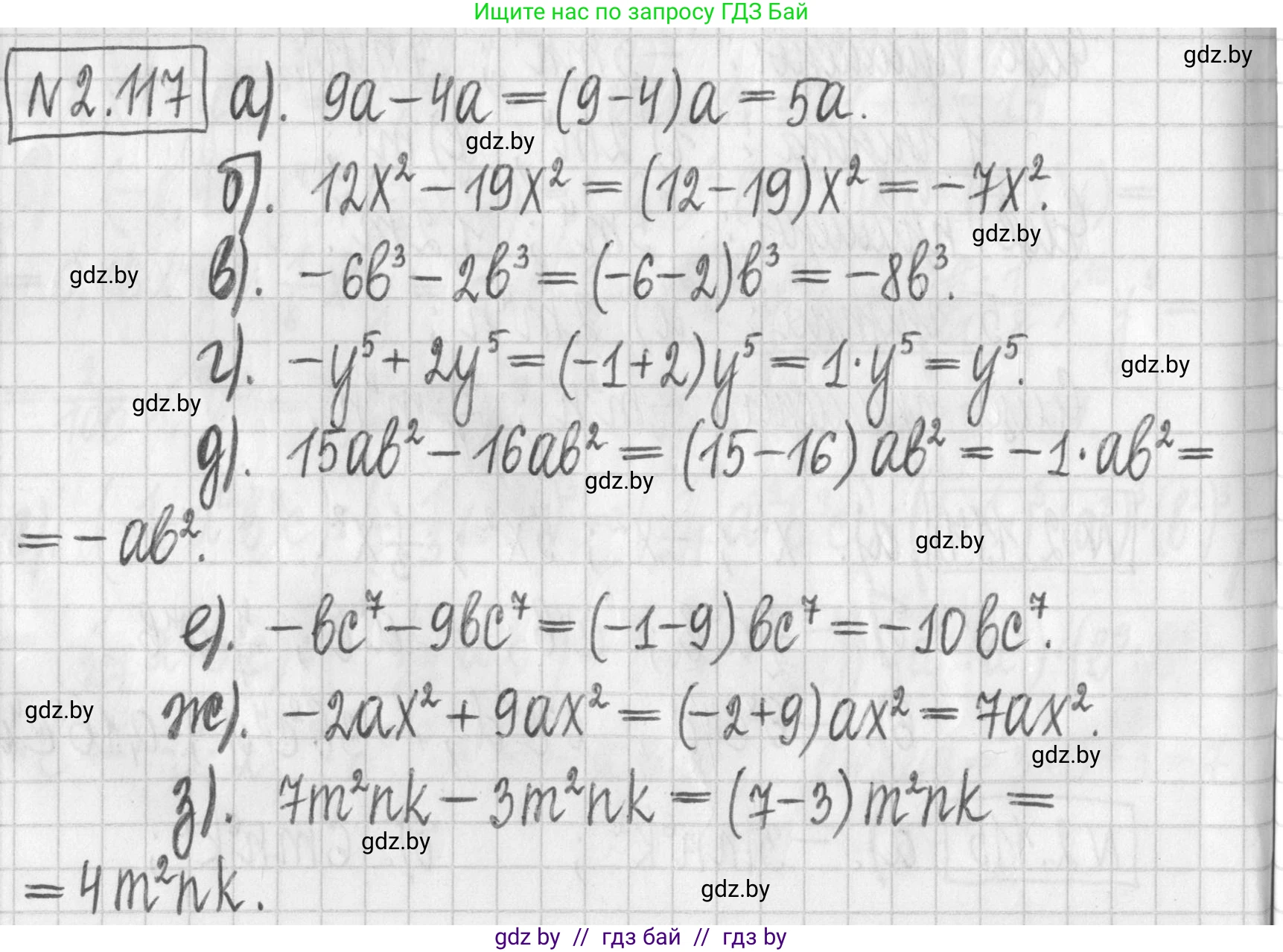
а) Чтобы привести выражение $9a - 4a$ к одночлену стандартного вида, необходимо выполнить действие с коэффициентами подобных слагаемых. Подобные слагаемые — это слагаемые, имеющие одинаковую буквенную часть, в данном случае это $a$.
Вычитаем коэффициенты: $9 - 4 = 5$.
Получаем выражение: $9a - 4a = (9 - 4)a = 5a$.
Ответ: $5a$

б) В выражении $12x^2 - 19x^2$ оба члена являются подобными, так как имеют одинаковую буквенную часть $x^2$.
Выполняем вычитание коэффициентов: $12 - 19 = -7$.
Получаем выражение: $12x^2 - 19x^2 = (12 - 19)x^2 = -7x^2$.
Ответ: $-7x^2$

в) В выражении $-6b^3 - 2b^3$ оба члена являются подобными, так как имеют одинаковую буквенную часть $b^3$.
Выполняем сложение (вычитание) коэффициентов: $-6 - 2 = -8$.
Получаем выражение: $-6b^3 - 2b^3 = (-6 - 2)b^3 = -8b^3$.
Ответ: $-8b^3$

г) В выражении $-y^5 + 2y^5$ оба члена являются подобными слагаемыми с буквенной частью $y^5$. Коэффициент первого члена $-y^5$ равен $-1$.
Складываем коэффициенты: $-1 + 2 = 1$.
Получаем выражение: $-y^5 + 2y^5 = (-1 + 2)y^5 = 1y^5 = y^5$.
Ответ: $y^5$

д) В выражении $15ab^2 - 16ab^2$ оба члена являются подобными, так как имеют одинаковую буквенную часть $ab^2$.
Вычитаем коэффициенты: $15 - 16 = -1$.
Получаем выражение: $15ab^2 - 16ab^2 = (15 - 16)ab^2 = -1ab^2 = -ab^2$.
Ответ: $-ab^2$

е) В выражении $-bc^7 - 9bc^7$ оба члена являются подобными слагаемыми с буквенной частью $bc^7$. Коэффициент первого члена $-bc^7$ равен $-1$.
Складываем (вычитаем) коэффициенты: $-1 - 9 = -10$.
Получаем выражение: $-bc^7 - 9bc^7 = (-1 - 9)bc^7 = -10bc^7$.
Ответ: $-10bc^7$

ж) В выражении $-2ax^2 + 9ax^2$ оба члена являются подобными, так как имеют одинаковую буквенную часть $ax^2$.
Складываем коэффициенты: $-2 + 9 = 7$.
Получаем выражение: $-2ax^2 + 9ax^2 = (-2 + 9)ax^2 = 7ax^2$.
Ответ: $7ax^2$

з) В выражении $7m^2nk - 3m^2nk$ оба члена являются подобными, так как имеют одинаковую буквенную часть $m^2nk$.
Вычитаем коэффициенты: $7 - 3 = 4$.
Получаем выражение: $7m^2nk - 3m^2nk = (7 - 3)m^2nk = 4m^2nk$.
Ответ: $4m^2nk$

Помогло решение? Оставьте отзыв в комментариях ниже.

Присоединяйтесь к Телеграм-группе @gdz_by_belarus

Присоединиться

Мы подготовили для вас ответ c подробным объяснением домашего задания по алгебре за 7 класс, для упражнения номер 2.117 расположенного на странице 75 к учебнику 2022 года издания для учащихся школ и гимназий.

Теперь на нашем сайте ГДЗ.ТОП вы всегда легко и бесплатно найдёте условие с правильным ответом на вопрос «Как решить ДЗ» и «Как сделать» задание по алгебре к упражнению №2.117 (с. 75), авторов: Арефьева (Ирина Глебовна), Пирютко (Ольга Николаевна), учебного пособия издательства Народная асвета.