Номер 2.388, страница 135 - гдз по алгебре 7 класс учебник Арефьева, Пирютко

Алгебра, 7 класс Учебник, авторы: Арефьева Ирина Глебовна, Пирютко Ольга Николаевна, издательство Народная асвета, Минск, 2022, зелёного цвета

Авторы: Арефьева И. Г., Пирютко О. Н.

Тип: Учебник

Издательство: Народная асвета

Год издания: 2022 - 2026

Цвет обложки: зелёный с графиком

ISBN: ISBN 978-985-03-3770-2

Допущено Министерством образования Республики Беларусь

Популярные ГДЗ в 7 классе

Глава 2. Выражения и их преобразования. Параграф 14. Разложение многочлена на множители - номер 2.388, страница 135.

№2.388 (с. 135)
Условие. №2.388 (с. 135)
скриншот условия
Алгебра, 7 класс Учебник, авторы: Арефьева Ирина Глебовна, Пирютко Ольга Николаевна, издательство Народная асвета, Минск, 2022, зелёного цвета, страница 135, номер 2.388, Условие

2.388. Вычислите наиболее удобным способом:

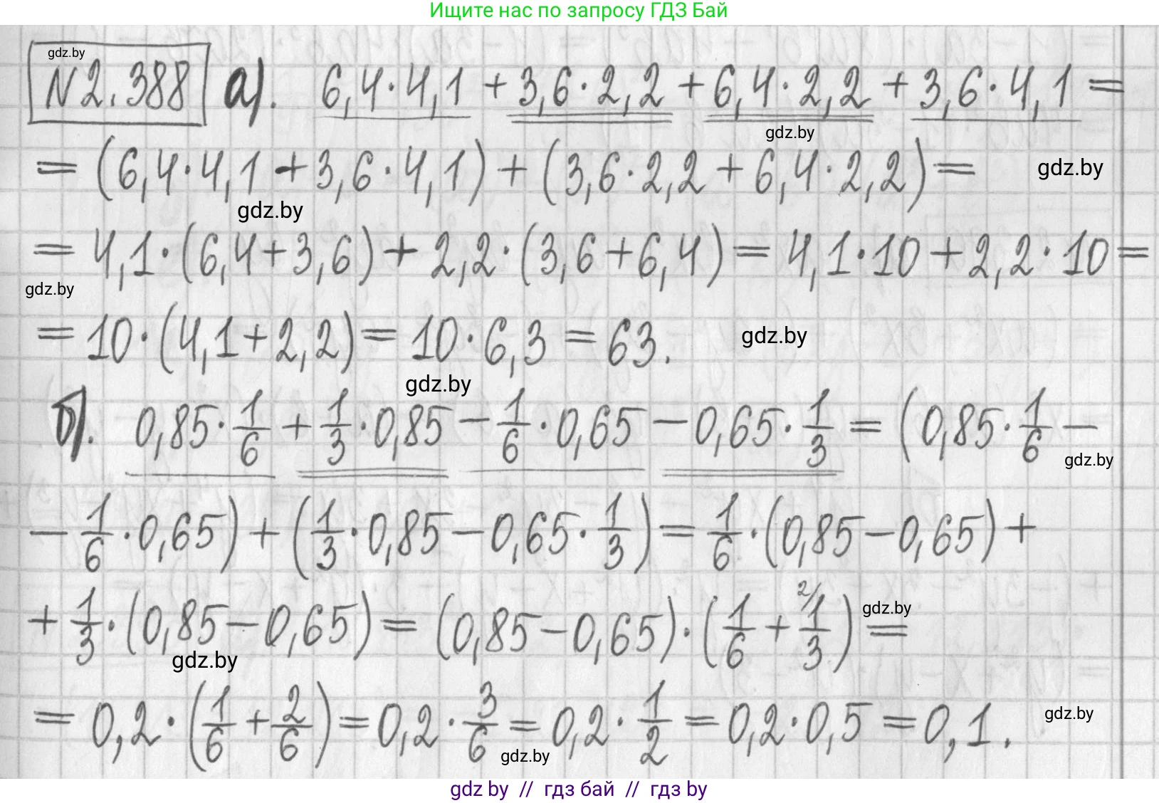
а) $6.4 \cdot 4.1 + 3.6 \cdot 2.2 + 6.4 \cdot 2.2 + 3.6 \cdot 4.1;$

б) $0.85 \cdot \frac{1}{6} + \frac{1}{3} \cdot 0.85 - \frac{1}{6} \cdot 0.65 - 0.65 \cdot \frac{1}{3}.$

Решение. №2.388 (с. 135)
Алгебра, 7 класс Учебник, авторы: Арефьева Ирина Глебовна, Пирютко Ольга Николаевна, издательство Народная асвета, Минск, 2022, зелёного цвета, страница 135, номер 2.388, Решение
Решение 2. №2.388 (с. 135)
а) $6,4 \cdot 4,1 + 3,6 \cdot 2,2 + 6,4 \cdot 2,2 + 3,6 \cdot 4,1$

Для решения наиболее удобным способом воспользуемся свойствами сложения и умножения. Сначала сгруппируем слагаемые, используя переместительное свойство сложения, чтобы объединить члены с общими множителями:

$$ (6,4 \cdot 4,1 + 3,6 \cdot 4,1) + (6,4 \cdot 2,2 + 3,6 \cdot 2,2) $$

Теперь воспользуемся распределительным свойством умножения и вынесем общие множители $4,1$ и $2,2$ за скобки в каждой группе:

$$ 4,1 \cdot (6,4 + 3,6) + 2,2 \cdot (6,4 + 3,6) $$

Мы видим, что выражение $(6,4 + 3,6)$ является общим множителем для обоих слагаемых. Вынесем его за скобки:

$$ (6,4 + 3,6) \cdot (4,1 + 2,2) $$

Выполним вычисления в скобках:

$$ 6,4 + 3,6 = 10 $$

$$ 4,1 + 2,2 = 6,3 $$

Теперь перемножим полученные результаты:

$$ 10 \cdot 6,3 = 63 $$

Ответ: 63.


б) $0,85 \cdot \frac{1}{6} + \frac{1}{3} \cdot 0,85 - \frac{1}{6} \cdot 0,65 - 0,65 \cdot \frac{1}{3}$

Для удобства вычислений сгруппируем слагаемые с общими множителями $0,85$ и $0,65$. Для этого применим переместительное свойство ко второму слагаемому ($ \frac{1}{3} \cdot 0,85 = 0,85 \cdot \frac{1}{3} $):

$$ (0,85 \cdot \frac{1}{6} + 0,85 \cdot \frac{1}{3}) - (0,65 \cdot \frac{1}{6} + 0,65 \cdot \frac{1}{3}) $$

Вынесем общие множители $0,85$ и $0,65$ за скобки в каждой группе:

$$ 0,85 \cdot (\frac{1}{6} + \frac{1}{3}) - 0,65 \cdot (\frac{1}{6} + \frac{1}{3}) $$

Теперь вынесем общий множитель $(\frac{1}{6} + \frac{1}{3})$ за скобки:

$$ (0,85 - 0,65) \cdot (\frac{1}{6} + \frac{1}{3}) $$

Вычислим значение в каждой из скобок. Сначала найдем разность десятичных дробей:

$$ 0,85 - 0,65 = 0,2 $$

Затем найдем сумму обыкновенных дробей, приведя их к общему знаменателю 6:

$$ \frac{1}{6} + \frac{1}{3} = \frac{1}{6} + \frac{1 \cdot 2}{3 \cdot 2} = \frac{1}{6} + \frac{2}{6} = \frac{1+2}{6} = \frac{3}{6} = \frac{1}{2} $$

Перемножим полученные результаты. Для этого представим десятичную дробь $0,2$ в виде обыкновенной дроби $\frac{1}{5}$:

$$ 0,2 \cdot \frac{1}{2} = \frac{1}{5} \cdot \frac{1}{2} = \frac{1}{10} $$

Ответ: $\frac{1}{10}$.

Помогло решение? Оставьте отзыв в комментариях ниже.

Присоединяйтесь к Телеграм-группе @gdz_by_belarus

Присоединиться

Мы подготовили для вас ответ c подробным объяснением домашего задания по алгебре за 7 класс, для упражнения номер 2.388 расположенного на странице 135 к учебнику 2022 года издания для учащихся школ и гимназий.

Теперь на нашем сайте ГДЗ.ТОП вы всегда легко и бесплатно найдёте условие с правильным ответом на вопрос «Как решить ДЗ» и «Как сделать» задание по алгебре к упражнению №2.388 (с. 135), авторов: Арефьева (Ирина Глебовна), Пирютко (Ольга Николаевна), учебного пособия издательства Народная асвета.