Номер 2.355, страница 123 - гдз по алгебре 7 класс учебник Арефьева, Пирютко
Авторы: Арефьева И. Г., Пирютко О. Н.
Тип: Учебник
Издательство: Народная асвета
Год издания: 2022 - 2026
Цвет обложки: зелёный с графиком
ISBN: ISBN 978-985-03-3770-2
Допущено Министерством образования Республики Беларусь
Популярные ГДЗ в 7 классе
Глава 2. Выражения и их преобразования. Параграф 13. Формулы сокращенного умножения: произведение суммы и разности двух выражений - номер 2.355, страница 123.
№2.355 (с. 123)
Условие. №2.355 (с. 123)
скриншот условия
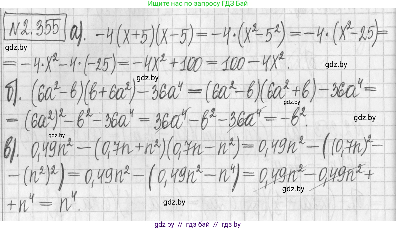
2.355. Упростите выражение:
а) $-4(x + 5)(x - 5);$
б) $(6a^2 - b)(b + 6a^2) - 36a^4;$
в) $0,49n^2 - (0,7n + n^2)(0,7n - n^2).$
Решение. №2.355 (с. 123)
Решение 2. №2.355 (с. 123)
а) $-4(x + 5)(x - 5)$
Для упрощения произведения $(x + 5)(x - 5)$ воспользуемся формулой сокращенного умножения "разность квадратов": $(a+b)(a-b) = a^2 - b^2$.
В нашем случае $a=x$ и $b=5$.
$(x + 5)(x - 5) = x^2 - 5^2 = x^2 - 25$
Теперь подставим это в исходное выражение:
$-4(x^2 - 25)$
Раскроем скобки, умножив $-4$ на каждый член внутри скобок:
$-4 \cdot x^2 - 4 \cdot (-25) = -4x^2 + 100$
Ответ: $100 - 4x^2$
б) $(6a^2 - b)(b + 6a^2) - 36a^4$
Сначала упростим произведение скобок. Переставим слагаемые во второй скобке для наглядности: $(b + 6a^2) = (6a^2 + b)$.
Выражение принимает вид: $(6a^2 - b)(6a^2 + b) - 36a^4$.
Снова применяем формулу разности квадратов $(A-B)(A+B) = A^2 - B^2$, где $A = 6a^2$ и $B = b$.
$(6a^2 - b)(6a^2 + b) = (6a^2)^2 - b^2 = 36a^4 - b^2$
Подставим результат в исходное выражение:
$(36a^4 - b^2) - 36a^4$
Приведем подобные слагаемые:
$36a^4 - 36a^4 - b^2 = -b^2$
Ответ: $-b^2$
в) $0,49n^2 - (0,7n + n^2)(0,7n - n^2)$
Рассмотрим выражение в скобках $(0,7n + n^2)(0,7n - n^2)$. Это также разность квадратов, где $a = 0,7n$ и $b = n^2$.
$(0,7n + n^2)(0,7n - n^2) = (0,7n)^2 - (n^2)^2 = 0,49n^2 - n^4$
Теперь подставим это в исходное выражение:
$0,49n^2 - (0,49n^2 - n^4)$
Раскроем скобки. Так как перед скобкой стоит знак минус, все знаки внутри скобок меняются на противоположные:
$0,49n^2 - 0,49n^2 + n^4$
Приведем подобные слагаемые:
$(0,49n^2 - 0,49n^2) + n^4 = 0 + n^4 = n^4$
Ответ: $n^4$
Другие задания:
Помогло решение? Оставьте отзыв в комментариях ниже.
Присоединяйтесь к Телеграм-группе @gdz_by_belarus
ПрисоединитьсяМы подготовили для вас ответ c подробным объяснением домашего задания по алгебре за 7 класс, для упражнения номер 2.355 расположенного на странице 123 к учебнику 2022 года издания для учащихся школ и гимназий.
Теперь на нашем сайте ГДЗ.ТОП вы всегда легко и бесплатно найдёте условие с правильным ответом на вопрос «Как решить ДЗ» и «Как сделать» задание по алгебре к упражнению №2.355 (с. 123), авторов: Арефьева (Ирина Глебовна), Пирютко (Ольга Николаевна), учебного пособия издательства Народная асвета.