Номер 2.151, страница 82 - гдз по алгебре 7 класс учебник Арефьева, Пирютко

Алгебра, 7 класс Учебник, авторы: Арефьева Ирина Глебовна, Пирютко Ольга Николаевна, издательство Народная асвета, Минск, 2022, зелёного цвета

Авторы: Арефьева И. Г., Пирютко О. Н.

Тип: Учебник

Издательство: Народная асвета

Год издания: 2022 - 2026

Цвет обложки: зелёный с графиком

ISBN: ISBN 978-985-03-3770-2

Допущено Министерством образования Республики Беларусь

Популярные ГДЗ в 7 классе

Глава 2. Выражения и их преобразования. Параграф 8. Многочлен - номер 2.151, страница 82.

№2.151 (с. 82)
Условие. №2.151 (с. 82)
скриншот условия
Алгебра, 7 класс Учебник, авторы: Арефьева Ирина Глебовна, Пирютко Ольга Николаевна, издательство Народная асвета, Минск, 2022, зелёного цвета, страница 82, номер 2.151, Условие

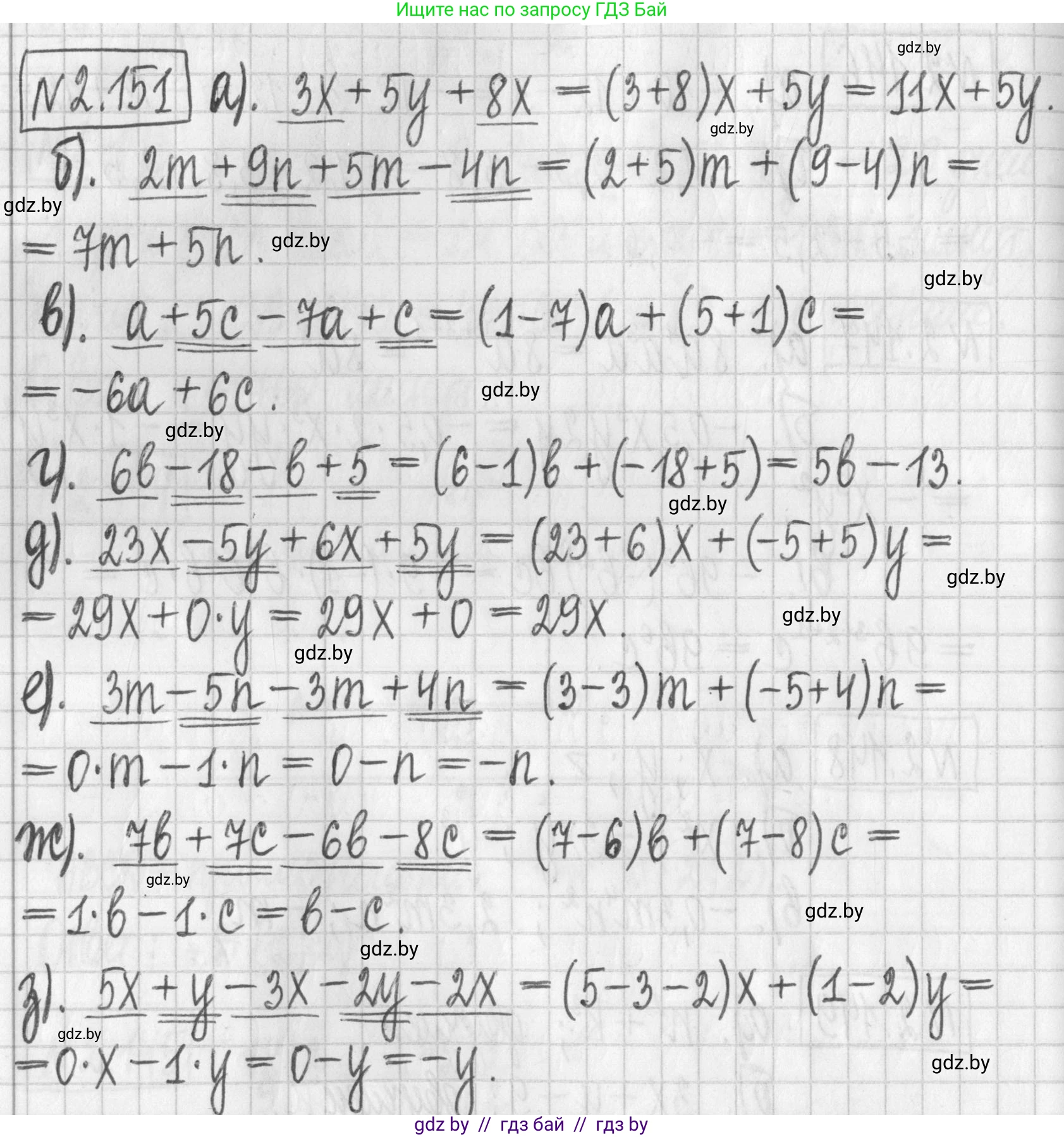
2.151. Приведите подобные члены многочлена:

а) $3x + 5y + 8x;$

б) $2m + 9n + 5m - 4n;$

в) $a + 5c - 7a + c;$

г) $6b - 18 - b + 5;$

д) $23x - 5y + 6x + 5y;$

е) $3m - 5n - 3m + 4n;$

ж) $7b + 7c - 6b - 8c;$

з) $5x + y - 3x - 2y - 2x.$

Решение. №2.151 (с. 82)
Алгебра, 7 класс Учебник, авторы: Арефьева Ирина Глебовна, Пирютко Ольга Николаевна, издательство Народная асвета, Минск, 2022, зелёного цвета, страница 82, номер 2.151, Решение
Решение 2. №2.151 (с. 82)

а) $3x + 5y + 8x$
Чтобы привести подобные члены, необходимо найти слагаемые с одинаковой буквенной частью и сложить их коэффициенты. В данном выражении подобными являются $3x$ и $8x$.
Сгруппируем и сложим подобные члены:
$3x + 5y + 8x = (3x + 8x) + 5y = (3+8)x + 5y = 11x + 5y$.
Ответ: $11x + 5y$

б) $2m + 9n + 5m - 4n$
Сгруппируем подобные члены: члены с переменной $m$ ($2m$ и $5m$) и члены с переменной $n$ ($9n$ и $-4n$).
$(2m + 5m) + (9n - 4n)$
Сложим и вычтем коэффициенты:
$(2+5)m + (9-4)n = 7m + 5n$.
Ответ: $7m + 5n$

в) $a + 5c - 7a + c$
Сгруппируем подобные члены (учитывая, что $a$ это $1a$, и $c$ это $1c$): члены с переменной $a$ ($a$ и $-7a$) и члены с переменной $c$ ($5c$ и $c$).
$(a - 7a) + (5c + c)$
Сложим и вычтем коэффициенты:
$(1-7)a + (5+1)c = -6a + 6c$.
Ответ: $-6a + 6c$

г) $6b - 18 - b + 5$
Сгруппируем подобные члены: члены с переменной $b$ ($6b$ и $-b$) и числовые члены (константы) ($-18$ и $5$).
$(6b - b) + (-18 + 5)$
Выполним действия:
$(6-1)b - 13 = 5b - 13$.
Ответ: $5b - 13$

д) $23x - 5y + 6x + 5y$
Сгруппируем подобные члены: члены с $x$ ($23x$ и $6x$) и члены с $y$ ($-5y$ и $5y$).
$(23x + 6x) + (-5y + 5y)$
Сложим и вычтем коэффициенты. Обратите внимание, что члены с $y$ взаимно уничтожаются.
$(23+6)x + (-5+5)y = 29x + 0y = 29x$.
Ответ: $29x$

е) $3m - 5n - 3m + 4n$
Сгруппируем подобные члены: члены с $m$ ($3m$ и $-3m$) и члены с $n$ ($-5n$ и $4n$).
$(3m - 3m) + (-5n + 4n)$
Сложим и вычтем коэффициенты. Члены с $m$ взаимно уничтожаются.
$(3-3)m + (-5+4)n = 0m - 1n = -n$.
Ответ: $-n$

ж) $7b + 7c - 6b - 8c$
Сгруппируем подобные члены: члены с $b$ ($7b$ и $-6b$) и члены с $c$ ($7c$ и $-8c$).
$(7b - 6b) + (7c - 8c)$
Сложим и вычтем коэффициенты:
$(7-6)b + (7-8)c = 1b - 1c = b - c$.
Ответ: $b - c$

з) $5x + y - 3x - 2y - 2x$
Сгруппируем подобные члены: члены с $x$ ($5x$, $-3x$, $-2x$) и члены с $y$ ($y$ и $-2y$).
$(5x - 3x - 2x) + (y - 2y)$
Сложим и вычтем коэффициенты:
$(5-3-2)x + (1-2)y = (2-2)x - y = 0x - y = -y$.
Ответ: $-y$

Помогло решение? Оставьте отзыв в комментариях ниже.

Присоединяйтесь к Телеграм-группе @gdz_by_belarus

Присоединиться

Мы подготовили для вас ответ c подробным объяснением домашего задания по алгебре за 7 класс, для упражнения номер 2.151 расположенного на странице 82 к учебнику 2022 года издания для учащихся школ и гимназий.

Теперь на нашем сайте ГДЗ.ТОП вы всегда легко и бесплатно найдёте условие с правильным ответом на вопрос «Как решить ДЗ» и «Как сделать» задание по алгебре к упражнению №2.151 (с. 82), авторов: Арефьева (Ирина Глебовна), Пирютко (Ольга Николаевна), учебного пособия издательства Народная асвета.