Номер 2.275, страница 110 - гдз по алгебре 7 класс учебник Арефьева, Пирютко

Алгебра, 7 класс Учебник, авторы: Арефьева Ирина Глебовна, Пирютко Ольга Николаевна, издательство Народная асвета, Минск, 2022, зелёного цвета

Авторы: Арефьева И. Г., Пирютко О. Н.

Тип: Учебник

Издательство: Народная асвета

Год издания: 2022 - 2026

Цвет обложки: зелёный с графиком

ISBN: ISBN 978-985-03-3770-2

Допущено Министерством образования Республики Беларусь

Популярные ГДЗ в 7 классе

Глава 2. Выражения и их преобразования. Параграф 12. Формулы сокращенного умножения: квадрат суммы и квадрат разности двух выражений - номер 2.275, страница 110.

№2.275 (с. 110)
Условие. №2.275 (с. 110)
скриншот условия
Алгебра, 7 класс Учебник, авторы: Арефьева Ирина Глебовна, Пирютко Ольга Николаевна, издательство Народная асвета, Минск, 2022, зелёного цвета, страница 110, номер 2.275, Условие

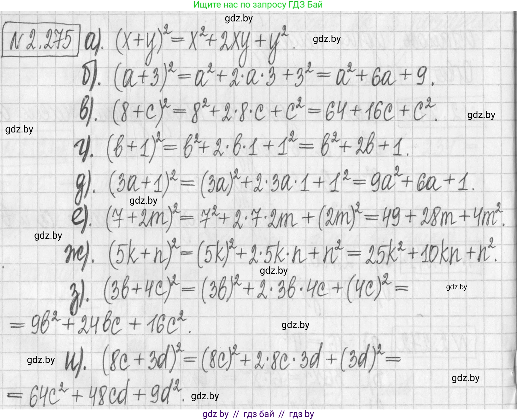
2.275. Примените формулу квадрата суммы и представьте выражение в виде многочлена стандартного вида, используя алгоритм:

а) $(x + y)^2$;

б) $(a + 3)^2$;

в) $(8 + c)^2$;

г) $(b + 1)^2$;

д) $(3a + 1)^2$;

е) $(7 + 2m)^2$;

ж) $(5k + n)^2$;

з) $(3b + 4c)^2$;

и) $(8c + 3d)^2$.

Решение. №2.275 (с. 110)
Алгебра, 7 класс Учебник, авторы: Арефьева Ирина Глебовна, Пирютко Ольга Николаевна, издательство Народная асвета, Минск, 2022, зелёного цвета, страница 110, номер 2.275, Решение
Решение 2. №2.275 (с. 110)

Для того чтобы представить данные выражения в виде многочлена стандартного вида, мы применим формулу сокращенного умножения для квадрата суммы. Алгоритм решения основан на этой формуле.

Формула квадрата суммы:

$ (a + b)^2 = a^2 + 2ab + b^2 $

Это означает, что квадрат суммы двух выражений равен квадрату первого выражения, плюс удвоенное произведение первого и второго выражений, плюс квадрат второго выражения.


а) $(x + y)^2$

Применяем формулу, где $a = x$ и $b = y$:

$(x + y)^2 = x^2 + 2 \cdot x \cdot y + y^2 = x^2 + 2xy + y^2$

Ответ: $x^2 + 2xy + y^2$.

б) $(a + 3)^2$

Здесь $a = a$ и $b = 3$.

$(a + 3)^2 = a^2 + 2 \cdot a \cdot 3 + 3^2 = a^2 + 6a + 9$

Ответ: $a^2 + 6a + 9$.

в) $(8 + c)^2$

Здесь $a = 8$ и $b = c$.

$(8 + c)^2 = 8^2 + 2 \cdot 8 \cdot c + c^2 = 64 + 16c + c^2$

Приведем многочлен к стандартному виду, расположив члены в порядке убывания степеней переменной $c$:

Ответ: $c^2 + 16c + 64$.

г) $(b + 1)^2$

Здесь $a = b$ и $b = 1$.

$(b + 1)^2 = b^2 + 2 \cdot b \cdot 1 + 1^2 = b^2 + 2b + 1$

Ответ: $b^2 + 2b + 1$.

д) $(3a + 1)^2$

Здесь $a = 3a$ и $b = 1$.

$(3a + 1)^2 = (3a)^2 + 2 \cdot (3a) \cdot 1 + 1^2 = 9a^2 + 6a + 1$

Ответ: $9a^2 + 6a + 1$.

е) $(7 + 2m)^2$

Здесь $a = 7$ и $b = 2m$.

$(7 + 2m)^2 = 7^2 + 2 \cdot 7 \cdot (2m) + (2m)^2 = 49 + 28m + 4m^2$

Приведем многочлен к стандартному виду:

Ответ: $4m^2 + 28m + 49$.

ж) $(5k + n)^2$

Здесь $a = 5k$ и $b = n$.

$(5k + n)^2 = (5k)^2 + 2 \cdot (5k) \cdot n + n^2 = 25k^2 + 10kn + n^2$

Ответ: $25k^2 + 10kn + n^2$.

з) $(3b + 4c)^2$

Здесь $a = 3b$ и $b = 4c$.

$(3b + 4c)^2 = (3b)^2 + 2 \cdot (3b) \cdot (4c) + (4c)^2 = 9b^2 + 24bc + 16c^2$

Ответ: $9b^2 + 24bc + 16c^2$.

и) $(8c + 3d)^2$

Здесь $a = 8c$ и $b = 3d$.

$(8c + 3d)^2 = (8c)^2 + 2 \cdot (8c) \cdot (3d) + (3d)^2 = 64c^2 + 48cd + 9d^2$

Ответ: $64c^2 + 48cd + 9d^2$.

Помогло решение? Оставьте отзыв в комментариях ниже.

Присоединяйтесь к Телеграм-группе @gdz_by_belarus

Присоединиться

Мы подготовили для вас ответ c подробным объяснением домашего задания по алгебре за 7 класс, для упражнения номер 2.275 расположенного на странице 110 к учебнику 2022 года издания для учащихся школ и гимназий.

Теперь на нашем сайте ГДЗ.ТОП вы всегда легко и бесплатно найдёте условие с правильным ответом на вопрос «Как решить ДЗ» и «Как сделать» задание по алгебре к упражнению №2.275 (с. 110), авторов: Арефьева (Ирина Глебовна), Пирютко (Ольга Николаевна), учебного пособия издательства Народная асвета.