Номер 3.88, страница 168 - гдз по алгебре 7 класс учебник Арефьева, Пирютко

Алгебра, 7 класс Учебник, авторы: Арефьева Ирина Глебовна, Пирютко Ольга Николаевна, издательство Народная асвета, Минск, 2022, зелёного цвета

Авторы: Арефьева И. Г., Пирютко О. Н.

Тип: Учебник

Издательство: Народная асвета

Год издания: 2022 - 2026

Цвет обложки: зелёный с графиком

ISBN: ISBN 978-985-03-3770-2

Допущено Министерством образования Республики Беларусь

Популярные ГДЗ в 7 классе

Глава 3. Линейные уравнения. Линейные неравенства. Линейная функция. Параграф 16. Решение текстовых задач с помощью линейных уравнений - номер 3.88, страница 168.

№3.88 (с. 168)
Условие. №3.88 (с. 168)
скриншот условия
Алгебра, 7 класс Учебник, авторы: Арефьева Ирина Глебовна, Пирютко Ольга Николаевна, издательство Народная асвета, Минск, 2022, зелёного цвета, страница 168, номер 3.88, Условие

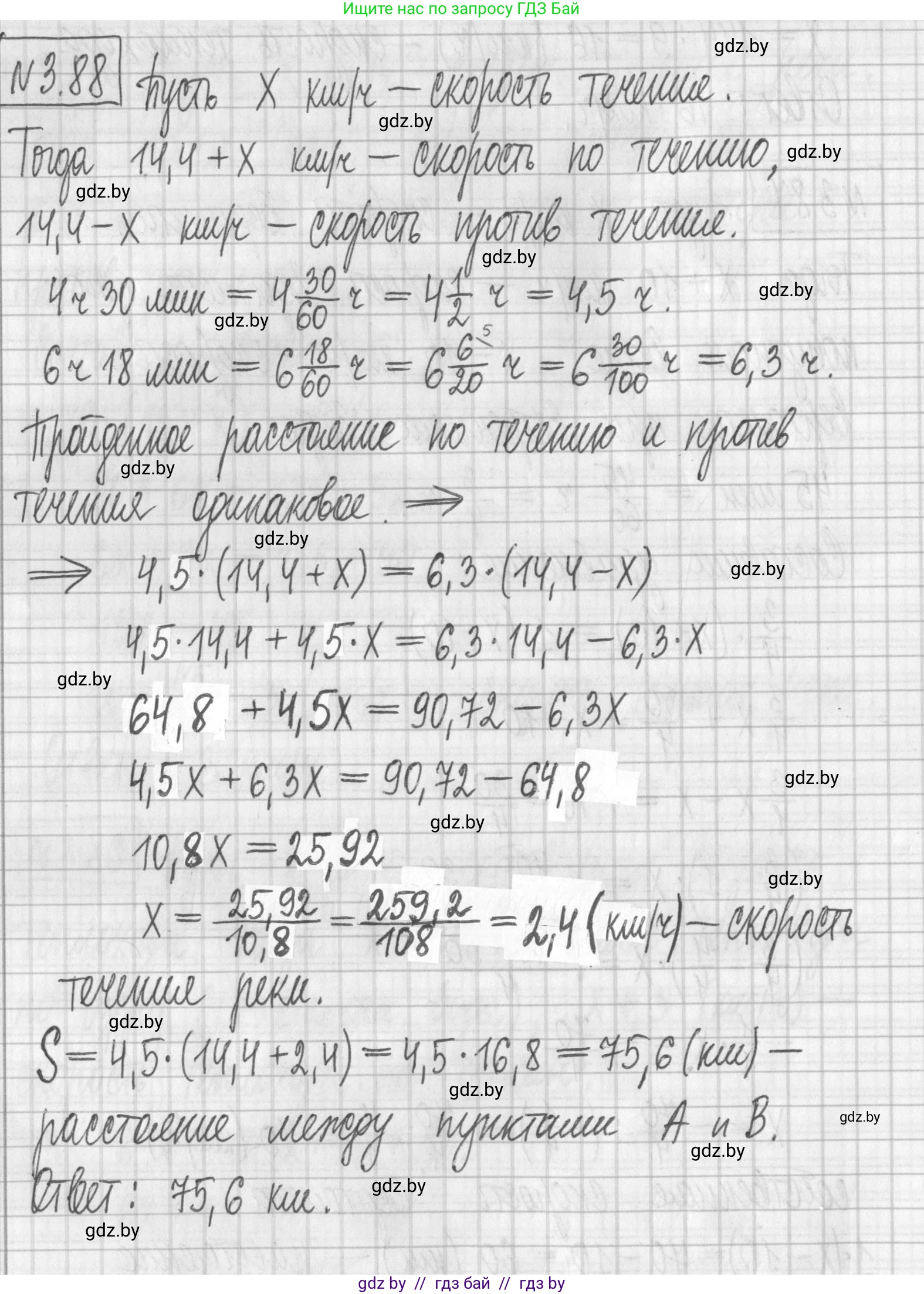
3.88. Теплоход прошел расстояние между пунктами $A$ и $B$ по течению реки за 4 ч 30 мин, а обратно — за 6 ч 18 мин. Найдите расстояние между пунктами $A$ и $B$, если собственная скорость теплохода равна $14.4 \frac{\text{КМ}}{\text{ч}}$.

Решение. №3.88 (с. 168)
Алгебра, 7 класс Учебник, авторы: Арефьева Ирина Глебовна, Пирютко Ольга Николаевна, издательство Народная асвета, Минск, 2022, зелёного цвета, страница 168, номер 3.88, Решение
Решение 2. №3.88 (с. 168)

Найдите расстояние между пунктами А и В

1. Введем переменные и переведем время в часы.
Пусть $S$ - искомое расстояние между пунктами А и В (в км).
Пусть $v_{соб}$ - собственная скорость теплохода, по условию $v_{соб} = 14,4$ км/ч.
Пусть $v_{теч}$ - скорость течения реки (в км/ч).
Тогда скорость теплохода по течению реки равна $v_{по} = (14,4 + v_{теч})$ км/ч.
Скорость теплохода против течения реки равна $v_{против} = (14,4 - v_{теч})$ км/ч.

Переведем время движения в часы для удобства расчетов:
Время по течению: $t_{по} = 4 \text{ ч } 30 \text{ мин } = 4 + \frac{30}{60} \text{ ч } = 4,5$ ч.
Время против течения: $t_{против} = 6 \text{ ч } 18 \text{ мин } = 6 + \frac{18}{60} \text{ ч } = 6 + \frac{3}{10} \text{ ч } = 6,3$ ч.

2. Составим и решим уравнение.
Расстояние $S$ можно выразить двумя способами через формулу $S = v \cdot t$:
$S = v_{по} \cdot t_{по} = (14,4 + v_{теч}) \cdot 4,5$
$S = v_{против} \cdot t_{против} = (14,4 - v_{теч}) \cdot 6,3$
Так как расстояние в обоих случаях одно и то же, приравняем правые части этих выражений: $$ (14,4 + v_{теч}) \cdot 4,5 = (14,4 - v_{теч}) \cdot 6,3 $$ Раскроем скобки: $$ 14,4 \cdot 4,5 + 4,5 \cdot v_{теч} = 14,4 \cdot 6,3 - 6,3 \cdot v_{теч} $$ $$ 64,8 + 4,5 \cdot v_{теч} = 90,72 - 6,3 \cdot v_{теч} $$ Соберем слагаемые с $v_{теч}$ в левой части, а числовые значения - в правой: $$ 4,5 \cdot v_{теч} + 6,3 \cdot v_{теч} = 90,72 - 64,8 $$ $$ 10,8 \cdot v_{теч} = 25,92 $$ Теперь найдем скорость течения: $$ v_{теч} = \frac{25,92}{10,8} = 2,4 \text{ км/ч} $$

3. Вычислим расстояние.
Теперь, когда мы знаем скорость течения, мы можем найти расстояние $S$, подставив $v_{теч}$ в любое из двух первоначальных выражений. Воспользуемся выражением для движения по течению: $$ S = (14,4 + v_{теч}) \cdot 4,5 = (14,4 + 2,4) \cdot 4,5 = 16,8 \cdot 4,5 = 75,6 \text{ км} $$

4. Представим ответ в требуемом формате.
Результат $75,6$ км нужно представить в виде смешанного числа. Для этого переведем десятичную дробь в обыкновенную: $$ 75,6 = \frac{756}{10} = \frac{378}{5} $$ Теперь выделим целую часть из неправильной дроби $\frac{378}{5}$. Для этого разделим 378 на 5 с остатком:
$378 \div 5 = 75$ (остаток $3$).
Таким образом, $\frac{378}{5} = 75\frac{3}{5}$.

Ответ: $75\frac{3}{5}$ км.

Помогло решение? Оставьте отзыв в комментариях ниже.

Присоединяйтесь к Телеграм-группе @gdz_by_belarus

Присоединиться

Мы подготовили для вас ответ c подробным объяснением домашего задания по алгебре за 7 класс, для упражнения номер 3.88 расположенного на странице 168 к учебнику 2022 года издания для учащихся школ и гимназий.

Теперь на нашем сайте ГДЗ.ТОП вы всегда легко и бесплатно найдёте условие с правильным ответом на вопрос «Как решить ДЗ» и «Как сделать» задание по алгебре к упражнению №3.88 (с. 168), авторов: Арефьева (Ирина Глебовна), Пирютко (Ольга Николаевна), учебного пособия издательства Народная асвета.