Номер 3.14, страница 153 - гдз по алгебре 7 класс учебник Арефьева, Пирютко

Алгебра, 7 класс Учебник, авторы: Арефьева Ирина Глебовна, Пирютко Ольга Николаевна, издательство Народная асвета, Минск, 2022, зелёного цвета

Авторы: Арефьева И. Г., Пирютко О. Н.

Тип: Учебник

Издательство: Народная асвета

Год издания: 2022 - 2026

Цвет обложки: зелёный с графиком

ISBN: ISBN 978-985-03-3770-2

Допущено Министерством образования Республики Беларусь

Популярные ГДЗ в 7 классе

Глава 3. Линейные уравнения. Линейные неравенства. Линейная функция. Параграф 15. Линейные уравнения с одной переменной - номер 3.14, страница 153.

№3.14 (с. 153)
Условие. №3.14 (с. 153)
скриншот условия
Алгебра, 7 класс Учебник, авторы: Арефьева Ирина Глебовна, Пирютко Ольга Николаевна, издательство Народная асвета, Минск, 2022, зелёного цвета, страница 153, номер 3.14, Условие

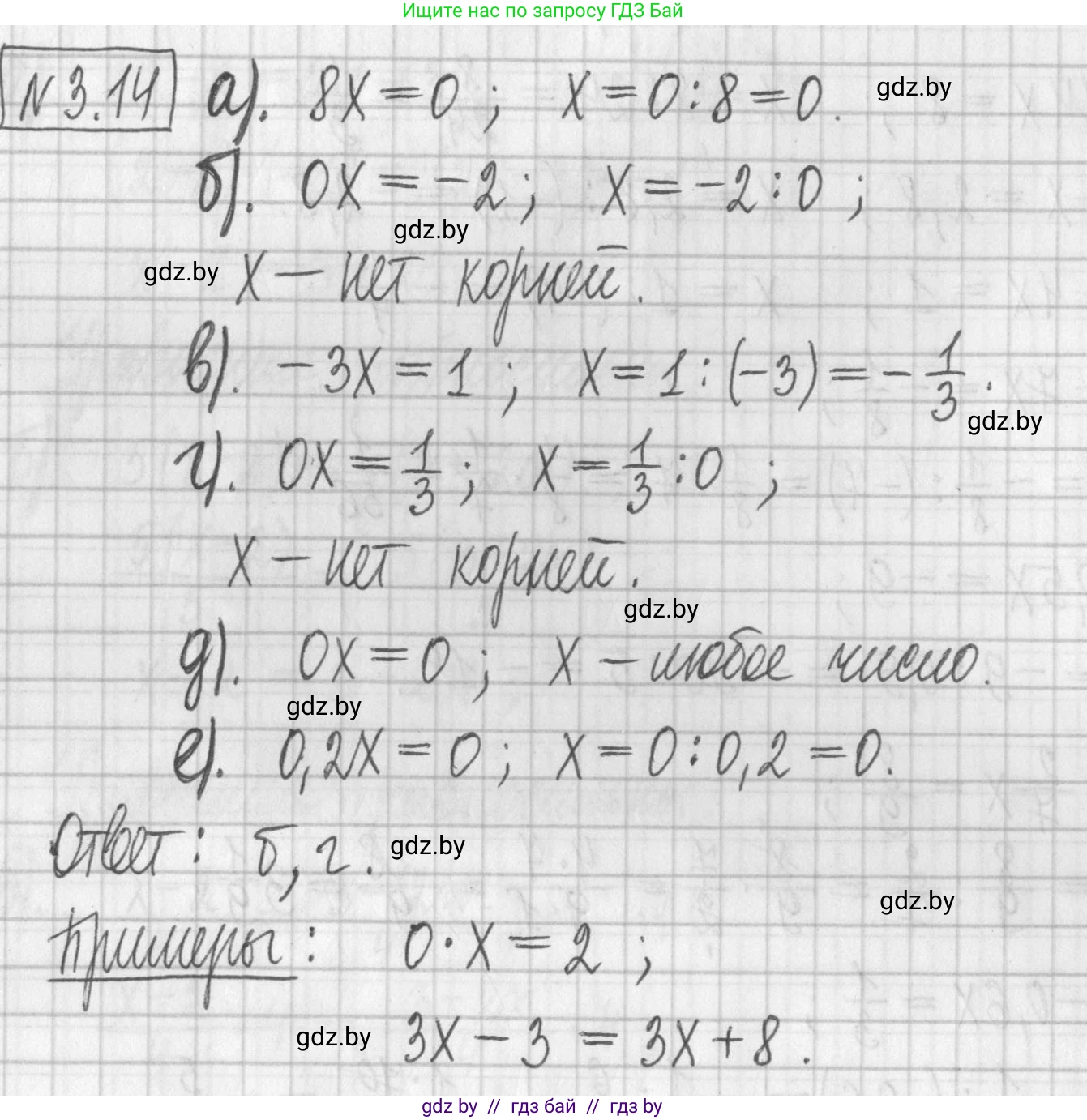
3.14. Из данных уравнений выпишите уравнения, не имеющие корней:

a) $8x = 0$;

б) $0x = -2$;

в) $-3x = 1$;

г) $0x = \frac{1}{3}$;

д) $0x = 0$;

е) $0,2x = 0$.

Придумайте еще два примера линейных уравнений, не имеющих корней.

Решение. №3.14 (с. 153)
Алгебра, 7 класс Учебник, авторы: Арефьева Ирина Глебовна, Пирютко Ольга Николаевна, издательство Народная асвета, Минск, 2022, зелёного цвета, страница 153, номер 3.14, Решение
Решение 2. №3.14 (с. 153)

Для того чтобы линейное уравнение вида $ax=b$ не имело корней, необходимо и достаточно, чтобы коэффициент $a$ был равен нулю, а свободный член $b$ не был равен нулю ($a=0, b \neq 0$). В этом случае уравнение принимает вид $0 \cdot x = b$, что является неверным числовым равенством для любого значения $x$, так как произведение нуля на любое число равно нулю.

Проанализировав все данные уравнения, выпишем те, которые удовлетворяют этому условию и, следовательно, не имеют корней:

б) $0x = -2$

В данном уравнении коэффициент при $x$ равен 0, а правая часть равна -2. Так как $0 \neq -2$, ни одно значение $x$ не может сделать это равенство верным. Левая часть всегда будет равна 0, что не равно -2.

Ответ: уравнение не имеет корней.

г) $0x = \frac{1}{3}$

В данном уравнении коэффициент при $x$ равен 0, а правая часть равна $\frac{1}{3}$. Так как $0 \neq \frac{1}{3}$, ни одно значение $x$ не может сделать это равенство верным. Левая часть всегда будет равна 0, что не равно $\frac{1}{3}$.

Ответ: уравнение не имеет корней.


Примеры еще двух линейных уравнений, не имеющих корней:

Для создания таких примеров нужно составить уравнения, которые после упрощения примут вид $0x=b$, где $b \neq 0$.

  1. Пример 1: $0x = 5$

    Это уравнение построено по тому же принципу: коэффициент при $x$ равен 0, а правая часть (5) не равна нулю. Равенство $0=5$ является ложным.

    Ответ: уравнение не имеет корней.

  2. Пример 2: $3(x - 2) = 3x + 1$

    Раскроем скобки и приведем подобные слагаемые, чтобы привести уравнение к стандартному виду:
    $3x - 6 = 3x + 1$
    Перенесем слагаемые с $x$ в левую часть, а числа — в правую:
    $3x - 3x = 1 + 6$
    $0x = 7$
    В результате мы получили уравнение, в котором коэффициент при $x$ равен 0, а правая часть (7) не равна нулю. Равенство $0=7$ ложно.

    Ответ: уравнение не имеет корней.

Помогло решение? Оставьте отзыв в комментариях ниже.

Присоединяйтесь к Телеграм-группе @gdz_by_belarus

Присоединиться

Мы подготовили для вас ответ c подробным объяснением домашего задания по алгебре за 7 класс, для упражнения номер 3.14 расположенного на странице 153 к учебнику 2022 года издания для учащихся школ и гимназий.

Теперь на нашем сайте ГДЗ.ТОП вы всегда легко и бесплатно найдёте условие с правильным ответом на вопрос «Как решить ДЗ» и «Как сделать» задание по алгебре к упражнению №3.14 (с. 153), авторов: Арефьева (Ирина Глебовна), Пирютко (Ольга Николаевна), учебного пособия издательства Народная асвета.