Номер 2.312, страница 115 - гдз по алгебре 7 класс учебник Арефьева, Пирютко

Алгебра, 7 класс Учебник, авторы: Арефьева Ирина Глебовна, Пирютко Ольга Николаевна, издательство Народная асвета, Минск, 2022, зелёного цвета

Авторы: Арефьева И. Г., Пирютко О. Н.

Тип: Учебник

Издательство: Народная асвета

Год издания: 2022 - 2026

Цвет обложки: зелёный с графиком

ISBN: ISBN 978-985-03-3770-2

Допущено Министерством образования Республики Беларусь

Популярные ГДЗ в 7 классе

Глава 2. Выражения и их преобразования. Параграф 12. Формулы сокращенного умножения: квадрат суммы и квадрат разности двух выражений - номер 2.312, страница 115.

№2.312 (с. 115)
Условие. №2.312 (с. 115)
скриншот условия
Алгебра, 7 класс Учебник, авторы: Арефьева Ирина Глебовна, Пирютко Ольга Николаевна, издательство Народная асвета, Минск, 2022, зелёного цвета, страница 115, номер 2.312, Условие

2.312. Прибавьте к двучлену такой одночлен, чтобы полученное выражение можно было представить в виде квадрата двучлена:

а) $a^2 - 4a$;

б) $25y^2 + 1$;

в) $24c + 4$.

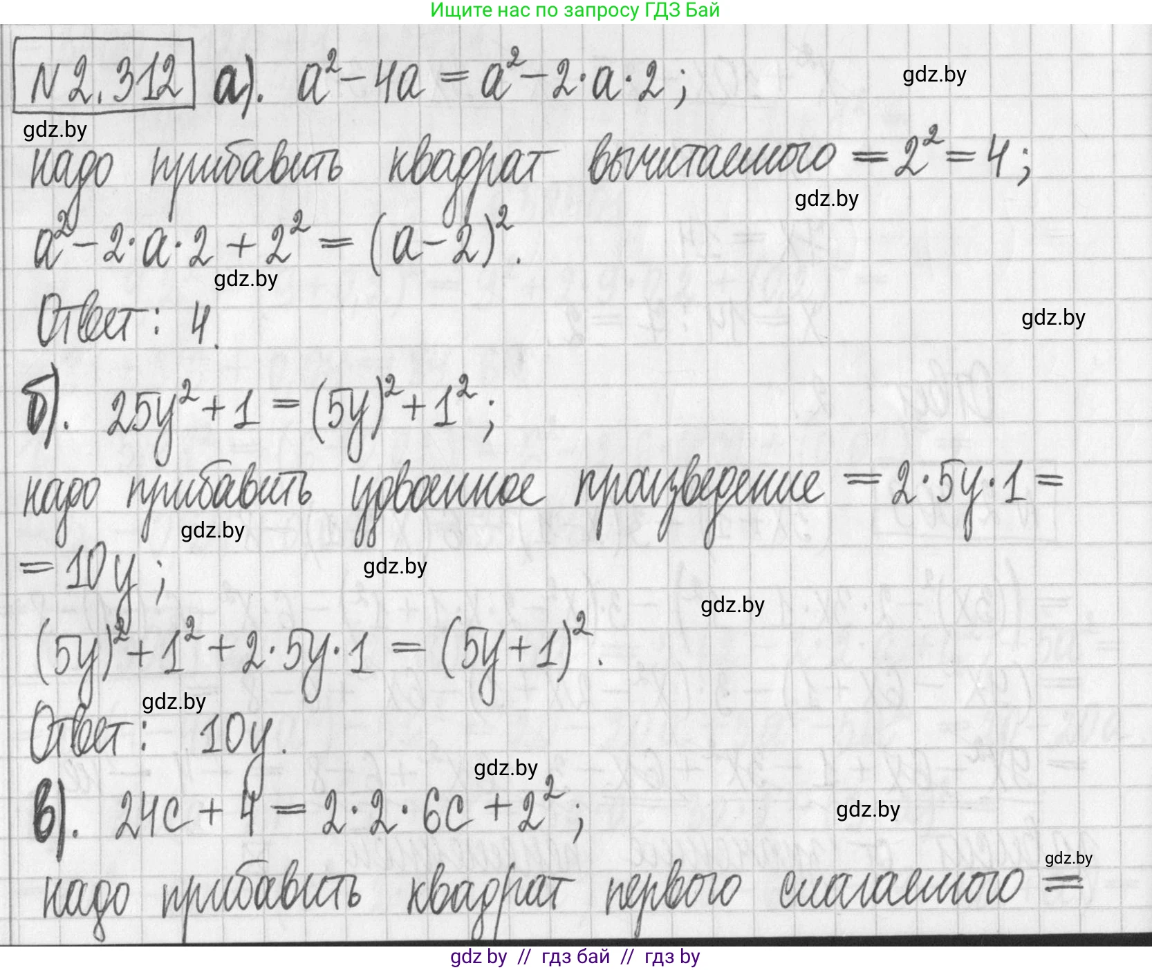
Решение. №2.312 (с. 115)
Алгебра, 7 класс Учебник, авторы: Арефьева Ирина Глебовна, Пирютко Ольга Николаевна, издательство Народная асвета, Минск, 2022, зелёного цвета, страница 115, номер 2.312, Решение Алгебра, 7 класс Учебник, авторы: Арефьева Ирина Глебовна, Пирютко Ольга Николаевна, издательство Народная асвета, Минск, 2022, зелёного цвета, страница 115, номер 2.312, Решение (продолжение 2)
Решение 2. №2.312 (с. 115)

Чтобы прибавить к двучлену такой одночлен, чтобы полученное выражение можно было представить в виде квадрата двучлена, необходимо дополнить исходное выражение до полного квадрата. Для этого используются формулы сокращенного умножения:

  • Квадрат суммы: $(x+y)^2 = x^2 + 2xy + y^2$
  • Квадрат разности: $(x-y)^2 = x^2 - 2xy + y^2$

Проанализируем каждое выражение.

а) Дано выражение $a^2 - 4a$.
Сравним его с формулой квадрата разности $(x-y)^2 = x^2 - 2xy + y^2$.
Первый член $x^2$ соответствует $a^2$, значит, $x=a$.
Удвоенное произведение $-2xy$ соответствует $-4a$. Подставим $x=a$:
$-2 \cdot a \cdot y = -4a$
Отсюда находим $y$:
$y = \frac{-4a}{-2a} = 2$
Недостающий член для получения полного квадрата — это $y^2$.
$y^2 = 2^2 = 4$.
Следовательно, к выражению $a^2 - 4a$ нужно прибавить одночлен $4$.
Проверка: $a^2 - 4a + 4 = (a-2)^2$.
Ответ: 4.

б) Дано выражение $25y^2 + 1$.
Сравним его с формулой квадрата суммы $(x+z)^2 = x^2 + 2xz + z^2$.
Выражение $25y^2 + 1$ содержит два члена, которые могут быть квадратами: $25y^2 = (5y)^2$ и $1 = 1^2$.
Пусть $x^2 = (5y)^2$, тогда $x = 5y$.
Пусть $z^2 = 1^2$, тогда $z = 1$.
Недостающий член — это удвоенное произведение $2xz$.
$2xz = 2 \cdot (5y) \cdot 1 = 10y$.
Следовательно, к выражению $25y^2 + 1$ нужно прибавить одночлен $10y$.
Проверка: $25y^2 + 10y + 1 = (5y+1)^2$.
Ответ: $10y$.

в) Дано выражение $24c + 4$.
Сравним его с формулой квадрата суммы $(x+y)^2 = x^2 + 2xy + y^2$.
Выражение $24c + 4$ похоже на второй и третий члены формулы: $2xy + y^2$.
Пусть $y^2 = 4$, тогда $y=2$.
Удвоенное произведение $2xy$ соответствует $24c$. Подставим $y=2$:
$2 \cdot x \cdot 2 = 24c$
$4x = 24c$
Отсюда находим $x$:
$x = \frac{24c}{4} = 6c$
Недостающий член для полного квадрата — это $x^2$.
$x^2 = (6c)^2 = 36c^2$.
Следовательно, к выражению $24c + 4$ нужно прибавить одночлен $36c^2$.
Проверка: $36c^2 + 24c + 4 = (6c+2)^2$.
Ответ: $36c^2$.

Помогло решение? Оставьте отзыв в комментариях ниже.

Присоединяйтесь к Телеграм-группе @gdz_by_belarus

Присоединиться

Мы подготовили для вас ответ c подробным объяснением домашего задания по алгебре за 7 класс, для упражнения номер 2.312 расположенного на странице 115 к учебнику 2022 года издания для учащихся школ и гимназий.

Теперь на нашем сайте ГДЗ.ТОП вы всегда легко и бесплатно найдёте условие с правильным ответом на вопрос «Как решить ДЗ» и «Как сделать» задание по алгебре к упражнению №2.312 (с. 115), авторов: Арефьева (Ирина Глебовна), Пирютко (Ольга Николаевна), учебного пособия издательства Народная асвета.