Номер 2.440, страница 140 - гдз по алгебре 7 класс учебник Арефьева, Пирютко

Алгебра, 7 класс Учебник, авторы: Арефьева Ирина Глебовна, Пирютко Ольга Николаевна, издательство Народная асвета, Минск, 2022, зелёного цвета

Авторы: Арефьева И. Г., Пирютко О. Н.

Тип: Учебник

Издательство: Народная асвета

Год издания: 2022 - 2026

Цвет обложки: зелёный с графиком

ISBN: ISBN 978-985-03-3770-2

Допущено Министерством образования Республики Беларусь

Популярные ГДЗ в 7 классе

Глава 2. Выражения и их преобразования. Параграф 14. Разложение многочлена на множители - номер 2.440, страница 140.

№2.440 (с. 140)
Условие. №2.440 (с. 140)
скриншот условия
Алгебра, 7 класс Учебник, авторы: Арефьева Ирина Глебовна, Пирютко Ольга Николаевна, издательство Народная асвета, Минск, 2022, зелёного цвета, страница 140, номер 2.440, Условие

2.440*. Разложите многочлен на множители:

а) $(2a - 3b)x^2 - 6(3b - 2a)x + 18a - 27b;$

б) $(ab + b^2)(a^2 + 6a) - (a^2 + ab)(b^2 + 6b);$

в) $(4 - y)(4 + y) - b(b - 2y).$

Решение. №2.440 (с. 140)
Алгебра, 7 класс Учебник, авторы: Арефьева Ирина Глебовна, Пирютко Ольга Николаевна, издательство Народная асвета, Минск, 2022, зелёного цвета, страница 140, номер 2.440, Решение
Решение 2. №2.440 (с. 140)

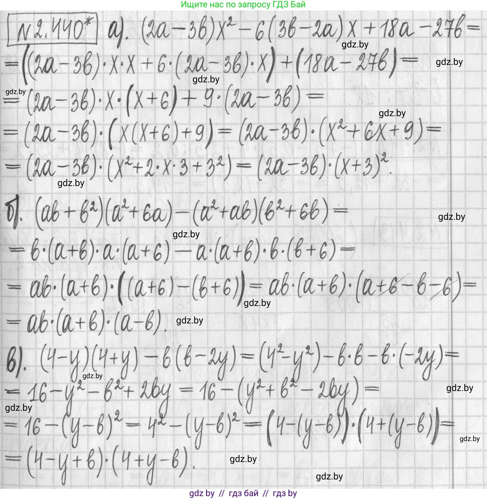
а) Разложите на множители многочлен $(2a - 3b)x^2 - 6(3b - 2a)x + 18a - 27b$.

Решение:

1. Заметим, что выражение $(3b - 2a)$ можно представить как $-(2a - 3b)$. Преобразуем второе слагаемое:

$-6(3b - 2a)x = -6(-(2a - 3b))x = 6(2a - 3b)x$

2. В последних двух слагаемых вынесем за скобки общий множитель $9$:

$18a - 27b = 9(2a - 3b)$

3. Подставим преобразованные части в исходное выражение. Оно примет вид:

$(2a - 3b)x^2 + 6(2a - 3b)x + 9(2a - 3b)$

4. Вынесем общий множитель $(2a - 3b)$ за скобки:

$(2a - 3b)(x^2 + 6x + 9)$

5. Выражение в скобках $x^2 + 6x + 9$ является полным квадратом суммы, так как соответствует формуле $(p+q)^2 = p^2 + 2pq + q^2$, где $p=x$ и $q=3$.

$x^2 + 6x + 9 = x^2 + 2 \cdot x \cdot 3 + 3^2 = (x+3)^2$

Ответ: $(2a - 3b)(x + 3)^2$.


б) Разложите на множители многочлен $(ab + b^2)(a^2 + 6a) - (a^2 + ab)(b^2 + 6b)$.

Решение:

1. В каждой из скобок вынесем за скобки общие множители:

  • $ab + b^2 = b(a + b)$
  • $a^2 + 6a = a(a + 6)$
  • $a^2 + ab = a(a + b)$
  • $b^2 + 6b = b(b + 6)$

2. Подставим полученные разложения в исходное выражение:

$[b(a + b)][a(a + 6)] - [a(a + b)][b(b + 6)]$

3. Перегруппируем множители, чтобы сделать общие части более очевидными:

$ab(a + b)(a + 6) - ab(a + b)(b + 6)$

4. Вынесем общий множитель $ab(a + b)$ за скобки:

$ab(a + b)[(a + 6) - (b + 6)]$

5. Упростим выражение в квадратных скобках:

$a + 6 - b - 6 = a - b$

6. Таким образом, окончательное разложение на множители:

Ответ: $ab(a + b)(a - b)$.


в) Разложите на множители многочлен $(4 - y)(4 + y) - b(b - 2y)$.

Решение:

1. Первое слагаемое $(4 - y)(4 + y)$ является разностью квадратов. Применим формулу $(p-q)(p+q) = p^2 - q^2$:

$(4 - y)(4 + y) = 4^2 - y^2 = 16 - y^2$

2. Раскроем скобки во втором слагаемом:

$-b(b - 2y) = -b^2 + 2by$

3. Подставим преобразованные части в исходное выражение:

$16 - y^2 - b^2 + 2by$

4. Перегруппируем слагаемые, чтобы выделить формулу полного квадрата. Для этого вынесем $-1$ за скобки у группы слагаемых, содержащих переменные $y$ и $b$:

$16 - (y^2 - 2by + b^2)$

5. Выражение в скобках $y^2 - 2by + b^2$ является полным квадратом разности по формуле $(p-q)^2 = p^2 - 2pq + q^2$, где $p=y$ и $q=b$.

$y^2 - 2by + b^2 = (y - b)^2$

6. Теперь выражение имеет вид разности квадратов:

$16 - (y - b)^2 = 4^2 - (y - b)^2$

7. Снова применим формулу разности квадратов $p^2 - q^2 = (p-q)(p+q)$, где $p=4$ и $q = (y-b)$:

$(4 - (y - b))(4 + (y - b))$

8. Раскроем внутренние скобки, чтобы получить окончательный ответ:

$(4 - y + b)(4 + y - b)$

Ответ: $(4 - y + b)(4 + y - b)$.

Помогло решение? Оставьте отзыв в комментариях ниже.

Присоединяйтесь к Телеграм-группе @gdz_by_belarus

Присоединиться

Мы подготовили для вас ответ c подробным объяснением домашего задания по алгебре за 7 класс, для упражнения номер 2.440 расположенного на странице 140 к учебнику 2022 года издания для учащихся школ и гимназий.

Теперь на нашем сайте ГДЗ.ТОП вы всегда легко и бесплатно найдёте условие с правильным ответом на вопрос «Как решить ДЗ» и «Как сделать» задание по алгебре к упражнению №2.440 (с. 140), авторов: Арефьева (Ирина Глебовна), Пирютко (Ольга Николаевна), учебного пособия издательства Народная асвета.