Номер 2.408, страница 137 - гдз по алгебре 7 класс учебник Арефьева, Пирютко

Алгебра, 7 класс Учебник, авторы: Арефьева Ирина Глебовна, Пирютко Ольга Николаевна, издательство Народная асвета, Минск, 2022, зелёного цвета

Авторы: Арефьева И. Г., Пирютко О. Н.

Тип: Учебник

Издательство: Народная асвета

Год издания: 2022 - 2026

Цвет обложки: зелёный с графиком

ISBN: ISBN 978-985-03-3770-2

Допущено Министерством образования Республики Беларусь

Популярные ГДЗ в 7 классе

Глава 2. Выражения и их преобразования. Параграф 14. Разложение многочлена на множители - номер 2.408, страница 137.

№2.408 (с. 137)
Условие. №2.408 (с. 137)
скриншот условия
Алгебра, 7 класс Учебник, авторы: Арефьева Ирина Глебовна, Пирютко Ольга Николаевна, издательство Народная асвета, Минск, 2022, зелёного цвета, страница 137, номер 2.408, Условие

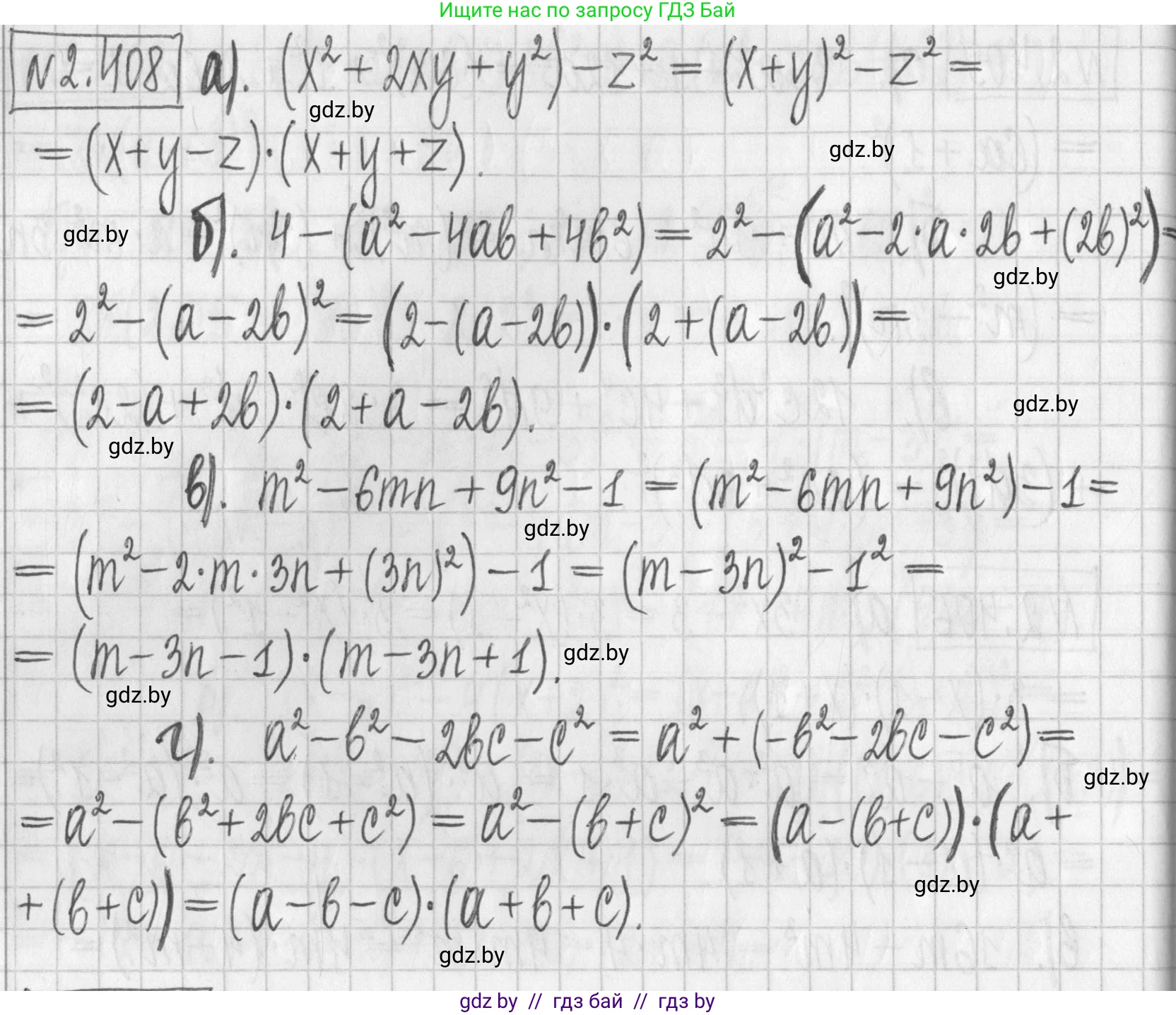
2.408. Используя комбинацию различных способов, разложите многочлен на множители:

а) $(x^2 + 2xy + y^2) - z^2;$

б) $4 - (a^2 - 4ab + 4b^2);$

в) $m^2 - 6mn + 9n^2 - 1;$

г) $a^2 - b^2 - 2bc - c^2.$

Решение. №2.408 (с. 137)
Алгебра, 7 класс Учебник, авторы: Арефьева Ирина Глебовна, Пирютко Ольга Николаевна, издательство Народная асвета, Минск, 2022, зелёного цвета, страница 137, номер 2.408, Решение
Решение 2. №2.408 (с. 137)

Для решения данной задачи по разложению многочленов на множители используется комбинация метода группировки и формул сокращенного умножения.

Основные формулы, которые будут использованы:

  • Квадрат суммы: $ (a+b)^2 = a^2 + 2ab + b^2 $
  • Квадрат разности: $ (a-b)^2 = a^2 - 2ab + b^2 $
  • Разность квадратов: $ a^2 - b^2 = (a-b)(a+b) $

а) $(x^2 + 2xy + y^2) - z^2$

Сначала заметим, что выражение в скобках $x^2 + 2xy + y^2$ представляет собой полный квадрат суммы. Используя формулу квадрата суммы, свернем его:

$x^2 + 2xy + y^2 = (x+y)^2$

Теперь исходное выражение принимает вид:

$(x+y)^2 - z^2$

Это выражение является разностью квадратов. Применим формулу разности квадратов $A^2 - B^2 = (A-B)(A+B)$, где $A = (x+y)$ и $B = z$:

$(x+y)^2 - z^2 = ((x+y) - z)((x+y) + z) = (x+y-z)(x+y+z)$

Ответ: $(x+y-z)(x+y+z)$

б) $4 - (a^2 - 4ab + 4b^2)$

Рассмотрим выражение в скобках $a^2 - 4ab + 4b^2$. Оно является полным квадратом разности, так как $a^2 - 4ab + 4b^2 = a^2 - 2 \cdot a \cdot (2b) + (2b)^2$. Свернем его по формуле квадрата разности:

$a^2 - 4ab + 4b^2 = (a-2b)^2$

Подставим это в исходное выражение:

$4 - (a-2b)^2$

Представим $4$ как $2^2$. Теперь у нас есть разность квадратов $2^2 - (a-2b)^2$. Применим соответствующую формулу, где $A=2$ и $B=(a-2b)$:

$2^2 - (a-2b)^2 = (2 - (a-2b))(2 + (a-2b)) = (2-a+2b)(2+a-2b)$

Ответ: $(2-a+2b)(2+a-2b)$

в) $m^2 - 6mn + 9n^2 - 1$

Сгруппируем первые три члена многочлена: $(m^2 - 6mn + 9n^2) - 1$. Выражение в скобках является полным квадратом разности, так как $m^2 - 6mn + 9n^2 = m^2 - 2 \cdot m \cdot (3n) + (3n)^2$.

Свернем его по формуле:

$(m-3n)^2 - 1$

Представим $1$ как $1^2$. Получаем разность квадратов $(m-3n)^2 - 1^2$. Применим формулу, где $A=(m-3n)$ и $B=1$:

$(m-3n)^2 - 1^2 = ((m-3n) - 1)((m-3n) + 1) = (m-3n-1)(m-3n+1)$

Ответ: $(m-3n-1)(m-3n+1)$

г) $a^2 - b^2 - 2bc - c^2$

Сгруппируем последние три члена, вынеся за скобку знак минус:

$a^2 - (b^2 + 2bc + c^2)$

Выражение в скобках $b^2 + 2bc + c^2$ является полным квадратом суммы. Свернем его по формуле:

$b^2 + 2bc + c^2 = (b+c)^2$

Подставим обратно в выражение:

$a^2 - (b+c)^2$

Это разность квадратов. Применим формулу, где $A=a$ и $B=(b+c)$:

$a^2 - (b+c)^2 = (a - (b+c))(a + (b+c)) = (a-b-c)(a+b+c)$

Ответ: $(a-b-c)(a+b+c)$

Помогло решение? Оставьте отзыв в комментариях ниже.

Присоединяйтесь к Телеграм-группе @gdz_by_belarus

Присоединиться

Мы подготовили для вас ответ c подробным объяснением домашего задания по алгебре за 7 класс, для упражнения номер 2.408 расположенного на странице 137 к учебнику 2022 года издания для учащихся школ и гимназий.

Теперь на нашем сайте ГДЗ.ТОП вы всегда легко и бесплатно найдёте условие с правильным ответом на вопрос «Как решить ДЗ» и «Как сделать» задание по алгебре к упражнению №2.408 (с. 137), авторов: Арефьева (Ирина Глебовна), Пирютко (Ольга Николаевна), учебного пособия издательства Народная асвета.