Номер 2.127, страница 76 - гдз по алгебре 7 класс учебник Арефьева, Пирютко

Алгебра, 7 класс Учебник, авторы: Арефьева Ирина Глебовна, Пирютко Ольга Николаевна, издательство Народная асвета, Минск, 2022, зелёного цвета

Авторы: Арефьева И. Г., Пирютко О. Н.

Тип: Учебник

Издательство: Народная асвета

Год издания: 2022 - 2026

Цвет обложки: зелёный с графиком

ISBN: ISBN 978-985-03-3770-2

Допущено Министерством образования Республики Беларусь

Популярные ГДЗ в 7 классе

Глава 2. Выражения и их преобразования. Параграф 7. Действия с одночленами - номер 2.127, страница 76.

№2.127 (с. 76)
Условие. №2.127 (с. 76)
скриншот условия
Алгебра, 7 класс Учебник, авторы: Арефьева Ирина Глебовна, Пирютко Ольга Николаевна, издательство Народная асвета, Минск, 2022, зелёного цвета, страница 76, номер 2.127, Условие

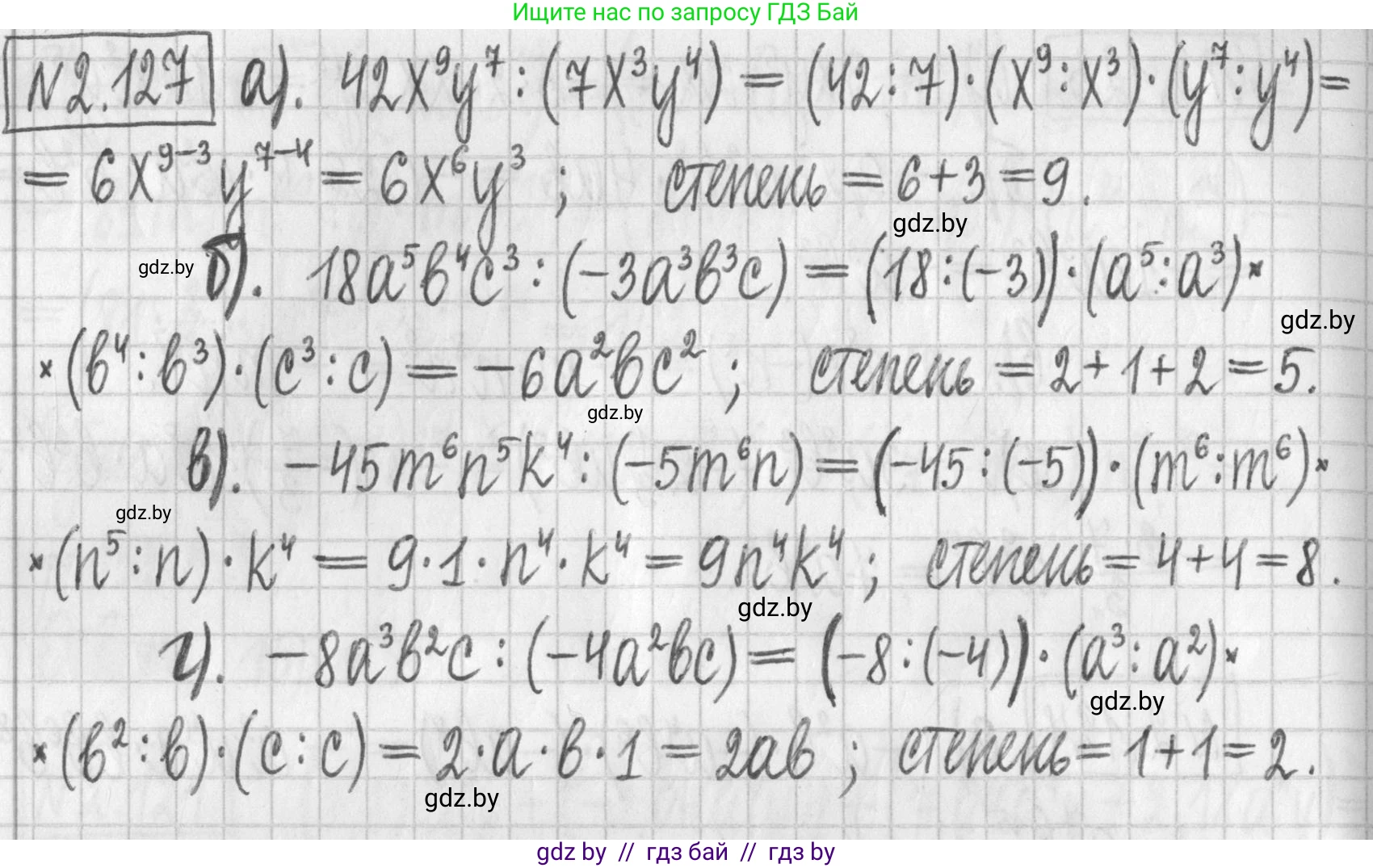
2.127. Выполните деление одночленов:

а) $42x^9y^7 : (7x^3y^4);$

б) $18a^5b^4c^3 : (-3a^3b^3c);$

в) $-45m^6n^5k^4 : (-5m^6n);$

г) $-8a^3b^2c : (-4a^2bc).$

Определите степень полученного результата.

Решение. №2.127 (с. 76)
Алгебра, 7 класс Учебник, авторы: Арефьева Ирина Глебовна, Пирютко Ольга Николаевна, издательство Народная асвета, Минск, 2022, зелёного цвета, страница 76, номер 2.127, Решение
Решение 2. №2.127 (с. 76)

Чтобы разделить один одночлен на другой, необходимо выполнить деление их коэффициентов и для каждой переменной вычесть показатель степени делителя из показателя степени делимого, используя правило $ \frac{a^m}{a^n} = a^{m-n} $. Степень полученного одночлена - это сумма показателей степеней всех его переменных.


а) $ 42x^9y^7 : (7x^3y^4) $

Представим деление в виде дроби: $ \frac{42x^9y^7}{7x^3y^4} $.

1. Делим коэффициенты: $ 42 : 7 = 6 $.

2. Делим переменные:

  • $ x^9 : x^3 = x^{9-3} = x^6 $
  • $ y^7 : y^4 = y^{7-3} = y^3 $

Результат деления: $ 6x^6y^3 $.

3. Определяем степень: сумма показателей степеней $ 6 + 3 = 9 $.

Ответ: Результат деления $ 6x^6y^3 $, степень полученного одночлена равна 9.


б) $ 18a^5b^4c^3 : (-3a^3b^3c) $

Представим деление в виде дроби: $ \frac{18a^5b^4c^3}{-3a^3b^3c} $.

1. Делим коэффициенты: $ 18 : (-3) = -6 $.

2. Делим переменные (помним, что $ c = c^1 $):

  • $ a^5 : a^3 = a^{5-3} = a^2 $
  • $ b^4 : b^3 = b^{4-3} = b^1 = b $
  • $ c^3 : c^1 = c^{3-1} = c^2 $

Результат деления: $ -6a^2bc^2 $.

3. Определяем степень: сумма показателей степеней $ 2 + 1 + 2 = 5 $.

Ответ: Результат деления $ -6a^2bc^2 $, степень полученного одночлена равна 5.


в) $ -45m^6n^5k^4 : (-5m^6n) $

Представим деление в виде дроби: $ \frac{-45m^6n^5k^4}{-5m^6n} $.

1. Делим коэффициенты: $ -45 : (-5) = 9 $.

2. Делим переменные (помним, что $ n = n^1 $):

  • $ m^6 : m^6 = m^{6-6} = m^0 = 1 $
  • $ n^5 : n^1 = n^{5-1} = n^4 $
  • $ k^4 $ остается без изменений, так как в делителе нет переменной $k$.

Результат деления: $ 9 \cdot 1 \cdot n^4k^4 = 9n^4k^4 $.

3. Определяем степень: сумма показателей степеней $ 4 + 4 = 8 $.

Ответ: Результат деления $ 9n^4k^4 $, степень полученного одночлена равна 8.


г) $ -8a^3b^2c : (-4a^2bc) $

Представим деление в виде дроби: $ \frac{-8a^3b^2c}{-4a^2bc} $.

1. Делим коэффициенты: $ -8 : (-4) = 2 $.

2. Делим переменные (помним, что $ b = b^1, c = c^1 $):

  • $ a^3 : a^2 = a^{3-2} = a^1 = a $
  • $ b^2 : b^1 = b^{2-1} = b^1 = b $
  • $ c^1 : c^1 = c^{1-1} = c^0 = 1 $

Результат деления: $ 2 \cdot a \cdot b \cdot 1 = 2ab $.

3. Определяем степень: сумма показателей степеней $ 1 + 1 = 2 $.

Ответ: Результат деления $ 2ab $, степень полученного одночлена равна 2.

Помогло решение? Оставьте отзыв в комментариях ниже.

Присоединяйтесь к Телеграм-группе @gdz_by_belarus

Присоединиться

Мы подготовили для вас ответ c подробным объяснением домашего задания по алгебре за 7 класс, для упражнения номер 2.127 расположенного на странице 76 к учебнику 2022 года издания для учащихся школ и гимназий.

Теперь на нашем сайте ГДЗ.ТОП вы всегда легко и бесплатно найдёте условие с правильным ответом на вопрос «Как решить ДЗ» и «Как сделать» задание по алгебре к упражнению №2.127 (с. 76), авторов: Арефьева (Ирина Глебовна), Пирютко (Ольга Николаевна), учебного пособия издательства Народная асвета.