Номер 3.193, страница 189 - гдз по алгебре 7 класс учебник Арефьева, Пирютко

Алгебра, 7 класс Учебник, авторы: Арефьева Ирина Глебовна, Пирютко Ольга Николаевна, издательство Народная асвета, Минск, 2022, зелёного цвета

Авторы: Арефьева И. Г., Пирютко О. Н.

Тип: Учебник

Издательство: Народная асвета

Год издания: 2022 - 2026

Цвет обложки: зелёный с графиком

ISBN: ISBN 978-985-03-3770-2

Допущено Министерством образования Республики Беларусь

Популярные ГДЗ в 7 классе

Глава 3. Линейные уравнения. Линейные неравенства. Линейная функция. Параграф 17. Числовые неравенства - номер 3.193, страница 189.

№3.193 (с. 189)
Условие. №3.193 (с. 189)
скриншот условия
Алгебра, 7 класс Учебник, авторы: Арефьева Ирина Глебовна, Пирютко Ольга Николаевна, издательство Народная асвета, Минск, 2022, зелёного цвета, страница 189, номер 3.193, Условие

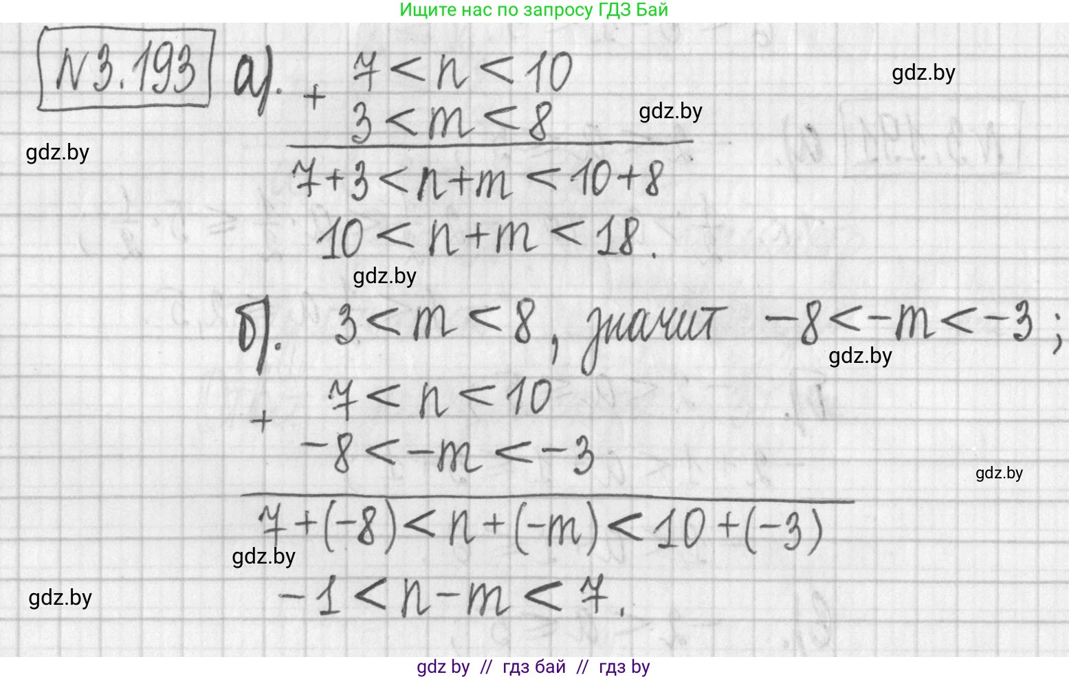
3.193. Известно, что $7 < n < 10$ и $3 < m < 8$. Оцените:

а) $n + m$;

б) $n - m$;

в) $nm$;

г) $\frac{n}{m}$.

Решение. №3.193 (с. 189)
Алгебра, 7 класс Учебник, авторы: Арефьева Ирина Глебовна, Пирютко Ольга Николаевна, издательство Народная асвета, Минск, 2022, зелёного цвета, страница 189, номер 3.193, Решение Алгебра, 7 класс Учебник, авторы: Арефьева Ирина Глебовна, Пирютко Ольга Николаевна, издательство Народная асвета, Минск, 2022, зелёного цвета, страница 189, номер 3.193, Решение (продолжение 2)
Решение 2. №3.193 (с. 189)

По условию задачи даны два неравенства:

$7 < n < 10$

$3 < m < 8$

Необходимо оценить значения следующих выражений:

а) n + m;

Для оценки суммы $n + m$ необходимо сложить почленно данные неравенства, так как они одного знака. Сложим левые части с левыми, а правые с правыми:

$ \quad 7 + 3 < n + m < 10 + 8 $

Выполнив сложение, получаем итоговое неравенство:

$ \quad 10 < n + m < 18 $

Ответ: $10 < n+m < 18$.

б) n - m;

Для оценки разности $n - m$ можно представить ее как сумму $n + (-m)$. Для этого сначала преобразуем неравенство для $m$. Умножим все части неравенства $3 < m < 8$ на $-1$, при этом знаки неравенства изменятся на противоположные:

$ \quad -8 < -m < -3 $

Теперь сложим почленно полученное неравенство с неравенством для $n$:

$ \quad 7 + (-8) < n + (-m) < 10 + (-3) $

Выполнив вычисления, получаем:

$ \quad -1 < n - m < 7 $

Ответ: $-1 < n - m < 7$.

в) nm;

Так как все части данных неравенств ($7 < n < 10$ и $3 < m < 8$) являются положительными числами, для оценки произведения $nm$ мы можем их почленно перемножить:

$ \quad 7 \times 3 < nm < 10 \times 8 $

Выполнив умножение, получаем:

$ \quad 21 < nm < 80 $

Ответ: $21 < nm < 80$.

г) n/m;

Для оценки частного $\frac{n}{m}$ представим его в виде произведения $n \times \frac{1}{m}$. Для этого сначала преобразуем неравенство для $m$. Так как все части неравенства $3 < m < 8$ положительны, мы можем взять обратные величины, изменив знаки неравенства на противоположные:

$ \quad \frac{1}{8} < \frac{1}{m} < \frac{1}{3} $

Теперь перемножим почленно неравенства $7 < n < 10$ и $\frac{1}{8} < \frac{1}{m} < \frac{1}{3}$ (так как все части положительны):

$ \quad 7 \times \frac{1}{8} < n \times \frac{1}{m} < 10 \times \frac{1}{3} $

Выполнив вычисления, получаем:

$ \quad \frac{7}{8} < \frac{n}{m} < \frac{10}{3} $

Дробь $\frac{10}{3}$ является неправильной. Выделим из нее целую часть: $\frac{10}{3} = 3\frac{1}{3}$.

Ответ: $\frac{7}{8} < \frac{n}{m} < 3\frac{1}{3}$.

Помогло решение? Оставьте отзыв в комментариях ниже.

Присоединяйтесь к Телеграм-группе @gdz_by_belarus

Присоединиться

Мы подготовили для вас ответ c подробным объяснением домашего задания по алгебре за 7 класс, для упражнения номер 3.193 расположенного на странице 189 к учебнику 2022 года издания для учащихся школ и гимназий.

Теперь на нашем сайте ГДЗ.ТОП вы всегда легко и бесплатно найдёте условие с правильным ответом на вопрос «Как решить ДЗ» и «Как сделать» задание по алгебре к упражнению №3.193 (с. 189), авторов: Арефьева (Ирина Глебовна), Пирютко (Ольга Николаевна), учебного пособия издательства Народная асвета.