Номер 2.285, страница 112 - гдз по алгебре 7 класс учебник Арефьева, Пирютко

Алгебра, 7 класс Учебник, авторы: Арефьева Ирина Глебовна, Пирютко Ольга Николаевна, издательство Народная асвета, Минск, 2022, зелёного цвета

Авторы: Арефьева И. Г., Пирютко О. Н.

Тип: Учебник

Издательство: Народная асвета

Год издания: 2022 - 2026

Цвет обложки: зелёный с графиком

ISBN: ISBN 978-985-03-3770-2

Допущено Министерством образования Республики Беларусь

Популярные ГДЗ в 7 классе

Глава 2. Выражения и их преобразования. Параграф 12. Формулы сокращенного умножения: квадрат суммы и квадрат разности двух выражений - номер 2.285, страница 112.

№2.285 (с. 112)
Условие. №2.285 (с. 112)
скриншот условия
Алгебра, 7 класс Учебник, авторы: Арефьева Ирина Глебовна, Пирютко Ольга Николаевна, издательство Народная асвета, Минск, 2022, зелёного цвета, страница 112, номер 2.285, Условие

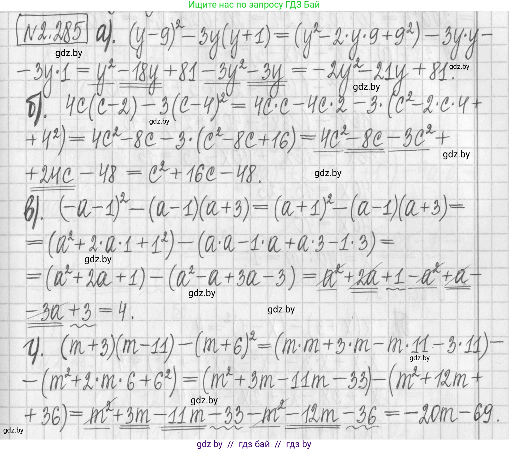
2.285. Упростите выражение:

а) $(y - 9)^2 - 3y(y + 1);$

б) $4c(c - 2) - 3(c - 4)^2;$

в) $(-a - 1)^2 - (a - 1)(a + 3);$

г) $(m + 3)(m - 11) - (m + 6)^2.$

Решение. №2.285 (с. 112)
Алгебра, 7 класс Учебник, авторы: Арефьева Ирина Глебовна, Пирютко Ольга Николаевна, издательство Народная асвета, Минск, 2022, зелёного цвета, страница 112, номер 2.285, Решение
Решение 2. №2.285 (с. 112)
а) $(y - 9)^2 - 3y(y + 1)$

Для упрощения выражения раскроем скобки. Первую скобку раскроем по формуле квадрата разности $(a-b)^2 = a^2 - 2ab + b^2$, а вторую часть выражения — используя распределительное свойство умножения.

$(y - 9)^2 = y^2 - 2 \cdot y \cdot 9 + 9^2 = y^2 - 18y + 81$

$-3y(y + 1) = -3y \cdot y - 3y \cdot 1 = -3y^2 - 3y$

Теперь объединим полученные выражения:

$(y^2 - 18y + 81) + (-3y^2 - 3y) = y^2 - 18y + 81 - 3y^2 - 3y$

Приведем подобные слагаемые, складывая коэффициенты при одинаковых степенях переменной $y$:

$(y^2 - 3y^2) + (-18y - 3y) + 81 = -2y^2 - 21y + 81$

Ответ: $-2y^2 - 21y + 81$

б) $4c(c - 2) - 3(c - 4)^2$

Упростим выражение, раскрыв скобки. Для первого слагаемого применим распределительное свойство, а для второго — формулу квадрата разности $(a-b)^2 = a^2 - 2ab + b^2$.

$4c(c - 2) = 4c \cdot c - 4c \cdot 2 = 4c^2 - 8c$

$-3(c - 4)^2 = -3(c^2 - 2 \cdot c \cdot 4 + 4^2) = -3(c^2 - 8c + 16) = -3c^2 + 24c - 48$

Теперь сложим полученные многочлены:

$(4c^2 - 8c) + (-3c^2 + 24c - 48) = 4c^2 - 8c - 3c^2 + 24c - 48$

Приведем подобные слагаемые:

$(4c^2 - 3c^2) + (-8c + 24c) - 48 = c^2 + 16c - 48$

Ответ: $c^2 + 16c - 48$

в) $(-a - 1)^2 - (a - 1)(a + 3)$

Раскроем скобки. Выражение $(-a - 1)^2$ можно преобразовать в $(-(a + 1))^2$, что равно $(a + 1)^2$. Используем формулу квадрата суммы $(x+y)^2 = x^2 + 2xy + y^2$. Вторую часть раскроем, перемножив два многочлена.

$(-a - 1)^2 = (a + 1)^2 = a^2 + 2 \cdot a \cdot 1 + 1^2 = a^2 + 2a + 1$

$-(a - 1)(a + 3) = -(a \cdot a + a \cdot 3 - 1 \cdot a - 1 \cdot 3) = -(a^2 + 3a - a - 3) = -(a^2 + 2a - 3) = -a^2 - 2a + 3$

Теперь сложим полученные результаты:

$(a^2 + 2a + 1) + (-a^2 - 2a + 3) = a^2 + 2a + 1 - a^2 - 2a + 3$

Приведем подобные слагаемые:

$(a^2 - a^2) + (2a - 2a) + (1 + 3) = 0 + 0 + 4 = 4$

Ответ: $4$

г) $(m + 3)(m - 11) - (m + 6)^2$

Для упрощения раскроем скобки. Первое произведение раскроем путем перемножения многочленов. Для второго слагаемого используем формулу квадрата суммы $(a+b)^2 = a^2 + 2ab + b^2$.

$(m + 3)(m - 11) = m \cdot m + m \cdot (-11) + 3 \cdot m + 3 \cdot (-11) = m^2 - 11m + 3m - 33 = m^2 - 8m - 33$

$-(m + 6)^2 = -(m^2 + 2 \cdot m \cdot 6 + 6^2) = -(m^2 + 12m + 36) = -m^2 - 12m - 36$

Объединим полученные выражения:

$(m^2 - 8m - 33) + (-m^2 - 12m - 36) = m^2 - 8m - 33 - m^2 - 12m - 36$

Приведем подобные слагаемые:

$(m^2 - m^2) + (-8m - 12m) + (-33 - 36) = -20m - 69$

Ответ: $-20m - 69$

Помогло решение? Оставьте отзыв в комментариях ниже.

Присоединяйтесь к Телеграм-группе @gdz_by_belarus

Присоединиться

Мы подготовили для вас ответ c подробным объяснением домашего задания по алгебре за 7 класс, для упражнения номер 2.285 расположенного на странице 112 к учебнику 2022 года издания для учащихся школ и гимназий.

Теперь на нашем сайте ГДЗ.ТОП вы всегда легко и бесплатно найдёте условие с правильным ответом на вопрос «Как решить ДЗ» и «Как сделать» задание по алгебре к упражнению №2.285 (с. 112), авторов: Арефьева (Ирина Глебовна), Пирютко (Ольга Николаевна), учебного пособия издательства Народная асвета.