Номер 2.378, страница 133 - гдз по алгебре 7 класс учебник Арефьева, Пирютко

Алгебра, 7 класс Учебник, авторы: Арефьева Ирина Глебовна, Пирютко Ольга Николаевна, издательство Народная асвета, Минск, 2022, зелёного цвета

Авторы: Арефьева И. Г., Пирютко О. Н.

Тип: Учебник

Издательство: Народная асвета

Год издания: 2022 - 2026

Цвет обложки: зелёный с графиком

ISBN: ISBN 978-985-03-3770-2

Допущено Министерством образования Республики Беларусь

Популярные ГДЗ в 7 классе

Глава 2. Выражения и их преобразования. Параграф 14. Разложение многочлена на множители - номер 2.378, страница 133.

№2.378 (с. 133)
Условие. №2.378 (с. 133)
скриншот условия
Алгебра, 7 класс Учебник, авторы: Арефьева Ирина Глебовна, Пирютко Ольга Николаевна, издательство Народная асвета, Минск, 2022, зелёного цвета, страница 133, номер 2.378, Условие

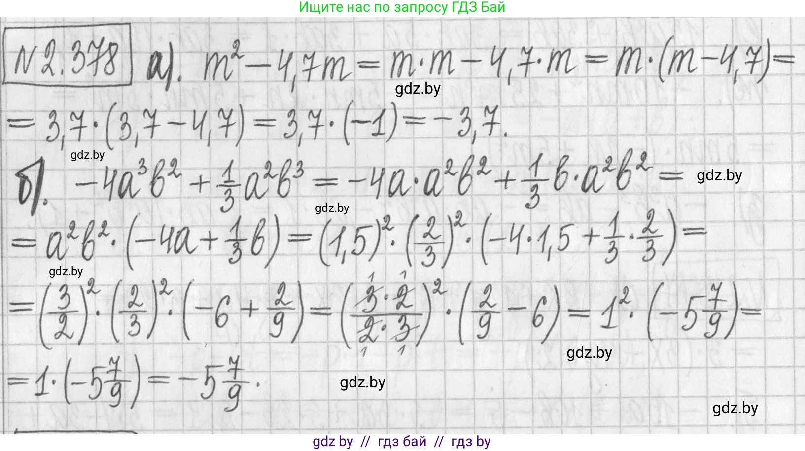
2.378. Найдите значение выражения:

а) $m^2 - 4,7m$ при $m = 3,7$;

б) $-4a^3b^2 + \frac{1}{3}a^2b^3$ при $a = 1,5, b = \frac{2}{3}$.

Решение. №2.378 (с. 133)
Алгебра, 7 класс Учебник, авторы: Арефьева Ирина Глебовна, Пирютко Ольга Николаевна, издательство Народная асвета, Минск, 2022, зелёного цвета, страница 133, номер 2.378, Решение
Решение 2. №2.378 (с. 133)

а) Найдем значение выражения $m^2 - 4,7m$ при $m = 3,7$.

Для упрощения вычислений вынесем общий множитель $m$ за скобки:

$m^2 - 4,7m = m(m - 4,7)$

Подставим значение $m = 3,7$ в полученное выражение:

$3,7 \cdot (3,7 - 4,7) = 3,7 \cdot (-1) = -3,7$

Чтобы выделить целую часть, представим десятичную дробь в виде смешанного числа:

$-3,7 = -3\frac{7}{10}$

Ответ: $-3\frac{7}{10}$

б) Найдем значение выражения $-4a^3b^2 + \frac{1}{3}a^2b^3$ при $a = 1,5$ и $b = \frac{2}{3}$.

Сначала преобразуем десятичную дробь $a = 1,5$ в обыкновенную:

$a = 1,5 = \frac{15}{10} = \frac{3}{2}$

Теперь упростим исходное выражение, вынеся за скобки общий множитель $a^2b^2$:

$-4a^3b^2 + \frac{1}{3}a^2b^3 = a^2b^2(-4a + \frac{1}{3}b)$

Подставим значения $a = \frac{3}{2}$ и $b = \frac{2}{3}$ в это выражение. Удобно вычислить каждую часть отдельно.

Найдем значение $a^2b^2$:

$a^2b^2 = (ab)^2 = \left(\frac{3}{2} \cdot \frac{2}{3}\right)^2 = 1^2 = 1$

Теперь найдем значение выражения в скобках $-4a + \frac{1}{3}b$:

$-4 \cdot \left(\frac{3}{2}\right) + \frac{1}{3} \cdot \left(\frac{2}{3}\right) = -\frac{4 \cdot 3}{2} + \frac{1 \cdot 2}{3 \cdot 3} = -\frac{12}{2} + \frac{2}{9} = -6 + \frac{2}{9}$

Приведем к общему знаменателю и сложим:

$-6 + \frac{2}{9} = -\frac{54}{9} + \frac{2}{9} = -\frac{52}{9}$

Теперь перемножим полученные результаты:

$1 \cdot \left(-\frac{52}{9}\right) = -\frac{52}{9}$

Выделим целую часть из неправильной дроби $-\frac{52}{9}$:

$-\frac{52}{9} = -5\frac{7}{9}$

Ответ: $-5\frac{7}{9}$

Помогло решение? Оставьте отзыв в комментариях ниже.

Присоединяйтесь к Телеграм-группе @gdz_by_belarus

Присоединиться

Мы подготовили для вас ответ c подробным объяснением домашего задания по алгебре за 7 класс, для упражнения номер 2.378 расположенного на странице 133 к учебнику 2022 года издания для учащихся школ и гимназий.

Теперь на нашем сайте ГДЗ.ТОП вы всегда легко и бесплатно найдёте условие с правильным ответом на вопрос «Как решить ДЗ» и «Как сделать» задание по алгебре к упражнению №2.378 (с. 133), авторов: Арефьева (Ирина Глебовна), Пирютко (Ольга Николаевна), учебного пособия издательства Народная асвета.