Номер 3.218, страница 199 - гдз по алгебре 7 класс учебник Арефьева, Пирютко

Алгебра, 7 класс Учебник, авторы: Арефьева Ирина Глебовна, Пирютко Ольга Николаевна, издательство Народная асвета, Минск, 2022, зелёного цвета

Авторы: Арефьева И. Г., Пирютко О. Н.

Тип: Учебник

Издательство: Народная асвета

Год издания: 2022 - 2026

Цвет обложки: зелёный с графиком

ISBN: ISBN 978-985-03-3770-2

Допущено Министерством образования Республики Беларусь

Популярные ГДЗ в 7 классе

Глава 3. Линейные уравнения. Линейные неравенства. Линейная функция. Параграф 18. Линейные неравенства с одной переменной - номер 3.218, страница 199.

№3.218 (с. 199)
Условие. №3.218 (с. 199)
скриншот условия
Алгебра, 7 класс Учебник, авторы: Арефьева Ирина Глебовна, Пирютко Ольга Николаевна, издательство Народная асвета, Минск, 2022, зелёного цвета, страница 199, номер 3.218, Условие

3.218. Решите неравенство:

a) $3(2x + 1) - 6 < 2 - 3(1 - 3x);$

б) $5 - 4(2 - 3x) \leq (2x + 1) - 3;$

в) $-(6x + 2) + 3(x - 1) \leq 0;$

г) $3(1 - x) - (2 - x) \leq 2;$

д) $3(3x - 1) > 2(5x - 7);$

е) $-(8x - 2) - 2(x - 3) \geq 0.$

Решение. №3.218 (с. 199)
Алгебра, 7 класс Учебник, авторы: Арефьева Ирина Глебовна, Пирютко Ольга Николаевна, издательство Народная асвета, Минск, 2022, зелёного цвета, страница 199, номер 3.218, Решение Алгебра, 7 класс Учебник, авторы: Арефьева Ирина Глебовна, Пирютко Ольга Николаевна, издательство Народная асвета, Минск, 2022, зелёного цвета, страница 199, номер 3.218, Решение (продолжение 2)
Решение 2. №3.218 (с. 199)

а) $3(2x + 1) - 6 < 2 - 3(1 - 3x)$

Раскроем скобки в обеих частях неравенства:

$6x + 3 - 6 < 2 - 3 + 9x$

Приведем подобные слагаемые:

$6x - 3 < 9x - 1$

Перенесем слагаемые с переменной $x$ в правую часть, а числа - в левую, чтобы коэффициент при $x$ был положительным:

$-3 + 1 < 9x - 6x$

$-2 < 3x$

Разделим обе части на 3:

$x > -\frac{2}{3}$

Ответ: $x > -\frac{2}{3}$

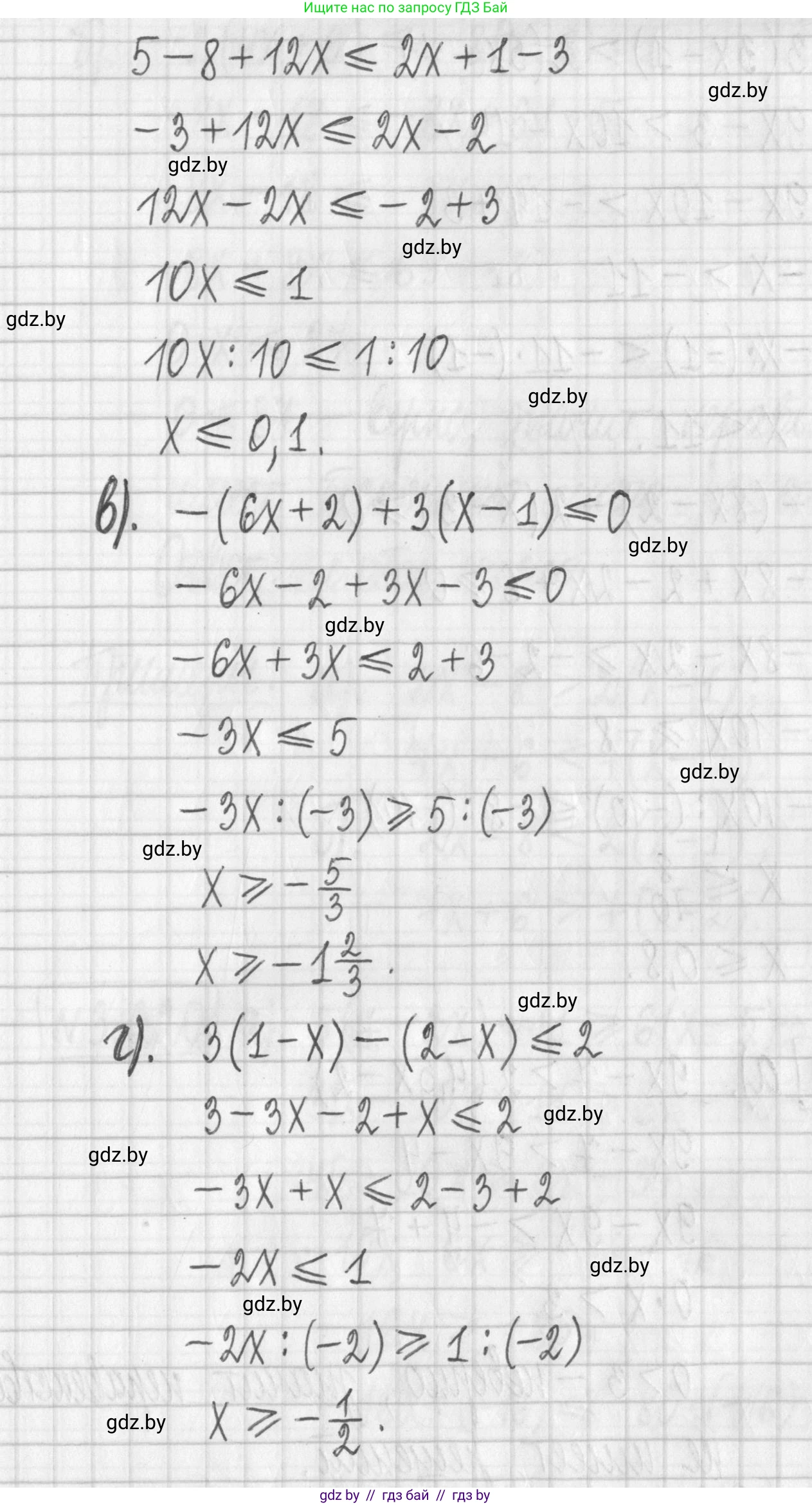
б) $5 - 4(2 - 3x) \le (2x + 1) - 3$

Раскроем скобки:

$5 - 8 + 12x \le 2x + 1 - 3$

Приведем подобные слагаемые:

$12x - 3 \le 2x - 2$

Перенесем слагаемые с переменной $x$ в левую часть, а числа — в правую:

$12x - 2x \le -2 + 3$

$10x \le 1$

Разделим обе части на 10:

$x \le \frac{1}{10}$

Ответ: $x \le \frac{1}{10}$

в) $-(6x + 2) + 3(x - 1) \le 0$

Раскроем скобки:

$-6x - 2 + 3x - 3 \le 0$

Приведем подобные слагаемые:

$-3x - 5 \le 0$

Перенесем число в правую часть:

$-3x \le 5$

Разделим обе части на -3, изменив знак неравенства на противоположный:

$x \ge -\frac{5}{3}$

Преобразуем неправильную дробь в смешанное число:

Ответ: $x \ge -1\frac{2}{3}$

г) $3(1 - x) - (2 - x) \le 2$

Раскроем скобки:

$3 - 3x - 2 + x \le 2$

Приведем подобные слагаемые:

$-2x + 1 \le 2$

Перенесем число в правую часть:

$-2x \le 2 - 1$

$-2x \le 1$

Разделим обе части на -2, изменив знак неравенства на противоположный:

$x \ge -\frac{1}{2}$

Ответ: $x \ge -\frac{1}{2}$

д) $3(3x - 1) > 2(5x - 7)$

Раскроем скобки:

$9x - 3 > 10x - 14$

Перенесем слагаемые с переменной $x$ в правую часть, а числа — в левую:

$14 - 3 > 10x - 9x$

$11 > x$

Ответ: $x < 11$

е) $-(8x - 2) - 2(x - 3) \ge 0$

Раскроем скобки:

$-8x + 2 - 2x + 6 \ge 0$

Приведем подобные слагаемые:

$-10x + 8 \ge 0$

Перенесем число в правую часть:

$-10x \ge -8$

Разделим обе части на -10, изменив знак неравенства на противоположный:

$x \le \frac{-8}{-10}$

$x \le \frac{8}{10}$

Сократим дробь:

$x \le \frac{4}{5}$

Ответ: $x \le \frac{4}{5}$

Помогло решение? Оставьте отзыв в комментариях ниже.

Присоединяйтесь к Телеграм-группе @gdz_by_belarus

Присоединиться

Мы подготовили для вас ответ c подробным объяснением домашего задания по алгебре за 7 класс, для упражнения номер 3.218 расположенного на странице 199 к учебнику 2022 года издания для учащихся школ и гимназий.

Теперь на нашем сайте ГДЗ.ТОП вы всегда легко и бесплатно найдёте условие с правильным ответом на вопрос «Как решить ДЗ» и «Как сделать» задание по алгебре к упражнению №3.218 (с. 199), авторов: Арефьева (Ирина Глебовна), Пирютко (Ольга Николаевна), учебного пособия издательства Народная асвета.