Номер 2.398, страница 136 - гдз по алгебре 7 класс учебник Арефьева, Пирютко

Алгебра, 7 класс Учебник, авторы: Арефьева Ирина Глебовна, Пирютко Ольга Николаевна, издательство Народная асвета, Минск, 2022, зелёного цвета

Авторы: Арефьева И. Г., Пирютко О. Н.

Тип: Учебник

Издательство: Народная асвета

Год издания: 2022 - 2026

Цвет обложки: зелёный с графиком

ISBN: ISBN 978-985-03-3770-2

Допущено Министерством образования Республики Беларусь

Популярные ГДЗ в 7 классе

Глава 2. Выражения и их преобразования. Параграф 14. Разложение многочлена на множители - номер 2.398, страница 136.

№2.398 (с. 136)
Условие. №2.398 (с. 136)
скриншот условия
Алгебра, 7 класс Учебник, авторы: Арефьева Ирина Глебовна, Пирютко Ольга Николаевна, издательство Народная асвета, Минск, 2022, зелёного цвета, страница 136, номер 2.398, Условие

2.398. Разложите многочлен на множители:

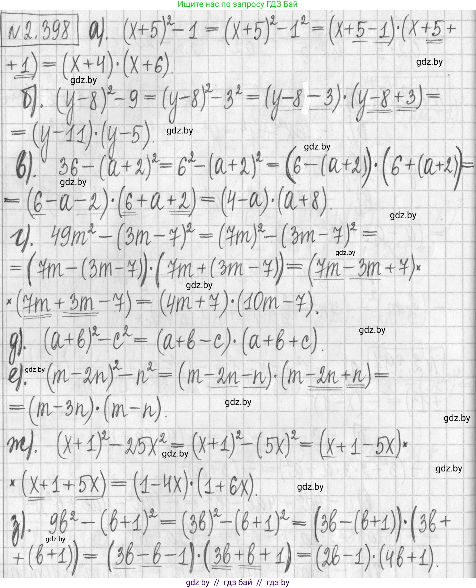
а) $ (x+5)^2 - 1; $

б) $ (y-8)^2 - 9; $

в) $ 36 - (a+2)^2; $

г) $ 49m^2 - (3m-7)^2; $

д) $ (a+b)^2 - c^2; $

е) $ (m-2n)^2 - n^2; $

ж) $ (x+1)^2 - 25x^2; $

з) $ 9b^2 - (b+1)^2. $

Решение. №2.398 (с. 136)
Алгебра, 7 класс Учебник, авторы: Арефьева Ирина Глебовна, Пирютко Ольга Николаевна, издательство Народная асвета, Минск, 2022, зелёного цвета, страница 136, номер 2.398, Решение
Решение 2. №2.398 (с. 136)

Для решения всех заданий используется формула разности квадратов: $A^2 - B^2 = (A - B)(A + B)$.

a) $(x + 5)^2 - 1$

Представим выражение в виде разности квадратов. В данном случае $A = x + 5$ и $B = 1$, так как $1^2 = 1$.

Применим формулу:

$(x + 5)^2 - 1^2 = ((x + 5) - 1)((x + 5) + 1)$

Упростим выражения в скобках:

$(x + 5 - 1)(x + 5 + 1) = (x + 4)(x + 6)$

Ответ: $(x + 4)(x + 6)$

б) $(y - 8)^2 - 9$

Представим выражение в виде разности квадратов. Здесь $A = y - 8$ и $B = 3$, так как $9 = 3^2$.

Применим формулу:

$(y - 8)^2 - 3^2 = ((y - 8) - 3)((y - 8) + 3)$

Упростим выражения в скобках:

$(y - 8 - 3)(y - 8 + 3) = (y - 11)(y - 5)$

Ответ: $(y - 11)(y - 5)$

в) $36 - (a + 2)^2$

Представим выражение в виде разности квадратов. Здесь $A = 6$, так как $36 = 6^2$, и $B = a + 2$.

Применим формулу:

$6^2 - (a + 2)^2 = (6 - (a + 2))(6 + (a + 2))$

Раскроем внутренние скобки и упростим:

$(6 - a - 2)(6 + a + 2) = (4 - a)(8 + a)$

Ответ: $(4 - a)(8 + a)$

г) $49m^2 - (3m - 7)^2$

Представим выражение в виде разности квадратов. Здесь $A = 7m$, так как $49m^2 = (7m)^2$, и $B = 3m - 7$.

Применим формулу:

$(7m)^2 - (3m - 7)^2 = (7m - (3m - 7))(7m + (3m - 7))$

Раскроем внутренние скобки и упростим:

$(7m - 3m + 7)(7m + 3m - 7) = (4m + 7)(10m - 7)$

Ответ: $(4m + 7)(10m - 7)$

д) $(a + b)^2 - c^2$

Это выражение уже представлено в виде разности квадратов. Здесь $A = a + b$ и $B = c$.

Применим формулу:

$(a + b)^2 - c^2 = ((a + b) - c)((a + b) + c)$

Раскроем внутренние скобки:

$(a + b - c)(a + b + c)$

Ответ: $(a + b - c)(a + b + c)$

е) $(m - 2n)^2 - n^2$

Представим выражение в виде разности квадратов. Здесь $A = m - 2n$ и $B = n$.

Применим формулу:

$(m - 2n)^2 - n^2 = ((m - 2n) - n)((m - 2n) + n)$

Упростим выражения в скобках:

$(m - 2n - n)(m - 2n + n) = (m - 3n)(m - n)$

Ответ: $(m - 3n)(m - n)$

ж) $(x + 1)^2 - 25x^2$

Представим выражение в виде разности квадратов. Здесь $A = x + 1$ и $B = 5x$, так как $25x^2 = (5x)^2$.

Применим формулу:

$(x + 1)^2 - (5x)^2 = ((x + 1) - 5x)((x + 1) + 5x)$

Упростим выражения в скобках:

(1 + x - 5x)(1 + x + 5x) = (1 - 4x)(1 + 6x)

Ответ: $(1 - 4x)(1 + 6x)$

з) $9b^2 - (b + 1)^2$

Представим выражение в виде разности квадратов. Здесь $A = 3b$, так как $9b^2 = (3b)^2$, и $B = b + 1$.

Применим формулу:

$(3b)^2 - (b + 1)^2 = (3b - (b + 1))(3b + (b + 1))$

Раскроем внутренние скобки и упростим:

$(3b - b - 1)(3b + b + 1) = (2b - 1)(4b + 1)$

Ответ: $(2b - 1)(4b + 1)$

Помогло решение? Оставьте отзыв в комментариях ниже.

Присоединяйтесь к Телеграм-группе @gdz_by_belarus

Присоединиться

Мы подготовили для вас ответ c подробным объяснением домашего задания по алгебре за 7 класс, для упражнения номер 2.398 расположенного на странице 136 к учебнику 2022 года издания для учащихся школ и гимназий.

Теперь на нашем сайте ГДЗ.ТОП вы всегда легко и бесплатно найдёте условие с правильным ответом на вопрос «Как решить ДЗ» и «Как сделать» задание по алгебре к упражнению №2.398 (с. 136), авторов: Арефьева (Ирина Глебовна), Пирютко (Ольга Николаевна), учебного пособия издательства Народная асвета.