Номер 3.331, страница 242 - гдз по алгебре 7 класс учебник Арефьева, Пирютко

Алгебра, 7 класс Учебник, авторы: Арефьева Ирина Глебовна, Пирютко Ольга Николаевна, издательство Народная асвета, Минск, 2022, зелёного цвета

Авторы: Арефьева И. Г., Пирютко О. Н.

Тип: Учебник

Издательство: Народная асвета

Год издания: 2022 - 2026

Цвет обложки: зелёный с графиком

ISBN: ISBN 978-985-03-3770-2

Допущено Министерством образования Республики Беларусь

Популярные ГДЗ в 7 классе

Глава 3. Линейные уравнения. Линейные неравенства. Линейная функция. Параграф 20. Линейная функция и ее свойства - номер 3.331, страница 242.

№3.331 (с. 242)
Условие. №3.331 (с. 242)
скриншот условия
Алгебра, 7 класс Учебник, авторы: Арефьева Ирина Глебовна, Пирютко Ольга Николаевна, издательство Народная асвета, Минск, 2022, зелёного цвета, страница 242, номер 3.331, Условие

3.331. В одной системе координат постройте графики линейных функций $y=3x-1$; $y=-x+4$; $y=\frac{2x}{3}+2$; $y=3-4x$; $y=\frac{6-x}{2}$; $y=-5$.

Решение. №3.331 (с. 242)
Алгебра, 7 класс Учебник, авторы: Арефьева Ирина Глебовна, Пирютко Ольга Николаевна, издательство Народная асвета, Минск, 2022, зелёного цвета, страница 242, номер 3.331, Решение Алгебра, 7 класс Учебник, авторы: Арефьева Ирина Глебовна, Пирютко Ольга Николаевна, издательство Народная асвета, Минск, 2022, зелёного цвета, страница 242, номер 3.331, Решение (продолжение 2)
Решение 2. №3.331 (с. 242)

Для построения графика каждой линейной функции, которая представляет собой прямую линию, достаточно найти координаты двух точек, удовлетворяющих уравнению функции. Затем через эти две точки проводится прямая.


y = 3x - 1

Это линейная функция, ее график - прямая. Для построения найдем координаты двух точек, принадлежащих этой прямой.

  • Пусть $x = 0$, тогда $y = 3 \cdot 0 - 1 = -1$. Получаем точку A(0; -1).
  • Пусть $x = 1$, тогда $y = 3 \cdot 1 - 1 = 2$. Получаем точку B(1; 2).

Ответ: График функции $y=3x-1$ – это прямая, проходящая через точки с координатами (0; -1) и (1; 2).


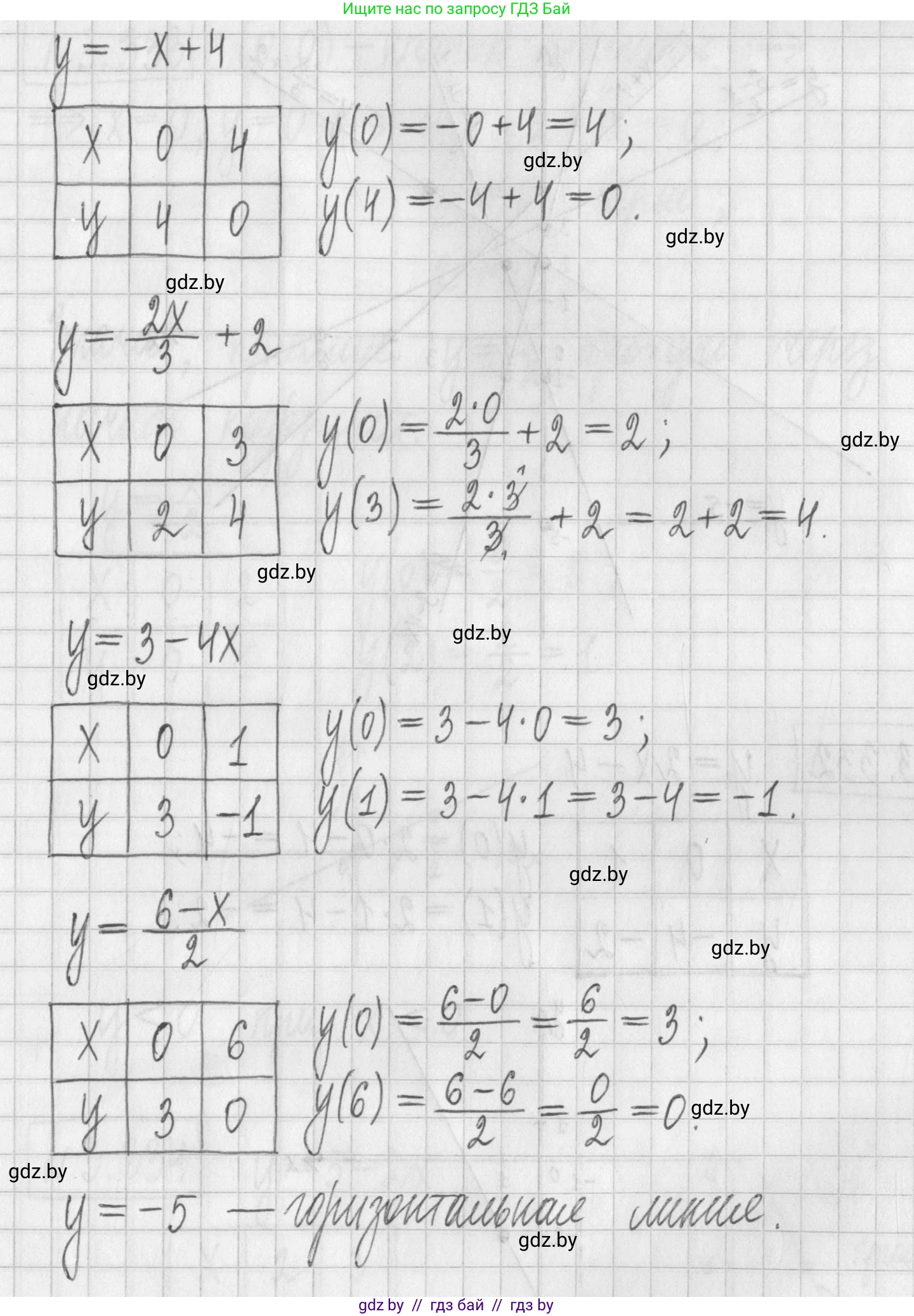
y = -x + 4

Это линейная функция, ее график - прямая. Найдем координаты двух точек.

  • Пусть $x = 0$, тогда $y = -0 + 4 = 4$. Получаем точку C(0; 4).
  • Пусть $x = 4$, тогда $y = -4 + 4 = 0$. Получаем точку D(4; 0).

Ответ: График функции $y=-x+4$ – это прямая, проходящая через точки с координатами (0; 4) и (4; 0).


y = $\frac{2x}{3} + 2$

Это линейная функция вида $y=kx+b$ с коэффициентами $k=\frac{2}{3}$ и $b=2$. Ее график - прямая. Для удобства построения выберем значения $x$, кратные 3, чтобы получить целочисленные координаты.

  • Пусть $x = 0$, тогда $y = \frac{2 \cdot 0}{3} + 2 = 0 + 2 = 2$. Получаем точку E(0; 2).
  • Пусть $x = 3$, тогда $y = \frac{2 \cdot 3}{3} + 2 = 2 + 2 = 4$. Получаем точку F(3; 4).
  • Для примера найдем точку с нецелочисленной координатой. Пусть $x=2$, тогда $y = \frac{2 \cdot 2}{3} + 2 = \frac{4}{3} + 2 = 1\frac{1}{3} + 2 = 3\frac{1}{3}$. Получаем точку G(2; $3\frac{1}{3}$).

Ответ: График функции $y=\frac{2x}{3} + 2$ – это прямая, проходящая через точки с координатами (0; 2) и (3; 4).


y = 3 - 4x

Это линейная функция, ее график - прямая. Найдем координаты двух точек.

  • Пусть $x = 0$, тогда $y = 3 - 4 \cdot 0 = 3$. Получаем точку H(0; 3).
  • Пусть $x = 1$, тогда $y = 3 - 4 \cdot 1 = -1$. Получаем точку I(1; -1).

Ответ: График функции $y=3-4x$ – это прямая, проходящая через точки с координатами (0; 3) и (1; -1).


y = $\frac{6-x}{2}$

Преобразуем функцию к стандартному виду $y=kx+b$: $y = \frac{6}{2} - \frac{x}{2} = 3 - \frac{1}{2}x$. Это линейная функция, ее график - прямая. Для удобства выберем четные значения $x$.

  • Пусть $x = 0$, тогда $y = 3 - \frac{1}{2} \cdot 0 = 3$. Получаем точку J(0; 3).
  • Пусть $x = 2$, тогда $y = 3 - \frac{1}{2} \cdot 2 = 3 - 1 = 2$. Получаем точку K(2; 2).
  • Для примера найдем точку с нецелочисленной координатой. Пусть $x=3$, тогда $y = 3 - \frac{1}{2} \cdot 3 = 3 - \frac{3}{2} = 3 - 1\frac{1}{2} = 1\frac{1}{2}$. Получаем точку L(3; $1\frac{1}{2}$).

Ответ: График функции $y=\frac{6-x}{2}$ – это прямая, проходящая через точки с координатами (0; 3) и (2; 2).


y = -5

Это частный случай линейной функции, где угловой коэффициент $k=0$. Графиком является прямая, параллельная оси абсцисс (оси Ox) и проходящая через точку, где ордината $y$ равна -5.

  • Для любого значения $x$ значение $y$ всегда будет равно -5.
  • Например, точки M(0; -5) и N(4; -5) принадлежат этой прямой.

Ответ: График функции $y=-5$ – это прямая, параллельная оси Ox и проходящая через точку (0; -5) на оси Oy.

Помогло решение? Оставьте отзыв в комментариях ниже.

Присоединяйтесь к Телеграм-группе @gdz_by_belarus

Присоединиться

Мы подготовили для вас ответ c подробным объяснением домашего задания по алгебре за 7 класс, для упражнения номер 3.331 расположенного на странице 242 к учебнику 2022 года издания для учащихся школ и гимназий.

Теперь на нашем сайте ГДЗ.ТОП вы всегда легко и бесплатно найдёте условие с правильным ответом на вопрос «Как решить ДЗ» и «Как сделать» задание по алгебре к упражнению №3.331 (с. 242), авторов: Арефьева (Ирина Глебовна), Пирютко (Ольга Николаевна), учебного пособия издательства Народная асвета.